2,4,6-Tris(biphenyl-3-yl)-1,3,5-triazin
| Strukturformel | |||||||
|---|---|---|---|---|---|---|---|
| |||||||
| Allgemeines | |||||||
| Name | 2,4,6-Tris(biphenyl-3-yl)-1,3,5-triazin | ||||||
| Andere Namen |
| ||||||
| Summenformel | C39H27N3 | ||||||
| Externe Identifikatoren/Datenbanken | |||||||
| |||||||
| Eigenschaften | |||||||
| Molare Masse | 537,66 g·mol−1 | ||||||
| Aggregatzustand |
fest | ||||||
| Schmelzpunkt | |||||||
| Sicherheitshinweise | |||||||
| |||||||
| Wenn nicht anders vermerkt, gelten die angegebenen Daten bei Standardbedingungen (0 °C, 1000 hPa). | |||||||
2,4,6-Tris(biphenyl-3-yl)-1,3,5-triazin ist eine chemische Verbindung, die den Stoffgruppen der Triazine und der Biphenyle zugeordnet werden kann. Es ist isomer zu 2,4,6-Tris(biphenyl-4-yl)-1,3,5-triazin. Ein mögliches ortho-Isomer 2,4,6-Tris(biphenyl-2-yl)-1,3,5-triazin ist bisher nicht beschrieben.
Gewinnung und Darstellung
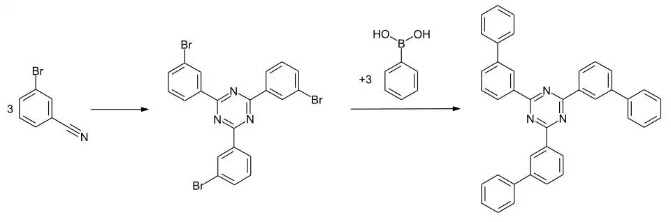
Eine Synthesevariante geht von der Bildung der Triazinstruktur durch eine Trimerisierung von m-Brombenzonitril aus. Im zweiten Schritt erfolgt in einer dreifachen Suzuki-Reaktion mit Benzolboronsäure die Umsetzung zur Zielverbindung.[1]
Eigenschaften
Die Synthese ergibt ein amorphes Material, das bei 95 °C einen Glasübergang zeigt. Nach der Kaltkristallisation ab 137 °C wird ein kristallines Material gebildet, welches bei 204 °C schmilzt.[1]
Verwendung
Die Verbindung wird als Komponente in grün emittierenden OLEDs diskutiert.[1][2]
Einzelnachweise
- ↑ a b c d Chen, Hsiao-Fan; Wang, Ting-Chih; Wong, Ken-Tsung; Yang, Shang-Jung; Hung; Wen-Yi; Tsai, Zhen-Han: 1,3,5-Triazine derivatives as new electron transport–type host materials for highly efficient green phosphorescent OLEDs. In: Journal of Material Chemistry. Band 19, 2009, S. 8112–8118, doi:10.1039/B913423A.
- ↑ a b Chen, Hsiao-Fan; Wang, Ting-Chih; Lin, Shih-Wei; Hung, Wen-Yi; Dai, Hung-Chi; Chui, Hao-Chih; Wong, Ken-Tsung; Ho,Meng-Huan; Cho, Ting-Yi; Chenc, Chieh-Wei; Lee, Chenc Chung-Chun: Peripheral modification of 1,3,5-triazine based electron-transporting host materials for sky blue, green, yellow, red, and white electrophosphorescent devices. In: Journal of Material Chemistry. Band 22, 2012, S. 15620–15627, doi:10.1039/C2JM31904G.
- ↑ Dieser Stoff wurde in Bezug auf seine Gefährlichkeit entweder noch nicht eingestuft oder eine verlässliche und zitierfähige Quelle hierzu wurde noch nicht gefunden.
-1%252C3%252C5-triazin_structure.svg.png)