2-Hydroxypropylmethacrylat
| Strukturformel | ||||||||||||||||
|---|---|---|---|---|---|---|---|---|---|---|---|---|---|---|---|---|
| ||||||||||||||||
| Strukturformel von 2-Hydroxypropylmethacrylat | ||||||||||||||||
| Allgemeines | ||||||||||||||||
| Name | 2-Hydroxypropylmethacrylat | |||||||||||||||
| Andere Namen |
| |||||||||||||||
| Summenformel | C7H12O3 | |||||||||||||||
| Externe Identifikatoren/Datenbanken | ||||||||||||||||
| ||||||||||||||||
| Eigenschaften | ||||||||||||||||
| Molare Masse | 144,2 g·mol−1 | |||||||||||||||
| Aggregatzustand |
flüssig | |||||||||||||||
| Dichte |
1,029 g·cm−3[1] | |||||||||||||||
| Siedepunkt |
240 °C[1] | |||||||||||||||
| Dampfdruck | ||||||||||||||||
| Löslichkeit |
107 g/l (in Wasser bei 20 °C)[1] | |||||||||||||||
| Sicherheitshinweise | ||||||||||||||||
| ||||||||||||||||
| Wenn nicht anders vermerkt, gelten die angegebenen Daten bei Standardbedingungen (0 °C, 1000 hPa). | ||||||||||||||||
Bei 2-Hydroxypropylmethacrylat (2-HPMA) handelt es sich um einen Ester der Methacrylsäure. Es enthält sowohl eine Hydroxygruppe als auch eine ungesättigte Doppelbindung. Im Allgemeinen wird es als Monomer für unterschiedliche Bindemittelklassen verwendet.[3]
Eigenschaften
Bei der Reaktion mit Isocyanaten besitzt 2-Hydroxypropylmethacrylat eine eher geringe Reaktivität. Grund für eine eher geringe Reaktivität ist nicht etwa ein mangelnder elektronenschiebender Effekt, sondern eher eine sterische Hinderung sowie eine geringe Wahrscheinlichkeit des Zusammentreffens von Reaktionspartnern mit der Hydroxygruppe. Es ist weniger reaktiver als 2-Hydroxyethylacrylat und als 4-Hydroxybutylacrylat.[3] Die Polymerisationswärme beträgt −50,5 kJ·mol−1 bzw. −350 kJ·kg−1.[4]
Verwendung
2-Hydroxypropylmethacrylat kann über radikalische oder ionische Polymerisation in Bindemittel, wie etwa Polyacrylate, eingebaut werden. Da 2-Hydroxypropylmethacrylat über eine freie Hydroxygruppe verfügt, kann es genutzt werden, um Hydroxygruppen in Harze einzubauen. Diese Gruppen stehen dann für Härtungsreaktionen mit Isocyanaten oder Harnstoffharzen zur Verfügung.[3]

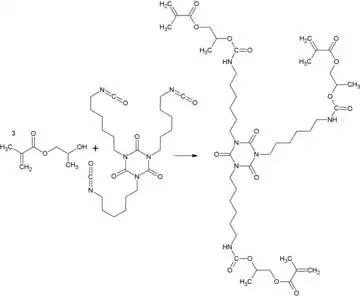
Neben der Möglichkeit, 2-Hydroxypropylmethacrylat über die Doppelbindung in Harze einzubauen, besteht auch die Möglichkeit, dies über die Hydroxygruppe zu vollziehen. Beispiel wäre hierfür die Reaktion aus 3 Mol 2-Hydroxypropylmethacrylat und einem Mol HDI-Isocyanurat. Hieraus ergibt sich ein Urethanacrylat, welches als Reaktivverdünner in über UV-Strahlung härtbare Beschichtungen eingesetzt werden kann.[3]

Einzelnachweise
- ↑ a b c d e Eintrag zu 2-Hydroxypropylmethacrylat in der GESTIS-Stoffdatenbank des IFA, abgerufen am 17. Juni 2018. (JavaScript erforderlich)
- ↑ Eintrag zu 2-Hydroxypropylmethacrylat in der Datenbank ECHA CHEM der Europäischen Chemikalienagentur (ECHA), abgerufen am 25. Juni 2018. Hersteller bzw. Inverkehrbringer können die harmonisierte Einstufung und Kennzeichnung erweitern.
- ↑ a b c d Baumstark, Roland, Schwalm, Reinhold, Schwartz, Manfred: Acrylatharze. Vincentz Network, Hannover 2014, ISBN 978-3-86630-820-6, S. 32; 56; 267; 294.
- ↑ Brandrup, J.; Immergut, E.H.; Grulke, E.A.; Abe, A.; Bloch, D.R.: Polymer Handbook, 4th Edition, Wiley-VCH 2003, ISBN 978-0-471-47936-9, S. II/369.

