Azine (Hydrazin)
| Azine (Hydrazine) |
|---|
|
| Allgemeine Struktur der Azine (Hydrazinderivate) mit der blau markierten Azin-Gruppe. Die Reste R1 bis R4 können aliphatische, cyclische oder aromatische Gruppen oder auch ein Wasserstoff-Atom sein. |
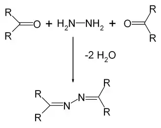
Azine sind eine Gruppe chemischer Verbindungen, die sich vom Hydrazin ableiten und die man als doppelte Derivate des Hydrazins bezeichnen kann. Azine haben die allgemeine Struktur R1R2C=N–N=CR3R4, mit symmetrischer Anordnung der Reste R1 bis R4. Aldehyde bilden Aldazine, Ketone entsprechend Ketazine.[1] Azine sind polare, meist wenig wasserlösliche Feststoffe. Einige Farbstoffe und Arzneimittel zählen zu den Azinen.
Bildung
Azine werden gebildet, wenn ein Äquivalent Hydrazin mit zwei Äquivalenten einer Carbonylverbindung (Aldehyde oder Ketone) in einer Kondensationsreaktion unter Austritt von Wasser reagieren.

Verwendung
Azine werden als Ausgangsstoffe für die Synthese von Heterocyclen (siehe etwa die Piloty-Robinson-Pyrrolsynthese) sowie für die Herstellung von Metallkomplexen eingesetzt.[1] Als UV-Stabilisator für Kunststoffe wurde Benzalazin, das Azin des Benzaldehyds, verwendet.[2]
Einzelnachweise
- ↑ a b Eintrag zu Azine. In: Römpp Online. Georg Thieme Verlag, abgerufen am 16. November 2013.
- ↑ Joachim Voigt: Die Stabilisierung der Kunststoffe gegen Licht und Wärme. Springer, 1966, ISBN 978-3-642-52097-6, S. 296, urn:nbn:de:1111-20120801238.
