Benzydamin
| Strukturformel | ||||||||||||||||||||||
|---|---|---|---|---|---|---|---|---|---|---|---|---|---|---|---|---|---|---|---|---|---|---|
| ||||||||||||||||||||||
| Allgemeines | ||||||||||||||||||||||
| Name | Benzydamin | |||||||||||||||||||||
| Andere Namen |
| |||||||||||||||||||||
| Summenformel |
| |||||||||||||||||||||
| Kurzbeschreibung |
weißer Feststoff (Hydrochlorid)[1] | |||||||||||||||||||||
| Externe Identifikatoren/Datenbanken | ||||||||||||||||||||||
| ||||||||||||||||||||||
| Arzneistoffangaben | ||||||||||||||||||||||
| ATC-Code | ||||||||||||||||||||||
| Wirkstoffklasse |
NSAR (Nichtsteriodiales Antirheumatikum) | |||||||||||||||||||||
| Eigenschaften | ||||||||||||||||||||||
| Molare Masse | ||||||||||||||||||||||
| Aggregatzustand |
fest[2] | |||||||||||||||||||||
| Schmelzpunkt | ||||||||||||||||||||||
| Löslichkeit |
löslich in Wasser (Hydrochlorid)[1] | |||||||||||||||||||||
| Sicherheitshinweise | ||||||||||||||||||||||
| ||||||||||||||||||||||
| Toxikologische Daten | ||||||||||||||||||||||
| Wenn nicht anders vermerkt, gelten die angegebenen Daten bei Standardbedingungen (0 °C, 1000 hPa). | ||||||||||||||||||||||
Benzydamin (Handelsnamen: neo-angin, Tantum (-Verde, -Rosa), Pretuval oder Difflam) ist ein entzündungshemmender, schmerzlindernder und antibakterieller Wirkstoff, der lokal in Form einer Gurgellösung, als Spray oder Lutschpastillen zur symptomatischen Behandlung von Schmerzen und Reizungen im Mund- und Rachenraum angewandt wird, zum Beispiel bei Halsschmerzen. Die Mittel werden mehrmals täglich verabreicht.[4] 2013 ist Benzydamin in einer Konzentration bis 0,15 % als Lösung (Spray) und 3 mg pro Lutschtablette in Deutschland aus der Verschreibungspflicht entlassen worden.[5]
Präparate für die systemische Anwendung (Dragees, Kapseln, Injektionslösung) sind in Deutschland nicht (mehr) erhältlich.
Darstellung und Gewinnung
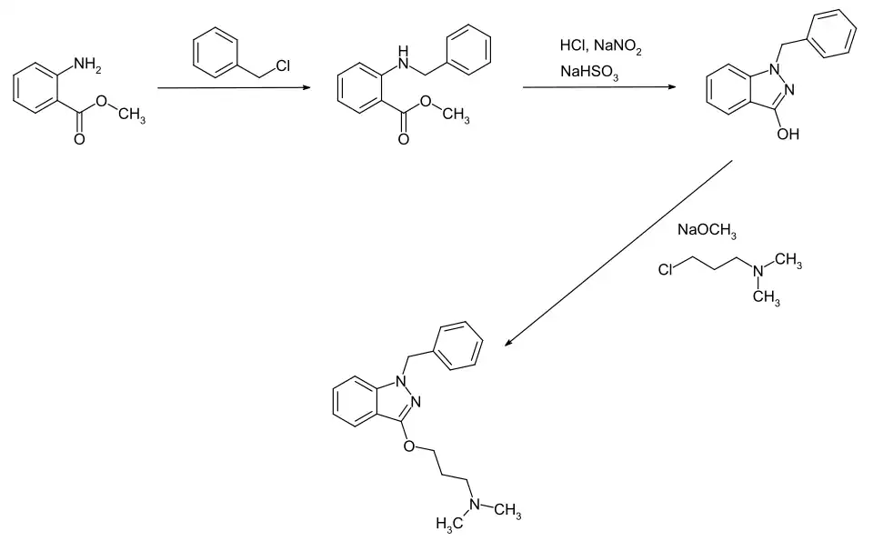
Die Herstellung von Benzydamin erfolgt in einer dreistufigen Synthese. Im ersten Schritt wird durch eine N-Alkylierung von Methylanthranilat mittels Benzylchlorid der 2-Benzylaminobenzoesäuremethylester erhalten. Der nachfolgende Ringschluss wird durch eine Umsetzung mit Natriumnitrit in salzsaurem Medium zum Nitrosamin und anschließender Reduktion mit Natriumhydrogensulfit zum Hydrazin-Derivat (im Formelschema nicht gezeigt) realisiert. Die Zielverbindung ergibt sich dann durch eine Veretherung mit 3-Dimethylaminopropylchlorid in Gegenwart von Natriummethylat.[3]
Struktur und Eigenschaften
Benzydamin liegt in Arzneimitteln als Benzydaminhydrochlorid vor. Es ist ein benzyliertes Indazol-Derivat. Benzydamin ist lipophil bei pH 7,2.[6]
Wirkungen
Benzydamin (A01AD02) hat entzündungshemmende, lokalanästhetische, leicht bakterizide und fungizide Eigenschaften in der lokalen Therapie als Gurgellösung, Lutschtablette/Pastille oder als Spray. Peroral eingenommen ist es zusätzlich fiebersenkend und schmerzlindernd, aber Präparate für die systemische Anwendung (Dragees, Kapseln, Injektionslösung) sind in Deutschland nicht (mehr) erhältlich.
Indikationen
Zur symptomatischen Behandlung von Schmerzen und Reizungen im Mund- und Rachenraum, zum Beispiel bei Halsschmerzen.
Dosierung
Gemäß der Fachinformation. Die Arzneimittel werden mehrmals täglich angewendet. Essen, Trinken oder die Mundhygiene können die Wirksamkeit reduzieren.
Mögliche unerwünschte Wirkungen
Zu den möglichen unerwünschten Wirkungen gehören Photosensibilität (Lichtempfindlichkeit, erhöhtes Sonnenbrandrisiko), Überempfindlichkeitsreaktionen wie Juckreiz, Brennen, Mundtrockenheit, Stimmritzenkrampf und Angioödeme (Haut-, Schleimhautschwellungen).
Pharmakologische Eigenschaften
Pharmakodynamische Eigenschaften
Benzydamin zeigt Membranaffinität und wirkt membranstabilisierend mit lokalanästhetischer Wirkung.[7] Sowohl die Phospholipase A2 als auch die Lysophosphatid-Acyltransferase werden geringgradig gehemmt (> 10−4 mol/l). Die PGE2-Synthese in Makrophagen wird bei 10−4 mol/l stimuliert. Im Konzentrationsbereich 10−5 bis 10−4 mol/l wird die Bildung reaktiver Sauerstoffspezies aus Phagozyten deutlich gehemmt. Phagozyten-Degranulation und -Aggregation werden bei 10−4 mol/l inhibiert. Die stärksten In-vitro-Effekte treten bei der Hemmung der Leukozyten-Adhäsion am Gefäßendothel auf (3- bis 4-mal 10−6 mol/l). Benzydamin hat antithrombotische Eigenschaften bei der Ratte (ED 35 8,5 mg/kg p. o.) und reduziert die durch den Thrombozyten-aktivierenden Faktor (PAF) induzierte Mortalität bei der Maus (50 mg/kg p. o.; p < 0,05). Es wird gefolgert, dass Benzydamin antiphlogistisch wirkt durch Verhinderung von vaskulären Läsionen durch aktivierte, adhärente und emigrierende Leukozyten, d. h. vasoprotektiv ist. Benzydamin hemmt die Permeabilität der Kapillaren und wirkt so antiödematös.
Im Gegensatz zu anderen NSAID (Nichtsteroidales Antirheumatikum) hemmt Benzydamin weder die Cyclooxygenasen noch die Lipoxygenasen (10−4 mol/l) und ist nicht ulzerogen.[7]
Pharmakokinetische Eigenschaften
Resorption
Bei lokaler Anwendung findet eine sehr gute Penetration des Wirkstoffes durch die Haut- und Schleimhautoberflächen und eine Anreicherung im darunterliegenden entzündlich veränderten Gewebe statt. Die Resorption über die Mund- und Rachenschleimhaut wird durch eine messbare Menge Benzydamin im menschlichen Blutserum belegt. Zirka zwei Stunden nach der Anwendung einer Lutschtablette zu 3 mg beträgt die maximale Plasmakonzentration von Benzydamin 37,8 ng/ml, die AUC erreicht einen Wert von 367 ng/ml*h. Diese Werte reichen allerdings nicht aus, um systemische pharmakologische Wirkungen zu erreichen.
Verteilung
Bei oraler Applikation wird Benzydamin umfassend und langsam in die Gewebe verteilt (Verteilungsvolumen = 100 l). Die Bindung an Plasmaproteine beträgt lediglich 10 bis 15 %.
Biotransformation
In 24 Stunden werden rund 40 % einer Einzeldosis in Form polarer Metaboliten (hauptsächlich Benzydamin-N-oxid und 5-Hydroxybenzydamin-glucuronid) und 5 % als unverändertes Benzydamin mit dem Urin ausgeschieden. 70 % der verabreichten Dosis werden über die Nieren ausgeschieden.[8]
Elimination
Die Plasmahalbwertszeit beläuft sich auf zirka 13 Stunden.[8]
Einzelnachweise
- ↑ a b c Eintrag zu Benzydamin bei TCI Europe, abgerufen am 12. April 2016.
- ↑ a b c Datenblatt Benzydamine hydrochloride, analytical standard bei Sigma-Aldrich, abgerufen am 13. Juli 2025 (PDF).
- ↑ a b c d e f g h A. Kleemann, J. Engel, B. Kutscher, D. Reichert: Pharmaceutical Substances – Synthesis, Patents, Applications. 4. Auflage. Thieme-Verlag, Stuttgart 2001, ISBN 1-58890-031-2.
- ↑ R. S. Turnbull: Benzydamine Hydrochloride (Tantum) in the management of oral inflammatory conditions. In: Journal (Canadian Dental Association). Band 61, Nummer 2, Februar 1995, S. 127–134. PMID 7600413 (Review).
- ↑ Warum unterliegt hochdosiertes Benzydamin-Spray der Verschreibungspflicht. In: Deutsche Apotheker Zeitung. 29. Dezember 2013, abgerufen am 8. März 2025.
- ↑ A. Burger, H. Wachter (Hrsg.): Hunnius. Pharmazeutisches Wörterbuch. de Gruyter, Berlin / New York 1998, ISBN 3-11-015792-6.
- ↑ a b PubChem: Benzydamine hydrochloride. Abgerufen am 23. Februar 2025 (englisch).
- ↑ a b Klaus Müller, Heige Prinz, Matthias Lehr: Pharmazeutische/Medizinische Chemie. 1. Auflage. Wissenschaftliche Verlagsgesellschaft, Stuttgart 2022, ISBN 978-3-8047-3925-3.
