Bergius-Pier-Verfahren
Das Bergius-Pier-Verfahren (auch als Bergius-Verfahren oder I.G.-Verfahren bezeichnet) ist ein großtechnisches Verfahren zur Kohleverflüssigung durch direkte Hydrierung von Kohle. Dabei werden die Makromoleküle der Kohle durch Wasserstoff bei hohen Drücken und Temperaturen zu kleineren Molekülen abgebaut.
Die Rohstoffbasis bestand anfangs aus Braunkohle, die durch Kohlevergasung sowohl den zur Hydrierung notwendigen Wasserstoff lieferte als auch die Kohlenstoffbasis für die Produkte bildete. Später erweiterten Steinkohle, Teere, Teeröle und Rückstände der Erdölverarbeitung die Rohstoffpalette. Als Produkte entstehen gasförmige und flüssige Kohlenwasserstoffe, die als Kraft- und Schmierstoffe dienen.
Zwischen 1910 und 1925 entwickelte der deutsche Chemiker Friedrich Bergius die Grundlagen des Prozesses. Die kommerzielle Verfahrens- und Katalysatorentwicklung erfolgte ab 1925 maßgeblich durch die I.G. Farben unter der Projektleitung von Matthias Pier. Der weltweit erstmals im industriellen Maßstab hergestellte synthetische Kraftstoff war ab 1927 das Leuna-Benzin. Für ihre Verdienste um die Entdeckung und Entwicklung der chemischen Hochdruckverfahren erhielt Friedrich Bergius zusammen mit Carl Bosch 1931 den Nobelpreis für Chemie.
Im Rahmen der deutschen Autarkiebestrebungen entstanden in der Folgezeit mehrere Hydrierwerke, die während des Zweiten Weltkriegs einen Großteil des Kraftstoffbedarfs der deutschen Wehrmacht deckten. In der Nachkriegszeit verdrängten in Westdeutschland Produkte auf Basis von Erdöl die kohlechemischen Erzeugnisse, während in der DDR das letzte Hydrierwerk 1990 außer Betrieb ging.
Auch andere Länder setzten nach 1945 die Forschung und Entwicklung der Kohleverflüssigung fort. 2008 wurde in Ordos in der nordchinesischen Autonomen Region Innere Mongolei die weltweit erste kommerzielle Anlage zur direkten Kohleverflüssigung seit dem Zweiten Weltkrieg mit einer Kapazität von jährlich einer Million Tonnen in Betrieb genommen. Damit ist China gegenwärtig das einzige Land, welches das Verfahren in der Praxis erfolgreich anwendet.
Geschichte
1869 führte der französische Chemiker Marcelin Berthelot erste Versuche zur Gewinnung von flüssigen Kohlenwasserstoffen aus Kohle durch, indem er Kohle mit Iodwasserstoff bei 270 °C behandelte. Obwohl seine Experimente technisch bedeutungslos blieben, gaben sie den Anstoß zu weiteren Forschungen.[1] Um 1900 entwickelte Paul Sabatier die katalytische Hydrierung, wofür er 1912 den Nobelpreis für Chemie erhielt. Seine Erkenntnisse über Metallkatalysatoren sowie die Studien von Wladimir Nikolajewitsch Ipatjew über Hochdruckchemie bildeten eine wichtige Grundlage für die Forschungsarbeit von Friedrich Bergius.[2]
In Deutschland wurde 1912 unter Leitung von Emil Fischer das Kaiser-Wilhelm-Institut für Kohlenforschung gegründet.[3] Ziel war es, die Erforschung und Nutzung von Kohle voranzutreiben, wobei die Kohleverflüssigung im Mittelpunkt stand, um Deutschlands Mangel an Mineralölen entgegenzutreten. Den von Fischer angestrebten Reduktionsprozess, der in die chemische Technik überführt werden konnte, entwickelte schließlich Friedrich Bergius.[4]
Als Privatdozent für Reine und angewandte physikalische Chemie an der Königlich-technischen Hochschule Hannover führte Bergius schon 1910 Hydrierversuche an synthetischer Kohle durch.[5] Erste Tests führten zu reproduzierbaren Ergebnissen, die bei Temperaturen von 400 bis 450 °C und einem Wasserstoffdruck von 150 bar in 80%iger Ausbeute gasförmige und flüssige Kohlenwasserstoffe lieferten.[5] Bergius erhielt 1913 ein Patent für seine Erfindung.[6]
Durch Kontakte zu Karl Goldschmidt trat Bergius 1914 in die Leitung der Theodor Goldschmidt AG in Essen ein, welche die Verfahrensentwicklung zunächst finanzierte. Das Ziel, seine Ergebnisse industriell zu nutzen, erforderte erhebliche Investitionsmittel, so dass er 1918 ein Konsortium für Kohlechemie gründete. Die Hyperinflation von 1919 bis 1923 führte aber schon bald zu Finanzierungsproblemen. Bergius konnte das nötige Beteiligungskapital zwar kurzfristig durch andere, insbesondere ausländische, Unternehmen wie Shell und die britische ICI beschaffen. 1924 zog sich jedoch die Theodor Goldschmidt AG aus dem Konsortium zurück. Damit waren größere Projekte ohne ausreichendes Kapital nicht mehr möglich, sodass Bergius seine Patente an verschiedene Unternehmen im In- und Ausland verkaufte.[5]
Kommerzialisierung
Ab 1920 begann in Deutschland die systematische Forschung nach äquivalenten Ersatzstoffen für die Herstellung von Benzin. Zum einen wurden von nahezu allen Reichsregierungen der Weimarer Republik die Importe von Erdöl aufgrund der wirtschaftlichen Situation in Frage gestellt und zunehmend eine autarke Versorgung angestrebt.[7] Zum anderen prognostizierten US-Wissenschaftler in einer weltweit ernstgenommenen Studie, dass die globalen Erdölvorräte in kurzer Zeit erschöpft seien, während die Motorisierung unaufhaltsam zunehme.[8][9]
Bereits 1922 hatte sich der rheinisch-westfälische Steinkohlebergbau die deutschen Schutzrechte des Bergius-Verfahrens auf die Verarbeitung von Steinkohle, Steinkohlenteeren und Steinkohlenteerderivaten gesichert. 1926 folgte die Gründung der Aktiengesellschaft für Steinkohleverflüssigung und Steinkohleveredelung. Träger dieser Bestrebungen und Eigentümer des Unternehmens waren die in der Gesellschaft für Teerverwertung zusammengeschlossenen Ruhrzechen, die im März 1928 den Grundstein für den Bau einer Großversuchsanlage in Meiderich legten. Dieses Werk ging im Oktober 1929 mit einem Durchsatz von jährlich 30.000 Tonnen in Betrieb, musste jedoch aufgrund des finanziellen Drucks infolge der Weltwirtschaftskrise Ende 1931 die Versuche einstellen.[10][11]
Parallel hatte im Juli 1925 die BASF, die im November 1925 in der I.G. Farben aufging, einen Teil der deutschen Bergius-Patente und ein Jahr später den größten Teil der internationalen Rechte von Shell erworben.[12] Die Verfahrensentwicklung übertrug die Gesellschaft dem Nernst-Schüler Matthias Pier, der schon das Hochdruckverfahren für die Herstellung von Methanol entwickelt hatte. Er führte in den Ammoniak- und Methanolanlagen der BASF Versuche zur katalytischen Hydrierung von Braunkohlenteer mit schwefelhaltigen Katalysatoren wie Eisen- und Molybdänsulfid durch. Carl Bosch, der Vorstandsvorsitzende der I.G. Farben, und sein damaliger Stellvertreter Carl Krauch förderten Piers Arbeiten.[13]
Die Hydrierung von Kohle in Suspension stellte verglichen mit Gasphasenreaktionen eine große technische und finanzielle Herausforderung dar. Eine hohe Konzentration von typischen Katalysatorgiften erforderte eine hohe Stabilität und Selektivität des Katalysators, während Wasserstoff, Schwefelwasserstoff sowie die Abtrennung von Restkohle, Asche und Katalysator zusätzliche Probleme bereiteten.[14]
Carl Bosch trieb die Entwicklung voran und ließ Ende 1925 im Ammoniakwerk Merseburg die Forschung über Kohleverflüssigung in großtechnischem Stil aufnehmen.[15] Tatsächlich versprachen der steigende Motorisierungsgrad sowie die beginnende Umstellung der Schifffahrt und des Schienenverkehrs auf flüssige Kraftstoffe hohe Gewinne.[16] Schon 1926 brachte das Unternehmen den ersten Großversuch im industriellen Maßstab hinter sich und ging am 1. April 1927 mit einem Durchsatz von 100.000 Tonnen synthetischen Benzins pro Jahr in Produktion.[17]
Obwohl die Anlagen zur Herstellung des sogenannten Leuna-Benzins bis 1931 immer wieder von Kinderkrankheiten geplagt wurden, stiegen die Erlöse von einem geringen Betrag im Jahr 1927 auf 6 Millionen Reichsmark (RM) im Jahr 1928 und 14 Millionen RM im Jahr 1929 an.[18] Danach verlief die Entwicklung für die I.G. Farben vorerst anders als erhofft. Nach Ausbruch der Weltwirtschaftskrise sanken die Weltmarktpreise für Erdölbenzin auf ihren historisch tiefsten Stand und lagen 1931 zeitweise unter dem Preis der für Leuna-Benzin eingesetzten Kohle.[14]
Dennoch hielt die I.G. Farben an dem Projekt fest und investierte bis 1931 etwa 426 Millionen Reichsmark in das Verfahren, was inflationsbereinigt einer heutigen Kaufkraft von 1.890.437.992 Euro entspricht.[19] Auch die Nobelstiftung betrachtete die Herstellung von synthetischem Benzin (Zitat) „als großen Nutzen für die Menschheit“ und verlieh Friedrich Bergius und Carl Bosch 1931 für deren Verdienste um die Entdeckung und Entwicklung der chemischen Hochdruckverfahren den Nobelpreis für Chemie.[20] Überdies erwarb die Standard Oil of New Jersey die Lizenz zur weltweiten Vermarktung des nunmehr so genannten I.G.-Verfahrens.[18] Um die Ressourcen sowie das Know-how für die Herstellung synthetischen Benzins zu bündeln und um die Veröffentlichung von Entdeckungen einzuschränken, gründeten die I.G. Farben, Shell, Imperial Chemical Industries (ICI) und Standard Oil of New Jersey 1931 die International Hydrogenation Patents Company.[21]
Die Revolutionierung der Explorationswissenschaften und die damit verbundene Entdeckung neuer Erdölfelder vor allem in Texas und im Nahen Osten führten dazu, dass sich ab Ende 1932 die düsteren Prognosen über eine weltweite Erschöpfung der globalen Erdölvorräte in ihr Gegenteil verwandelten. Dies war nicht nur für die I.G. Farben, die sich mit ihrer Kohleverflüssigung auf diese Prognosen und den hohen Ölpreis verlassen hatte, eine ökonomische Katastrophe, sondern allen voran für das Achnacarry-Kartell.[22]
Zeit des Nationalsozialismus

1933 nahmen Vertreter der I.G. Farben Kontakte zur nationalsozialistischen Führung auf, um für eine politische Unterstützung des Verfahrens zu werben. Das Reichsfinanzministerium gewährte daraufhin Schutzzölle, um das synthetische Benzin konkurrenzfähig zu halten. Es kam im Dezember 1933 zur Unterzeichnung des vom wirtschaftspolitischen Sprecher der NSDAP, Gottfried Feder, und Carl Bosch ausgehandelten Feder-Bosch-Abkommens, wobei sich die I.G. Farben zur Lieferung von synthetischem Benzin zu einem garantierten Preis verpflichtete.[23]
Hitler befahl 1936 in der von ihm verfassten Denkschrift zum Vierjahresplan die Durchführung eines Vierjahresplans, unter anderem mit dem Ziel des maximalen Ausbaus von Anlagen zur Herstellung synthetischen Benzins.[24] Eine wesentliche Rolle sollte hierbei die Braunkohle-Benzin AG (Brabag) mit ihren vier Hydrierwerken in Magdeburg, Böhlen, Schwarzheide und Zeitz einnehmen. Insgesamt entstanden im Deutschen Reich nach der Fischer-Tropsch-Synthese der Ruhrchemie neun Werke und 17 nach dem Hochdruck-Hydrierungsverfahren der I.G. Farben.
Hydrieranlagen in Deutschland bis 1945
| Standort | Betreiber | Anteilseigner | Inbetriebnahme | Einsatzstoff | Größte erreichte Produktion 1 |
|---|---|---|---|---|---|
| Leuna | Ammoniakwerk Merseburg GmbH – Leuna Werke | I.G. Farben | 1927 | Braunkohle, Urteer, Erdölrückstände | 625.000 t/a[25] |
| Böhlen | Brabag-Werk Böhlen | Brabag | 1936 | Braunkohle, Urteer | 252.000 t/a[25] |
| Ludwigshafen-Oppau | I.G. Farben-Werke Ludwigshafen Oppau | I.G. Farben | 1936 | Steinkohle, Urteer, Erdölrückstände | 50.000 t/a[26] |
| Magdeburg-Rothensee | Brabag-Werk Magdeburg | Brabag | 1936 | Braunkohle, Urteer | 214.000 t/a[25] |
| Gelsenkirchen-Scholven | Hydrierwerke Scholven AG | Hibernia AG | 1936 | Steinkohle, Urteer, Erdölrückstände | 280.000 t/a[27] |
| Bottrop-Welheim | Ruhröl GmbH | Hugo Stinnes GmbH | 1937 | Pech | 143.000 t/a[25] |
| Gelsenkirchen-Horst | Gelsenberg-Benzin AG | Gelsenkirchener Bergwerks-AG | 1939 | Steinkohle, Urteer, Erdölrückstände | 440.000 t/a[28] |
| Tröglitz (Zeitz) | Brabag-Werk Zeitz | Brabag | 1939 | Braunkohle, Urteer | 262.000 t/a[25] |
| Lützkendorf | Wintershall A.G. Werk Lützkendorf | Wintershall AG | 1940 | Braunkohle, Urteer, Erdölrückstände | 50.000 t/a[26] |
| Pölitz (Stettin) | Hydrierwerke Pölitz AG | I.G. Farben (32 %) Shell (34 %) Standard Oil of New Jersey (34 %) |
1940 | Steinkohle, Urteer, Erdölrückstände | 700.000 t/a[29] |
| Moosbierbaum | Donau Chemie AG Hydrierwerk Moosbierbaum | Donau Chemie AG | 1941 | Erdölrückstände, Hydrierbenzin | 100.000 t/a[26] |
| Wesseling | Union Rheinische Braunkohlen Kraftstoff AG | Interessengemeinschaft rheinischer Braunkohlenunternehmen | 1941 | Braunkohle, Urteer, Schieferöl | 227.400 t/a[30] |
| Maltheuern bei Brüx | Sudetenländische Treibstoffwerke AG | Sudetenländische Bergbau AG | 1942 | Braunkohle, Urteer | 600.000 t/a[31] |
| Blechhammer | Oberschlesische Hydrierwerke AG | Interessengemeinschaft oberschlesischer Steinkohlenunternehmen | 1943 | Steinkohle, Urteer | 420.000 t/a[32] |
| Heydebreck O.S. | I.G Farben-Werke Heydebreck | I.G. Farben | 1943 | Steinkohle, Urteer | 3330 moto[33] |
| Auschwitz | I.G Farben-Werke Auschwitz | I.G. Farben | 1944 | Steinkohle, Urteer | 2500 moto[33] |
Zu beachten ist, dass an einigen der aufgeführten Standorte nicht nur Bergius-Pier-Anlagen im Betrieb waren. So verfügte beispielsweise das Mineralölwerk Lützkendorf neben einem Hydrierwerk im I.G.-Verfahren auch über eine Fischer-Tropsch- sowie eine Schmieröldestillationsanlage. An anderen Chemiestandorten wie Leuna, Maltheuern, Blechhammer, Heydebreck existierten zuzüglich der Bergius-Pier-Werke noch Fabrikanlagen, die beispielsweise Ammoniak und Stickstoff im Haber-Bosch-Verfahren für die Herstellung von Düngemitteln, Sprengstoffen und vielen anderen chemischen Erzeugnissen produzierten. Einige der Bergius-Pier-Hydrierwerke wurden mit DHD-Anlagen zur Oktanzahlverbesserung von Flugbenzin ergänzt. Diese erstmals im Januar 1942 in Pölitz in Betrieb genommenen Anlagen zur Produktion von Hydrierbenzinen für Hochleistungsmotoren liefen am Ende des Krieges in mehreren Hydrierwerken oder befanden sich da gerade im Aufbau.[34] Parallel zum DHD-Verfahren wurde in Moosbierbaum ab 1942 ein in Leuna entwickeltes HF-Verfahren (Abk. für Hydroforming ) eingeführt. Die Anlagen in Moosbierbaum arbeiteten zwar nicht nach dem Bergius-Pier-Prozess, wurden aber den Hydrieranlagen zugeordnet, da sie neben Erdölrückständen Hydrierbenzin aus Leuna verarbeiteten.[35][36][37]
Die nicht selten in der Literatur erwähnte gemeinsam mit den Fischer-Tropsch-Anlagen im Zeitraum von 1943 bis Anfang Mai 1944 erreichte Höchstleistung von zusammen rund 4,5 Millionen Tonnen ist nicht mit der Jahresproduktion synthetisch hergestellten Flugbenzins gleichzusetzen, was in der Nachkriegszeit verschiedene Autoren angaben. Den größten Produktanteil des I.G.-Verfahrens bildeten zwar ab Januar 1942 Flugtreibstoffe, jedoch gefolgt von Fahrbenzin und Dieselkraftstoff, Heizöl, Schmieröl und sonstigen Produkten (Sekundärprodukte). Mit der Fischer-Tropsch-Synthese wurde zu dieser Zeit weder Flugtreibstoff noch Heizöl hergestellt, so dass der Kraftstoffanteil, der durch dieses Verfahren erzeugt wurde, geringer war als bei dem I.G.-Verfahren. Fahrbenzin und Dieselöl konnten mit beiden Verfahren produziert werden, wobei sich die Qualität der Produkte hinsichtlich der erreichten Oktanzahlen beziehungsweise Cetanzahlen unterschied.[38][39]
Zweiter Weltkrieg

Obwohl die Versorgung mit Kraft- und Schmierstoffen eine der anfälligsten Stellen der deutschen Kriegsmaschinerie war, erfolgte ein direkter Angriff auf die Hydrierwerke erst ab 1944.[40] Nach den Erfolgen der Operation Tidal Wave bei den Luftangriffen auf Ploiești und die dortigen Raffinerien und Erdölreserven erklärte die Führung der alliierten Luftwaffe die deutschen Hydrierwerke zum strategischen Angriffsziel. Am Abend des 12. Mai 1944 starteten 935 Bomber der United States Army Air Forces einen Großangriff auf die Hydrierwerke Leuna, Böhlen, Tröglitz, Lützkendorf und Brüx. Die im Zuge dieser Luftangriffe erreichten Zerstörungen legten den Betrieb der fünf Hydrierwerke vorübergehend still.[41]
Bis zum 29. Mai 1944 flogen die US-Bomberverbände konzentrierte Angriffe gegen alle 27 im deutschen Einflussbereich liegenden Raffinerie- und Hydrieranlagen. Die Werke waren danach erheblich, meist total, zerstört. Damit drohte der vollständige Zusammenbruch der deutschen Treibstoffversorgung. Vor diesem Hintergrund ordnete Adolf Hitler umgehend und persönlich am 30. Mai 1944 „Sofortmaßnahmen zur Wiederinbetriebnahme und zum Schutz der Hydrierwerke“ an.[42] Mit dem geheim gehaltenen Mineralölsicherungsplan wurde versucht, die Werke innerhalb kürzester Zeit wieder aufzubauen und die Anlagen durch den Einsatz massiver Flak in „Hydrierfestungen“ zu verwandeln.[43]
Die Instandsetzung gelang infolge fortwährender alliierter Luftangriffe lediglich temporär.[44] Auch das von Rüstungsminister Albert Speer initiierte Projekt, Hydrierwerke unter Einsatz von Tausenden von Fachkräften, Zwangsarbeitern und Strafgefangenen unter Tage in Stollen zu verlagern (Untertageverlagerung), blieb erfolglos. Die Fertigstellung gelang vor Kriegsende nicht mehr.[45] Schließlich trug die Zerstörung der deutschen Hydrieranlagen dazu bei, dass die deutsche Kriegsmaschinerie zum Erliegen kam.[40]
Nachkriegszeit

Nach der Beendigung des Zweiten Weltkriegs verfügten die Alliierten zunächst die Stilllegung der Hydrieranlagen in Deutschland. Die Sowjetarmee ließ die Hydrierwerke in Magdeburg, Pölitz und Auschwitz-Monowitz demontieren und in Dserschinsk in der Nähe von Gorki wieder aufbauen.[46] Dorthin verschleppte die Sowjetunion in der Aktion Ossawakim zeitgleich zahlreiche Wissenschaftler, die in den Hydrierwerken gearbeitet hatten.[47] Gleichfalls ließ die US-Regierung im Rahmen der Operation Paperclip deutsche Ingenieure und Chemiker, vor allem der Brabag, I.G. Farben und des Kaiser-Wilhelm-Instituts für Kohlenforschung, für das Synthetic Liquid Fuels Program überwiegend nach Louisiana (Missouri) verbringen.[48][49]
In Westdeutschland wurden einige der noch vorhandenen Anlagen nach 1945 für die Hydrierung von Rückstandsölen zu Mittelölen umgebaut, jedoch bis 1963 alle stillgelegt.[50] Im Zuge der Ölkrise von 1979 beabsichtigte die damalige Bundesregierung die Kohlehydrierung wieder einzuführen und zu subventionieren. Die beiden Energieversorger Veba und Ruhrkohle AG bauten daraufhin 1981 in Bottrop eine Versuchsanlage für die Hydrierung von 200 Tonnen Kohle pro Tag, deren Betrieb 1993 jedoch wieder eingestellt wurde.[51]
Hingegen gingen in der sowjetischen Besatzungszone die dort noch vorhandenen Hydrierwerke sofort nach Kriegsende wieder in Betrieb. Die 1949 gegründete DDR mit ihren reichen Braunkohlevorkommen bei gleichzeitigem Erdölmangel entwickelte vor dem Hintergrund einer angestrebten Autarkie sowohl die Fischer-Tropsch-Synthese als auch das Bergius-Pier-Verfahren weiter und besaß ein Kompetenzzentrum für Kohleverflüssigung in Freiberg, das Deutsche Brennstoffinstitut.[52] Im großen Umfang wurde die direkte Kohleverflüssigung bis 1990 besonders in den Werken Espenhain, Böhlen und Zeitz betrieben.[53][54]
Im heutigen Deutschland betreibt noch das Max-Planck-Institut für Kohlenforschung Grundlagenforschung auf den Gebieten organische und metallorganische Carbochemie nebst einer möglichen Wiederaufnahme der Kohlehydrierung nach modifiziertem Bergius-Pier-Verfahren unter Einsatz von High-Rank-Kohle und Verwendung von gasförmigem Katalysator.[55]
Technologietransfer
Die Möglichkeiten der Umwandlung fossiler Brennstoffe in flüssige Kraft- und Schmierstoffe förderten andere Länder, insbesondere Großbritannien und die USA, vergleichbar. Ausschlaggebend dafür war eine von US-Wissenschaftlern im Jahr 1925 veröffentlichte und weltweit ernstgenommene These, wonach die globalen Erdölvorräte in sieben Jahren erschöpft seien, während die Motorisierung unaufhaltsam zunehme. Ein Jahr später gründete der Kongress der Vereinigten Staaten ein Komitee mit der Aufgabe, nach Alternativen zu suchen.[56][57]
In der Folge erlangten, ähnlich der I.G. Farben in Deutschland, die Imperial Chemical Industries (ICI) in Großbritannien und DuPont in den USA eine nationalökonomische, politische Bedeutung. Zur Herstellung synthetischen Benzins entstanden in Zusammenarbeit mit der I.G. Farben ab 1927 in den USA zwei Hydrieranlagen in Baton Rouge (Louisiana) und eine in Baytown (Texas). Das seinerzeit größte Steinkohle-Hydrierwerk der Welt ging 1935 in Billingham im Nordosten Englands in Betrieb. Während der Eröffnungsfeier betonte der britische Premierminister Ramsay MacDonald, dass der Bau von Hydrierwerken „im Interesse der nationalen Sicherheit“ sei.[58] Die Planungen für das Werk begannen 1931 und waren offiziellen britischen Angaben zufolge auf einen künftigen Krieg ausgerichtet, um bei einer Seeblockade auf einheimische Öl-Ressourcen zurückgreifen zu können.[59] Das technische Knowhow lieferte die I.G. Farben, die im Februar 1932 ein „Engineer-Agreement“ mit der ICI vereinbarte.[60][61]
Die britische Regierung subventionierte sowohl den Bau der Anlage sowie bis Oktober 1939 die gewonnenen Treibstoffe.[62][63][64] Das Werk in Billingham hatte eine Kapazität von 150.000 t/a (Tonnen Treibstoffe pro Jahr) und wurde erst 1963 stillgelegt.[65]
Auf Grundlage eines Gesetzes vom 11. Mai 1936 erließ das Ministero delle Finanze Unternehmen, die italienische Kohle durch Hydrierung zu synthetischen Erzeugnissen verarbeiteten, für die Dauer von 10 Jahren unter anderem die Einkommensteuer, die Umsatzsteuer sowie die Aktienkapitalabgabe.[66] Im gleichen Jahr begann Italien mit dem Bau von Bergius-Pier-Hydrieranlagen in Bari und Livorno. Beide Werke gingen 1938 mit einer Jahresleistung von jeweils 180.000 Tonnen in Betrieb und arbeiteten in Kombination mit vorhandenen Erdöl-Raffinerien.[67][68] In der Folgezeit wurden die Anlagen erweitert und lieferten ab 1940 jährlich 450.000 Tonnen flüssige Ölprodukte.[69]
Betreiber der Hydrierwerke war die Azienda Nazionale Idrogenazione Combustibili (ANIC), ein Zusammenschluss von Montecatini, Azienda Italiana Petroli Albanesi (AIPA) und Agip (heute Eni). Während der schweren britischen und US-amerikanischen Tages- und Nachtbombardements vom 19. Mai bis 7. Juni 1944 auf Livorno wurden das Zentrum der Stadt sowie alle umliegenden Industriegebiete vollständig zerstört. Nach der Eroberung Norditaliens ließ die alliierte Militärregierung die Reste des Hydrierwerkes demontieren.[70] Ab 1947 existierten konkrete Pläne der ANIC zum Wiederaufbau der Anlage, die jedoch zugunsten einer Raffinerie keine Anwendung fanden.[71] Hingegen blieb das Hydrierwerk in Bari bis 1974 in Betrieb und wurde erst 1976 endgültig geschlossen.[72][73]
Spanien gründete 1942 das nationale Volksunternehmen Empresa Nacional Calvo Sotelo (heute Repsol) und schloss 1944 ein Abkommen mit Deutschland zur Errichtung eines Hydrierwerkes nach dem I.G.-Verfahren in Puertollano. 1950 unterzeichnete die spanische Regierung neue Verträge mit der BASF. Die Produktion synthetischen Benzins begann hier 1956 und endete 1966. Danach erfolgte die Umstellung auf andere chemische Produkte, die in verschiedenen Repsol-Werken bis heute hydriert werden.[74]
Am 5. April 1944 verabschiedete die US-Regierung unter Federführung des United States Bureau of Mines per Gesetz das Synthetic Liquid Fuels Program und bewilligte für die nächsten fünf Jahre 30 Millionen US-Dollar (entspräche heute einer Kaufkraft von 433.160.345 Dollar[75]). Das Ziel des Programms bestand darin, „den Bau und Betrieb von Hydrieranlagen zur Herstellung synthetischer flüssiger Brennstoffe aus Kohle, Ölschiefer, land- und forstwirtschaftlichen Erzeugnissen und anderen Stoffen für die Kriegsführung zu unterstützen sowie die Öl-Ressourcen der Nation zu erhalten und zu erhöhen“.[76][77]
Zwischen 1945 und 1951 entstanden in der Nähe von Pittsburgh und in Louisiana (Missouri) zwei spezielle Forschungsanlagen. Das Werk in Louisiana produzierte 1949 unter anderem pro Tag 200 Barrel Öl nach dem Bergius-Pier-Verfahren.[78] 1953 beendete der neue republikanische Haushaltsausschuss die Finanzierung der Forschungen. Die Anlage in Louisiana blieb jedoch unter Leitung des United States Department of the Army in Betrieb. In der Folgezeit wurde in den USA unter der Bezeichnung CtL von Kellogg und in Südafrika von Sasol an verschiedenen Hydrierverfahren weitergeforscht, wobei sich hier insbesondere die Fischer-Tropsch-Synthese weiterentwickelte.[79]
Im Zuge des Ölpreisschocks nahm die US-Regierung ab 1973 die Forschung und Entwicklung synthetischer Anlagen wieder auf. 1979, nach der zweiten Ölkrise, genehmigte der US-Kongress den Energy Security Act zur Gründung der Synthetic Fuels Corporation und bewilligte rund 88 Millionen Dollar für Projekte mit synthetischen Brennstoffen. Das vollständig von der US-Regierung finanzierte Unternehmen konzentrierte sich auf die Entwicklung und den Bau kommerzieller Hydrieranlagen. Neben dem Bergius-Pier-Prozess war insbesondere das Lurgi-Ruhrchemie-Verfahren von Bedeutung. Nach der Ölschwemme von 1985 wurde die Synthetic Fuels Corporation von der Reagan-Administration aufgelöst. Bis dahin sollen für die Herstellung synthetischer Kraftstoffe in den USA, gemessen nach heutiger Kaufkraft, insgesamt 8 Milliarden Dollar öffentliche Mittel verbraucht worden sein.[80][81]
In der Tschechoslowakei nahmen die ehemaligen Sudetenländischen Treibstoffwerke in Záluží nach Ende des Zweiten Weltkriegs bereits am 3. Juni 1945 die Produktion wieder auf, zunächst unter dem Namen Stalinovy závody (Stalin-Werke), später als Hydrák.[82] Die Kohlehydrierung im Bergius-Pier-Verfahren endete hier erst 1972.[83]
Gegenwart
Durch den niedrigen Ölpreis wurden bis Ende der 1990er Jahre in Europa, Japan, Russland und den Vereinigten Staaten keine neuen Projekte zur Kohlehydrierung verfolgt.[84] Laut damaliger Angaben der RAG Aktiengesellschaft lohne sich das Verfahren erst, wenn der Benzinpreis bei 2,30 DM liege.[85]
Infolge stark schwankender Erdölpreise gewinnen Hydrierwerke unter Anwendung verschiedener Technologien seit Beginn des 21. Jahrhunderts weltweit wieder an Bedeutung.[86] Analytikern zufolge wird die Schwelle zur Wirtschaftlichkeit ab einem Ölpreis von 60 US-Dollar je Barrel überschritten.
Im Jahr 2003 baute die Shenhua Coal Liquefaction and Chemical Co. mit einem Investitionsvolumen von über zwei Milliarden Dollar ein Hydrierwerk in Ejinhoro-Banner, das 2009 den Testbetrieb aufnahm. Die dortigen Kohlereserven in der Gegend von Ordos betragen nach Schätzungen 160 Milliarden Tonnen Kohle. Für das Jahr 2013 meldete Shenhua einen Ausstoß des Hydrierwerks von 866.000 Tonnen Ölprodukten.[87] Die Anlage wird seit 2017 von der China Energy Investment Corporation betrieben und hat zwischenzeitlich eine Kapazität von einer Million t/a. Produziert wird Naphtha, Diesel und Benzin.[88][89]
Rohstoffe
Für die Hydrierung kamen überwiegend Braun- oder Steinkohle zum Einsatz. Braunkohle konnte im Allgemeinen leichter hydriert werden als Steinkohle. Nachteilig bei Braunkohle waren bzw. sind der hohe Wasser- und Sauerstoffgehalt, was zu einem wesentlich höheren Rohstoffbedarf führt. So wurden vor 1945 für 1 t Hydrierprodukt rund 17 t Rohbraunkohle, aber nur 4 t Steinkohle benötigt. Die Trocknung erforderte zusammen mit der Energieversorgung fast 50 % der benötigten Braunkohle. Allerdings waren die Rohstoffkosten für 1 t Braunkohle nicht halb so hoch wie bei der Steinkohle.[90]
Für die Produktion von 1 t Benzin aus Steinkohle wurden anfangs 2 t Flamm- oder Gasflammkohle sowie 5 t Kohle zur Energieerzeugung und Bereitstellung der benötigten Kokereigase benötigt.[91] Bemerkenswert ist die Dynamik der damaligen Forschung und Entwicklung: Gegenüber der ersten in Betrieb genommenen Steinkohleanlage in Scholven konnte innerhalb von nur drei Jahren der Durchsatz in den Oberschlesischen Hydrierwerken verdreifacht werden. Zeitgleich wurde eine Senkung der Aufheizkosten erzielt. Während in Scholven für 1 t Kohlebrei noch 320.000 Kcal aufgewandt werden musste, betrug dieser Wert in Oberschlesien nur noch 170.000.[92]
Vor 1945 wurde Gasflammkohle mit weniger als 84,5 % Kohlenstoff als optimale Hydrierkohle angesehen.[90] Allerdings ließen sich in den Bergius-Pier-Anlagen anstelle von Kohle jederzeit auch Erdöle und deren Fraktionen verarbeiten. Auch aus Braunkohleteer oder Ölschiefer gewonnene Öle konnten hydriert werden. Gleichfalls wurde der bei der Schwelung von Steinkohle anfallende Schwelteer zur Hydrierung herangezogen, der zwischen 80 und 90 % Kohlenwasserstoffe enthielt.[93]
Auf Grund ihrer sehr wandlungsfähigen Verfahren sind Hydrierwerke in der Lage, auch schwere Ölrückstände auf flüssige Treibstoffe zu verarbeiten. Was die Kosten der Rohölverarbeitung in Hydrierwerken betrifft, so lagen diese höher als die Verarbeitungskosten in Erdölraffinerien, die mit Crackanlagen ausgerüstet waren. Mit Hilfe des Bergius-Pier-Verfahrens wurde jedoch je Tonne Rohöl eine wesentlich höhere Ausbeute an Treibstoffen (Benzin, Dieselöl und Treibgas) erzielt.[94] Letztlich hängt die Möglichkeit einer wirtschaftlichen Erzeugung von Motorkraftstoffen über Kohleverflüssigung von dem Preisverhältnis Erdöl zu Kohle ab.[95]
Wasserstoff

Die Erzeugung des Wasserstoffs erfolgte über die Kohlevergasung mit Hilfe eines Winkler-Generators im Wirbelbett. In einer Reihe von exothermen und endothermen Reaktionen reagiert dabei kleingemahlene Kohle mit Sauerstoff und Wasser zu Kohlenstoffdioxid und Wasserstoff. Der Einsatz von reinem Sauerstoff gegenüber Luft vermeidet bei der späteren Hydrierung die unerwünschte Senkung des Wasserstoffpartialdrucks durch Luftstickstoff. Die Sauerstoffgewinnung der damals betriebenen Luftzerlegungsanlagen diente fast ausschließlich diesem Zweck.[96] Die feine Zerteilung der Kohle gewährte einen guten Wärmeübergang, die Temperatur innerhalb des Generators war in etwa konstant. Durch die Fahrweise fiel kein Teer an, das gewonnene Gas war frei von Kohlenwasserstoffen. Da die Betriebstemperatur des Wirbelbettvergasers unter dem Schmelzpunkt der Asche gehalten werden musste, eignete sich der Winkler-Generator besonders zur Vergasung von reaktiven Kohlesorten.[97]
Die Verbrennung von Kohle mit Sauerstoff zu Kohlenstoffmonoxid (Reaktion 1) lieferte die Energie für die endotherme Erzeugung von Wassergas (Reaktion 2). Kohlenstoffmonoxid reagiert in einer reversiblen Reaktion zu Kohlenstoff und Kohlenstoffdioxid (Reaktion 3). Das sich je nach Temperatur und Druck einstellende Gleichgewicht zwischen den Reaktanden wird nach dem französischen Chemiker Octave Leopold Boudouard als Boudouard-Gleichgewicht bezeichnet. Der entstehende Kohlenstoff steht wieder der Verbrennung zur Verfügung. Kohlenstoffmonoxid kann weiterhin in einer reversiblen Reaktion, der so genannten Wassergas-Shift-Reaktion, mit Wasser zu Kohlenstoffdioxid und Wasserstoff reagieren (Reaktion 4).[98]
Eine Druckadsorptionsstufe entfernt das entstehende Kohlenstoffdioxid aus dem Gasgemisch. Nach diesem Schritt steht für die Hydrierung reiner Wasserstoff zur Verfügung.
Braunkohle
Braunkohle ist ein fossiler Brennstoff mit einem Kohlenstoffgehalt von etwa 58 bis 73 %. Sie ist in der Regel geologisch jünger als Steinkohle und weist einen geringeren Inkohlungsgrad auf. Der Wassergehalt von Rohbraunkohle beträgt je nach Herkunft 15 bis 60 %, der Gehalt an anorganischen Aschebestandteilen liegt zwischen 3 und 20 %.[99] Gegenüber Steinkohle weist Braunkohle einen höheren Sauerstoffgehalt auf, der durch Huminsäuren verursacht wird. Der hohe Gehalt an flüchtigen Bestandteilen in der Braunkohle vereinfacht die Überführung in flüssige Produkte durch Hydrierung.[99]
Braunkohlenteer
Braunkohlenteer entsteht bei der Schwelung von Braunkohle. Der Teer besteht überwiegend aus aliphatischen Kohlenwasserstoffen. Beim Einsatz von Braunkohlenteer ist eine vorherige Destillation erforderlich, die leichter flüchtige Bestandteile mit einem Siedepunkt von bis zu 325 °C abtrennt. Die Hydrierung des Destillats erfolgt in der Gasphasenhydrierung, während der Rückstand in der Sumpfphase hydriert wird.[100]
| Gehalt an Heteroelementen und Wasserstoff sowie der Wasserstoffbedarf verschiedener Rohstoffe bei der Hydrierung[101] | |||
|---|---|---|---|
| Rohstoff | Gehalt an Heteroelementen pro 100 g Kohlenstoff |
Wasserstoffgehalt pro 100 g Kohlenstoff |
Wasserstoffbedarf in Litern pro Kilogramm Benzin |
| Esskohle | 5,8 | 4,8 | 1210 |
| Gasflammkohle | 12,6 | 6,5 | 1145 |
| Schwelteer (Gasflammkohle) |
14,1 | 10,3 | 670 |
| Braunkohle | 39,2 | 7,6 | 1350 |
| Braunkohleschwelteer | 9,7 | 12,2 | 1030 |
| Erdöl | 1,9 | 14,7 | 246 |
Steinkohle
Von den Steinkohlen wurde bevorzugt Gasflammkohle eingesetzt, die durch Hydrierung bis zu 73 % flüssige Kohlenwasserstoffe lieferte.[102] Bezogen auf wasser- und aschefreie Kohle besteht Gasflammkohle zu etwa 80 % aus Kohlenstoff, 5 % aus Wasserstoff, 12 % aus Sauerstoff, 1,5 % aus Stickstoff und 1,5 % aus Schwefel.[103] Der Anteil der flüchtigen Bestandteile liegt bei 40 %. Der Wassergehalt liegt mit 10 % deutlich unter dem der Braunkohle. Die Vorbereitung der Kohle wird dadurch erleichtert und der Energiebedarf gegenüber Braunkohle ist dementsprechend geringer. Auch der Aschegehalt ist deutlich niedriger als der von Braunkohle.[103]
Steinkohlenschwelteer
Steinkohlenteer oder Tieftemperaturteer entsteht bei der Schwelung von Steinkohlen bei Temperaturen unterhalb von 700 °C. Bevorzugt wurden Kohlesorten mit einem hohen Anteil an flüchtigen Stoffen, wie Gasflammkohle, verwendet. Dabei wurde die Kohle fein zerkleinert einem Schwelofen von oben zugegeben. Als festes Produkt wurde am Boden des Schwelofens Schwelkoks ausgetragen. Die leichtflüchtigen Bestandteile wurden am Schwelofenkopf abgezogen und zum Teil als Spülgas zirkuliert. Das Spülgas wurde durch Verbrennungsgase aufgeheizt. Der größte Teil der flüchtigen Bestandteile wurde abgezogen und in Entteerungsanlagen verflüssigt und in einem Ölwäscher von anfallendem Benzin getrennt. Das Produktionsvolumen betrug 1944 etwa 200.000 Tonnen Steinkohlenschwelteer.[104]
Katalysator
Das ursprünglich von Bergius entwickelte Verfahren verwendete keine speziellen Katalysatoren, sondern nutzte die katalytischen Eigenschaften der anorganischen Bestandteile der Kohleasche. Die Asche bestand aus Oxiden, Sulfaten, Silikaten und Phosphaten verschiedener Elemente, meist Eisen und Aluminium, sowie Alkali- und Erdalkaliverbindungen.[105] Die mit dieser Methode erreichten Kohleumsätze blieben meist unbefriedigend.
Katalysatoren für die Sumpfphasenhydrierung

Die Entwicklung eines geeigneten Katalysators erwies sich aufgrund der Vielzahl der eingesetzten Rohstoffe, der Schwankungen in der Zusammensetzung des jeweiligen Rohstoffs sowie dem hohen Gehalt an Heteroelementen als schwierig. Als Katalysator für die Sumpfphasenhydrierung setzte Matthias Pier zunächst Bayermasse ein, zum Teil in Verbindung mit Goethit. Bayermasse fiel in großen Mengen als preiswertes Nebenprodukt bei der Gewinnung von Aluminiumoxid aus Bauxit im Bayer-Verfahren an (Rotschlamm). Neben Eisenoxiden enthält Bayermasse in größerer Menge Titanoxid, Aluminiumoxid und Siliziumdioxid, daneben Oxide oder Hydroxide von Natrium, Calcium, Chrom, Magnesium, Kupfer und weiteren Metallen.[106] Dieser Katalysator verhielt sich unempfindlich gegen die in der Braunkohle enthaltenen Schwefelverunreinigungen und den bei der Hydrierung entstehenden Schwefelwasserstoff.[107] Die mit Bayermasse erzeugten Kohleumsätze lagen im Bereich von etwa 50 % und damit noch zu niedrig für eine großtechnische Anwendung. Außerdem verkokten die Reaktoren stark, so dass diese mechanisch von nicht umgesetztem Koks befreit werden mussten.
Ein von Pier entwickelter Katalysator auf Basis von Molybdänoxid (MoO3), Zinkoxid und Magnesiumoxid, welcher als Pulver zur Sumpfphase gegeben wurde, steigerte den Umsatz deutlich. Der Bedarf an teurem Molybdänoxid, das zwar zum Teil zurückgewonnen wurde, erhöhte jedoch die Kosten des Verfahrens spürbar.[107] Außerdem setzte sich die spezifisch schwerere Katalysatorphase zum Teil am Reaktorboden ab und nahm damit an der katalytischen Umsetzung nur noch bedingt teil. Auf der Suche nach preiswerteren Alternativen zeigte sich mit Eisensulfat und Natronlauge imprägnierter Staub aus den Zyklonen des Winkler-Generators als hochaktiv. Der Staub bestand zu etwa 65 % aus Kohlenstoff und wurde als Ölmaische eingesetzt. Bezogen auf die eingesetzte Kohle war ein etwa 10%iger Katalysatoranteil notwendig, um einen Kohleumsatz von etwa 90 % zu erzielen. Der Effekt der feinen Verteilung des Katalysators durch den Winkler-Staub spielte eine wichtige Rolle bei der Erhöhung der katalytischen Aktivität. Die Berührung zwischen der Kohle und dem Katalysator intensivierte sich dadurch. Der Katalysator verblieb außerdem in der Kohle-Öl-Phase und setzte sich nicht ab.[108]
Katalysatoren für die Gasphasenhydrierung
Als einen der ersten Katalysatoren für die Vorhydrierung zur Umsetzung der Heteroverbindungen setzte Pier den in der Sumpfphase erfolgreich getesteten Katalysator auf Basis von Molybdänoxid, Zinkoxid und Magnesiumoxid ein. Die noch vorhandenen Stickstoffverbindungen und das daraus entstehende Ammoniak deaktivierten den in Form von Würfeln eingesetzten Kontakt jedoch schnell.[107]
Erst ein Kontakt auf Basis von Wolframsulfid zeigte eine ausreichende Langzeitaktivität für die Vorhydrierung. Der aus Ammoniumparawolframat gefällte und mit Schwefelwasserstoff geschwefelte Kontakt zerfiel bei der anschließenden thermischen Zersetzung zu einem überstöchiometrischen Wolframsulfid der Form WS2,15. Jedoch erwies sich die Hydrieraktivität des Kontakts als sehr hoch. So hydrierte der Kontakt Benzol zu Cyclohexan und erniedrigte somit die Oktanzahl der Produkte.[107] Die Suche nach preiswerteren und weniger aktiven Kontakten führte zum Einsatz von Kontakten auf Basis von Nickelsulfid in Kombination mit Wolframsulfid oder Molybdänsulfid auf Aluminiumoxid.[107] Dieser Katalysatortyp entspricht den Hydrodesulfurierungskatalysatoren, die später in Erdölraffinerien eingesetzt wurden.[109]
Für die zweite Stufe der Gasphasenhydrierung, der Benzinierung, waren Kontakte erwünscht, die eine gute Hydrocrack- und Isomerisierungsaktivität aufwiesen. Aus Untersuchungen zur Isomerisierung von Paraffinen war die Eignung von säurebehandelten Alumosilicaten als Katalysator für diese Reaktion bekannt. Schließlich kam ein Wolframsulfid auf fluorwasserstoff-aktivierter Bleicherde-Kontakt als Katalysator für die Benzinierung zum Einsatz.[107]
Reaktionstechnik

Das Bergius-Pier-Verfahren lässt sich in die Teilschritte Kohlebreiherstellung, Sumpfphasenhydrierung und Gasphasenhydrierung unterteilen. Die Gasphasenhydrierung bestand aus der Vorhydrierung und der Benzinierung. Die Aufarbeitung der Produkte erfolgte destillativ. Zur Entfernung von Schwefelwasserstoff und Kohlenstoffdioxid wurde die Gasphase einer Alkazid-Wäsche unterworfen. Dabei bildete Kalium-N,N-dimethylglycinat, das Kaliumsalz des Dimethylglycins, bei Raumtemperatur ein Addukt mit Schwefelwasserstoff oder Kohlenstoffdioxid, welches bei Temperaturen von oberhalb 100 °C wieder in die Ausgangsprodukte zerfiel.[110]
Kohlebreiherstellung

Zunächst wurde die Braunkohle in einer Hammermühle auf eine Korngröße von fünf Millimetern gemahlen und danach auf einen Wassergehalt von 4 % getrocknet. Vor dem Trocknen wurde Bayermasse zur Braunkohle gegeben und ein Eisengehalt von etwa 2,5 % eingestellt. Nach der Trocknung erfolgte eine Nachmahlung auf eine Korngröße von einem Millimeter.[100]
Nach Zugabe von etwa 15 % Anreibeöl wurde die Braunkohle in einer Breimühle zu Kohlebrei verarbeitet. Das Arbeiten unter Stickstoff als Schutzgas minimierte die Oxidation der Braunkohle. Mittels einer Breipresse wurde die Masse im nächsten Schritt zu einem Wärmetauscher, dem Regenerator, gepumpt, wobei mit weiterem Anreibeöl ein Feststoffgehalt von 48 % eingestellt wurde. Der Kohlebrei enthielt typischerweise einen Aschegehalt von etwa 20 %.[100]
Sumpfphasenhydrierung
Der Kohlebrei, wegen des hohen Feststoffgehalts als Sumpf bezeichnet, wurde bei Temperaturen von 450 bis 500 °C und Wasserstoffdrücken von 200 bis 700 bar in einer exothermen Reaktion hydriert. Dabei erfolgte die fast vollständige Konvertierung der Heteroatome der in der Kohle enthaltenen Organoschwefel-, Organostickstoff- und Organosauerstoffverbindungen in ihre flüchtigen Wasserstoffverbindungen. Weiterhin fand hier die Spaltung und Sättigung der Kohlenwasserstoffe statt.[100]

Zunächst förderte eine Breipresse den Kohlebrei über zwei Wärmetauscher, Regeneratoren genannt, und einen Vorheizer zum Hochdruckofen. In den Regeneratoren fand die Vorwärmung des Kohlebreis mit heißen Produkten aus der Hydrierung statt. Im Vorheizer erfolgte die Beheizung mit Gas bis auf die Reaktionstemperatur von 450 bis 500 °C.[100]
Die Verarbeitung von einem Kubikmeter Kohlebrei pro Stunde erforderte in etwa dasselbe Reaktorvolumen. Ein typischer Reaktor, der Hochdruckofen, hatte einen Durchmesser von etwa einem Meter bei einer Höhe von 12 bis 18 Metern und ein Volumen von etwa neun Kubikmetern. Bei einer Verarbeitungskapazität von 250 Kubikmetern Kohlebrei pro Stunde verbrauchte die Hydrierung etwa 86.000 Normkubikmeter Wasserstoff. Dazu wurden 360.000 Normkubikmeter Wasserstoff zirkuliert, zum Teil um den Kohlebrei zu durchmischen, zum Teil unter Zugabe von kaltem Wasserstoff, der die Hydrierwärme aufnahm.[100] Im zirkulierten Wasserstoff reicherten sich Methan und Ethan sowie Stickstoff, Kohlenstoffmonoxid und Kohlenstoffdioxid an. Um eine Senkung des Wasserstoffpartialdrucks durch diese Gase zu minimieren, wurde das zirkulierte Gas vor dem Eintritt in den Reaktor einer Ölwäsche bei 250 bar unterzogen. Dabei lösten sich die Kohlenwasserstoffe im Mittelöl, das aus der Hydrierung stammte.[100]
Das Mittelöl wurde in zwei Stufen entspannt. In der ersten Druckentspannungsstufe von 25 bar wurden die niedermolekularen Gase wie Wasserstoff, Methan, Kohlenstoffmonoxid und Kohlenstoffdioxid freigesetzt. In der zweiten Entspannungsstufe bei Normaldruck wurden die Flüssiggase sowie etwas Pentan freigesetzt.[100]
Die Produkte der Sumpfphasenhydrierung ähnelten in ihrer chemischen Struktur noch den eingesetzten Kohlen. Steinkohlenöle enthielten viele aromatische Verbindungen, aus Braunkohle gewonnene Öle enthielten überwiegend aliphatische Kohlenwasserstoffe. Die Trennung der entstandenen Öle von unhydrierbaren Bestandteilen der Kohle erfolgte durch Destillation.[100] Der Katalysator verblieb in den nicht hydrierbaren Bestandteilen. Diese nicht destillierbaren Feststoffe, die reich an Asche sowie Katalysatorbestandteilen waren, konnten in der Kohlevergasung wieder zur Herstellung von Wasserstoff genutzt werden.
Gasphasenhydrierung
Die Gasphasenhydrierung unterteilt sich in eine Vorhydrierung und die so genannte Benzinierung. In der Stufe der Vorhydrierung erfolgt die Entfernung der noch nicht in der Sumpfphase eliminierten Heteroelemente. Die Vorhydrierung wurde notwendig, da die in der Benzinierung verwendeten sauren Katalysatoren sehr empfindlich gegen eine Vergiftung durch Ammoniak oder andere basische Stickstoffverbindungen waren.[101] In der Vorhydrierung wurde das so genannte A-Mittelöl, das einen hohen Stickstoffgehalt aufwies, ohne Spaltung hydroraffiniert. Nach der Abtrennung der Benzinfraktion entstand das so genannte, fast stickstofffreie B-Mittelöl, das in der Benzinierung einer Hydrocrackreaktion unterworfen wurde.[107]
In der Benzinierungsstufe entstanden die Zielprodukte, heteroelementfreie Kohlenwasserstoffe mit dem geforderten Siedebereich sowie der richtigen Viskosität und Oktanzahl. Die Gasphasenhydrierung verbrauchte etwa 25 % des Gesamtwasserstoffs. Isomerisierungsreaktionen liefen ohne Wasserstoffbedarf ab und die Dehydrierung von Naphthenen zu Aromaten unter Freisetzung von Wasserstoff.[101]
Produkte
Das Produktspektrum hing von der chemischen Zusammensetzung der eingesetzten Kohle ab, etwa dem Inkohlungsgrad oder dem Aschegehalt, sowie von den Reaktionsbedingungen wie dem Wasserstoffdruck, der Temperatur und der Verweilzeit. Braunkohle liefert überwiegend paraffinische Produkte, die als Dieselkraftstoff verwendet werden, während Steinkohle höheroktanige, aromatische Produkte für die Verwendung als Motorenbenzin liefert.[111]
Gase
Als gasförmige Erzeugnisse fielen Methan, Ethan, Propan und ein Gemisch von Butan und Isobutan an. Die Produktion von 100.000 Tonnen Benzin aus Braunkohle erzeugte etwa 23.000 Tonnen Flüssiggase, davon 10.000 Tonnen Propan und 13.000 Tonnen eines Butan/Isobutan-Gemischs aus. Im Winter verblieben etwa 5000 Tonnen des Butans im Benzin, 8000 Tonnen standen der chemischen Industrie zur Verfügung. Daneben fielen noch etwa 6.500 Tonnen Ethan an.[100] Die gasförmigen Kohlenwasserstoffe bildeten sich durch Crackreaktionen, wobei zunächst Alkene entstanden, die sofort weiter zu den entsprechenden Alkanen hydriert werden.
Die entstandenen gasförmigen Kohlenwasserstoffe wurden in Arm- und Reichgase unterschieden. Die Armgase enthielten neben Wasserstoff vor allem Methan und einen Teil des Ethans, die Reichgase enthielten vor allem Flüssiggase und kaum Wasserstoff. Die Gase wurden vor allem durch die Entspannung von Waschölen, bei der Destillation der Produkte und bei der Benzinierung erhalten.[100]
Benzin
Das Bergius-Pier-Verfahren lieferte unabhängig vom Rohstoff und den Verfahrensparametern ein paraffin- und naphthenreiches Benzin mit einer Motoroktanzahl von 71 bis 73. Der Olefingehalt lag unter 1 %, der Aromatengehalt lag je nach Rohstoff zwischen 8 und 9 %.[101] Bei gleichen Rohstoffen und Verfahrensparametern erzeugten Wolframsulfid/Nickelsulfid auf Tonerde-Kontakte in der Vorhydrierung und Wolframsulfid auf Tonerde-Kontakte in der Benzinierungsstufe die Benzine mit den höchsten Oktanzahlen. Eine Aromatisierungsstufe mit Chromoxid/Vanadiumpentoxid auf Aktivkohle-Kontakte steigerte die Oktanzahl auf etwa 83.[101]
| Typische Analysenwerte von Flugbenzinen verschiedener Hydrierwerke[101] | ||||
|---|---|---|---|---|
| Parameter | Leuna (Braunkohle) |
Scholven (Steinkohle) |
Gelsenberg (Steinkohle) |
Pölitz (Steinkohle) |
| Dichte in g/cm³ | 0,719 | 0,738 | 0,740 | 0,730 |
| Siedebeginn in °C | 45 | 44 | 46 | 44 |
| Siedeende in °C | 139 | 156 | 151 | 152 |
| % Paraffine | 51,5 | 37,5 | 36,5 | 48,5 |
| % Naphthene | 38 | 53 | 54 | 43 |
| % Aromaten | 8,5 | 8,5 | 9 | 7,5 |
| % Olefine | 1 | 1 | 0,5 | 1 |
| MOZ | 71 | 73 | 73 | 72 |
Dieselkraftstoff
Die erzeugten Dieselkraftstoffe aus Braunkohle wiesen gegenüber denen aus Steinkohle eine erhöhte Cetanzahl auf, Dieselkraftstoffe aus Anlagen mit einem höheren Verfahrensdruck waren paraffinreicher und damit zündwilliger.[101]
Die Dichte des Diesels lag zwischen 0,8 und 0,88 g/cm³. Die Cetanzahl betrug zwischen 45 und 55 für die Diesel, die bei Drücken von 200 bis 300 bar hydriert wurden, und zwischen 72 und 75 für Diesel, die bei hohen Drücken von 600 bar hergestellt wurden. Der Wasserstoffgehalt lag bei etwa 14 %.[101]
Mechanismus

Studien von Modellsubstanzen wie Thiophen, Phenol oder Pyridin in Hydrofiningreaktionen legten nahe, dass die katalytisch aktiven Stellen der Kontakte auf den Ecken und Kanten der Katalysatorkristallite liegen.[112] Die Reaktion von Wasserstoff mit oberflächengebundenem Sulfidschwefel unter Freisetzung von Schwefelwasserstoff schafft eine koordinativ ungesättigte Oberflächenstelle, an der sich heteroatomhaltige Substrate binden können. Unter Bildung eines neuen Sulfidschwefel und eines ungesättigten organischen Restes beginnt der katalytische Zyklus von Neuem.
Beim Bergius-Pier-Verfahren laufen parallel Hydrierungs-, Hydrocrack- und Hydrorefiningreaktionen wie die Hydrodenitrogenierung und die Hydrodesulfurierung ab. Die Hydrofiningreaktionen laufen nach den folgenden Reaktionsschema ab:
Die Hydrierung überführt ungesättigte in wasserstoffreichere Kohlenwasserstoffe, Hydrocrackreaktionen reduzieren die molare Masse und führen zu leichtflüssigeren Produkten. Die Hydrofiningreaktionen eliminieren die Heteroatome Sauerstoff, Stickstoff und Schwefel im Produkt und generieren Wasser, Ammoniak und Schwefelwasserstoff. Crackreaktionen generieren niedermolekulare Alkene, die aufgrund des hohen Wasserstoffdrucks sofort zu Alkanen hydriert werden. Weiterhin setzen sie Kohlenstoffmonoxid und Kohlenstoffdioxid frei, indem sie ester- oder andere sauerstoffhaltige funktionelle Gruppen des Ligningerüsts der Braunkohle abbauen. Die Gesamtheit der ablaufenden Prozesse wurde zeitweilig als Berginisieren der Kohle bezeichnet.[113]
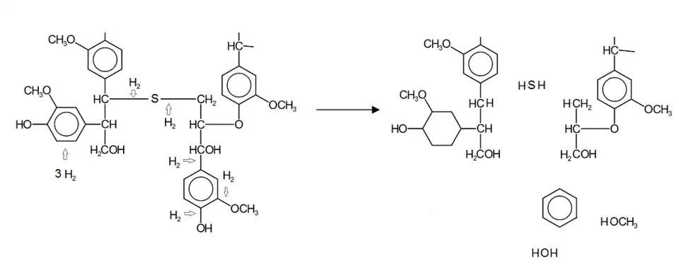
Beispiele verschiedener Hydrierungs- und Hydrotreating-Reaktionen zeigt das folgende Reaktionsschema an einem Braunkohlefragment:
Verfahrensvarianten
Das ursprüngliche Bergius-Verfahren arbeitete ohne speziell zugesetzte Katalysatoren, sondern nutzte die in der Kohleasche vorkommenden Eisenverbindungen als Katalysatoren. Von Bergius stammte die Idee, die Braunkohle mit Öl zu einem Kohlebrei zu verreiben und diese unter hohem Wasserstoffdruck und Temperaturen von etwa 500 °C zu hydrieren. Die Verfahrensvarianten unterscheiden sich in der Reaktionsführung, dem Katalysator und der Wasserstoffquelle.
Pott-Broche-Prozess
Ende der 1920er Jahre entwickelten Alfred Pott und Hans Broche das nach ihnen benannte Verfahren, bei dem mit Tetralin und Decalin als wasserstoffabgebenden Lösungsmittel gearbeitet wird. Tetralin und Decalin werden dabei zum Naphthalin oxidiert, welches destillativ abgetrennt und nach Hydrierung wiederverwendet werden kann. Als weiteres Lösungsmittel wird Kresol oder Phenol verwendet.[114]
Die Hydrierung wurde bei Temperaturen zwischen 415 und 435 °C und einem Druck von etwa 100 bar durchgeführt. Eine vorgeschaltete Pott-Broche-Anlage der Ruhröl GmbH extrahierte zwischen 1938 und 1944 im Hydrierwerk Welheim Steinkohle zu Teerpech bei einem angestrebten Durchsatz von jährlich 26.000 Tonnen.[115][116]
TTH
Aufgrund des hohen Wasserstoffverbrauchs wurden in den meisten Hydrierwerken zunehmend keine reine Stein- oder Braunkohle eingesetzt, sondern Teere aus der Verschwelung oder Rückstände der Erdölverarbeitung. Aus dieser Verfahrensweise entwickelte sich das Tieftemperatur-Hochdruck-Hydrierverfahren (TTH-Verfahren), bei dem neben Benzin und Mittelöl langkettige Paraffine (TTH-Paraffine) für die Paraffinoxidation gewonnen wurden.[117]
Bei diesem Prozess erhielten die gelieferten Teere in gemischter Flüssig- und Gasphase auf festen Katalysatoren eine raffinierende Behandlung mit Wasserstoff. Dabei wandelt sich der im Teer enthaltene Asphalt und Harz in Kohlenwasserstoffe um, wobei sich Sauerstoff-, Schwefel- und Stickstoffverbindungen absondern, aber die hochmolekularen Anteile aufgrund der niedrigen Temperaturen erhalten bleiben. Als Katalysatoren wurden in der Regel Wolframsulfid und Nickelsulfid auf Aluminiumoxid als Träger verwendet, die in flüssiger Form bei 350 °C und 300 Bar in Benzin, Dieselöl, Schmieröl und Paraffin übergehen.[118][119]
H-Coal-Verfahren
Beim 1963 entwickelten H-Coal-Verfahren der Hydrocarbon Research Inc. (HRI) wird Braunkohle in einem einstufigen Verfahren mit Hilfe eines Cobalt-Molybdän-Katalysators hydriert. Der Katalysator wird zur Vermeidung der Deaktivierung in einem „ebullated bed“ (wallendes Bett = Wirbelschichtreaktor) ständig in Bewegung gehalten, zum Teil ausgeschleust und durch frischen Katalysator ersetzt.[4] Die verschiedenen Crack- und Hydrierungsreaktionen laufen bei kurzer Reaktionszeit in nur einem Reaktor ab, die Produkte weisen ein hohes Wasserstoff-zu-Kohlenstoff-Verhältnis auf.
Mit finanzieller Unterstützung in Höhe von 300 Millionen USD durch das Energieministerium der Vereinigten Staaten, den US-Bundesstaat Kentucky und verschiedener Ölfirmen baute HRI eine Pilotanlage für einen Kohledurchsatz von 200 bis 600 Tonnen pro Tag.[120]
Synthoil-Verfahren
Das Synthoil-Verfahren wurde ab 1969 im Auftrag der Energy Research and Development Administration/Fossil Energy (ERDA/FE), heute Teil des Energieministeriums der Vereinigten Staaten, entwickelt. Die Anmaischung der Kohle erfolgte mit einem Lösungsmittel. Als Katalysator fand ein Cobalt-Molybdän-Katalysator Verwendung, der bei einer Temperatur von 425 bis 450 °C und einem Druck von bis zu 280 bar arbeitete. Zielprodukte waren flüssige Brennstoffe für den Einsatz in Kraftwerken.[4] Durch nicht gelöste Probleme mit der Langzeitaktivität des Katalysators wurde das Verfahren bislang nur im Technikumsmaßstab getestet.
Shenhua Direct Coal Liquefaction Process
Beim Shenhua Direct Coal Liquefaction Process wird bituminöse Kohle mit einem hohen Gehalt an inerten Bestandteilen hydriert. Die 2008 in der Inneren Mongolei gebaute Anlage ist nach dem Zweiten Weltkrieg die einzige kommerziell betriebene Kohlehydrieranlage der Welt.[121] Sie wird seit 2017 von der China Energy Investment Corporation betrieben.[122][123]
Das Verfahren besteht im Wesentlichen aus zwei rückvermischten Reaktorstufen sowie einem Festbett-Hydrotreater. Als Katalysator wird ein feingemahlener Eisenkatalysator verwendet. Das Verfahren arbeitet bei einem Druck von 170 bar und einer Temperatur von etwa 450 °C, wobei ein Umsatz auf die eingesetzte Kohle von über 90 % erreicht wird. Die erhaltenen Produkte wie Naphtha, Dieselöl und Flüssiggas sind weitgehend frei von Schwefel und Stickstoff.[124]
Literatur
- Walter Krönig: Die katalytische Druckhydrierung von Kohlen, Teeren und Mineralölen (Das I.G.-Verfahren von Matthias Pier). Springer Verlag, 1950. (Reprint: 2013, ISBN 978-3-642-50105-0)
Weblinks
Einzelnachweise
- ↑ Heinz-Gerhard Franck: Kohleveredlung: Chemie und Technologie. Verlag Springer, 1979, ISBN 3-540-09627-2, S. 228.
- ↑ Anthony N. Stranges: Friedrich Bergius and the Rise of the German Synthetic Fuel Industry. In: Isis. 75, 1984, S. 643–667, doi:10.1086/353647.
- ↑ Emil Fischer: Die Aufgaben des Kaiser-Wilhelm-Instituts für Kohlenforschung. In: Stahl und Eisen. 32, 1912, S. 1898–1903.
- ↑ a b c K. F. Schlupp, H. Wien: Herstellung von Öl durch Hydrierung von Steinkohle. In: Angewandte Chemie. 88, 1976, S. 347–353, doi:10.1002/ange.19760881103.
- ↑ a b c Robert Haul: Das Portrait: Friedrich Bergius (1884–1949). In: Chemie in unserer Zeit. 19, 1985, S. 59–67, doi:10.1002/ciuz.19850190205.
- ↑ Paul Walden: Geschichte der organischen Chemie seit 1880. Springer Verlag, 1972, ISBN 3-662-27210-5, S. 847.
- ↑ Frank Baumann: Die Geschichte der Benzinsynthese in den Leunawerken und ihre ökologischen Folgeerscheinungen am Anfang des 20. Jahrhunderts. In: Mitteilungen. Gesellschaft Deutscher Chemiker (Fachgruppe Geschichte der Chemie), Frankfurt/Main, 1996, Band 12, S. 63–68.
- ↑ Franz Spausta: Treibstoffe für Verbrennungsmotoren. Springer Verlag, 1939, S. 54. (Reprint: ISBN 978-3-7091-5161-7)
- ↑ Federal Oil Conservation Board: Public Hearing – May 27, 1926. To afford full opportunity to representatives of the oil industry to present final views relating to national petroleum conditions before completion by the Government oil board of its preliminary report on this subject to the President. Government Printing Office, Washington, DC 1926 (handle.net [abgerufen am 18. Januar 2021]).
- ↑ Glückauf – Berg- und Hüttenmännische Zeitschrift vom 3. August 1940, S. 429 (hier S. 9): Rückblick auf die Tätigkei der Aktiengesellschaft für Steinkohleverflüssigung und Steinkohleveredlung in Duisburg-Meiderich Digitization Laboratory – Library of the Silesian University of Technology (Gleiwitz), abgerufen am 19. August 2025.
- ↑ Manfred Rasch: Geschichte des Kaiser-Wilhelms-Instituts für Kohlenforschung 1913–1943. VCR, 1989, S. 206 f.
- ↑ Rainer Karlsch, Raymond G. Stokes: Faktor Öl: die Mineralölwirtschaft in Deutschland 1859–1974. Verlag C.H. Beck, 2003, ISBN 3-406-50276-8, S. 136.
- ↑ Karl Becker: Die Geburt der Hochdruckchemie und das Leuna Werk: Ein Stück Geschichte der technischen Chemie – Teil 1. In: Chemie Ingenieur Technik. 85, 2013, S. 1824–1834, doi:10.1002/cite.201300096.
- ↑ a b Matthias Pier: Der Weg zum deutschen Benzin. Niederschrift eines Rundfunkvortrags anlässlich seines 60. Geburtstags am 22. Juli 1942 (online) ( vom 25. September 2016 im Internet Archive) (PDF)
- ↑ Werner Abelshauser: Die BASF, eine Unternehmensgeschichte. Verlag C.H. Beck, 2003, ISBN 3-406-49526-5, S. 206.
- ↑ Friedrich Bergius – Nobel Lecture: Chemical Reactions under High Pressure. Nobelprize.org. Nobel Media AB 2014. Web. 2 Sep 2016 (online).
- ↑ Titus Kockel: Deutsche Ölpolitik 1928–1938. Walter de Gruyter, 2019, S. 34 f.
- ↑ a b Werner Abelshauser: Die BASF, eine Unternehmensgeschichte. Verlag C.H. Beck, 2003, ISBN 3-406-49526-5, S. 238–242.
- ↑ Emanuel Heisenberg: Momente der Entscheidung: Tödliche Synthese. In: Die Zeit. 3. Juni 2004 (online).
- ↑ Nobel Prize in Chemistry 1931 Nobel Foundation, abgerufen am 20. August 2025.
- ↑ Judith Mirzoeff: Cracking the oil from coal Problem. In: New Scientist. 17. Juli 1980, S. 223.
- ↑ Titus Kockel: Geologie und deutsche Ölpolitik, 1928 bis 1938. Die frühe Karriere des Erdölgeologen Alfred Theodor Bentz. Dissertation TU Berlin, 2003, S. 36, 211, 254, 628.
- ↑ Titus Kockel: Deutsche Ölpolitik 1928–1938. Akademie-Verlag, 2005, ISBN 3-05-004071-8, S. 100.
- ↑ Wilhelm Treue: Hitlers Denkschrift zum Vierjahresplan 1936. In: VfZ. 2/1955, S. 184 ff. (online (PDF; 1,3 MB). Abgerufen am 10. September 2016)
- ↑ a b c d e Rainer Karlsch, Raymond G. Stokes: Faktor Öl. Die Mineralölwirtschaft in Deutschland 1859–1974. C. H. Beck, 2003, S. 189.
- ↑ a b c Walter Krönig: Die katalytische Druckhydrierung von Kohlen, Teeren und Mineralölen (Das I.G.-Verfahren von Matthias Pier). Springer Verlag, 1950, S. 259.
- ↑ Dietmar Bleidick: Aral. 125 Jahre Kraftstoffwirtschaft in Deutschland. Band 1: Von den Anfängen bis 1945. Band 2: Von 1945 bis zur Gegenwart. Waxmann Verlag, 2024, S. 407–408.
- ↑ Anthony N. Stranges: Petroleum from Coal. A Century of Synthesis. Brill, 2024, S. 123–124.
- ↑ John E. Lesch: The German Chemical Industry in the Twentieth Century. Springer Science & Business Media, 2013, S. 203–204.
- ↑ Helmut Pichler: Herstellung flüssiger Kraftstoffe aus Kohle. Report Carl Engler und Hans Bunte-Institut für Mineralöl- und Kohleforschung und Institut für Gastechnik, Feuerungstechnik und Wasserchemie der Universität Karlsruhe, 1970, S. 5–57 (online) ( vom 16. September 2016 im Internet Archive).
- ↑ Wolfgang Birkenfeld: Der synthetische Treibstoff, 1933–1945. Musterschmidt-Verlag, 1964, S. 135.
- ↑ Heinz-Gerhard Franck, Jürgen Walter Stadelhofer: Industrielle Aromatenchemie: Rohstoffe, Verfahren, Produkte. Verlag Springer, 1987, ISBN 3-662-07876-7, S. 48.
- ↑ a b Dietrich Eichholtz: Geschichte der deutschen Kriegswirtschaft 1939–1945. K. G. Saur Verlag, 1999, S. 136.
- ↑ Werner Abelshauser: Die BASF. Eine Unternehmensgeschichte. C.H.Beck, 2002, S. 284, 311.
- ↑ Technische Entwicklung des DHD-Verfahrens. Berichtssammlung des Versuchslabors Leunawerke, Bericht Nr. 558, Leuna, 15. Oktober 1942, S. 2. Fischer-Tropsch-Archiv, abgerufen am 24. August 2025.
- ↑ Ammoniakwerk Merseburg Jahresbericht 1941 Fischer-Tropsch-Archiv, abgerufen am 24. August 2025.
- ↑ Walter Krönig: Die katalytische Druckhydrierung von Kohlen, Teeren und Mineralölen. Das I.G.-Verfahren von Matthias Pier. Springer Verlag, 1950, S. 148–151.
- ↑ Dieter Osteroth: Von der Kohle zur Biomasse. Springer Verlag, 1989, ISBN 3-540-50712-4, S. 18.
- ↑ Günther Luxbacher: Kohle – Öl – Benzin. In: Helmut Maier: Gemeinschaftsforschung, Bevollmächtigte und der Wissenstransfer. Wallstein-Verlag, 2007, ISBN 978-3-8353-0182-5, S. 443.
- ↑ a b Schlacht um Sprit. In: Der Spiegel. Nr. 6, 1964, S. 60–62 (online).
- ↑ Ralf Schabel: Die Illusion der Wunderwaffen. R. Oldenbourg Verlag, 1993, ISBN 3-486-55965-6, S. 236.
- ↑ Weltmacht Öl Der Spiegel vom 24. Dezember 1973, abgerufen am 1. Juli 2019
- ↑ Alan J. Levine: The strategic bombing of Germany 1940–1945. Verlag Praeger, 1992, ISBN 0-275-94319-4, S. 151.
- ↑ Weltmacht Öl Der Spiegel vom 24. Dezember 1973, abgerufen am 1. Juli 2019
- ↑ Christoph Gunkel: Terror unter Tage. In: Spiegel online. 28. September 2009 (online).
- ↑ Öl im Dienste der Sowjetwirtschaft. In: Die Zeit. 16. März 1950, abgerufen am 20. September 2016.
- ↑ John E. Lesch: The German Chemical Industry in the Twentieth Century. Kluwer Academic Publishers, ISBN 0-7923-6487-2, S. 390.
- ↑ Don Bongaards: A Sense of Urgency. Xlibris Corporation, 2009, S. 42.
- ↑ Anthony N. Stranges: The US Bureau of Mines's synthetic fuel programme, 1920–1950s: German connections and American advances. In: Annals of Science. 54, 2006, S. 29, doi:10.1080/00033799700200111.
- ↑ Manfred Grathwohl: Energieversorgung. Ressourcen, Technologien, Perspektiven. Walter de Gruyter, 2019, S. 182.
- ↑ Dreifache Menge. In: Der Spiegel. Nr. 6, 1980, S. 45–49 (online).
- ↑ Holger Watter: Regenerative Energiesysteme. Grundlagen, Systemtechnik und Analysen ausgeführter Beispiele nachhaltiger Energiesysteme. Springer-Verlag, 2015, S. 266.
- ↑ Braunkohlenveredlung in Mitteldeutschland LMBV, abgerufen am 29. Oktober 2022.
- ↑ Vom Erdöl zu Kraft- und Schmierstoffen Deutsches Chemie-Museum Merseburg, abgerufen am 29. Oktober 2022.
- ↑ Kohleatlas 2014 TU Freiberg, abgerufen am 29. Oktober 2022.
- ↑ Moneir Nasr: Mineralölwirtschaft im Nahen Osten. Verlag für Literatur und Zeitgeschehen, 1967, S. 29.
- ↑ Walter Wetzel: Geschichte der deutschen Chemie in der ersten Hälfte des 20. Jahrhunderts. Band 19. Mitteilungen, Fachgruppe Geschichte der Chemie, Frankfurt a.M., 2007, S. 189. Gesellschaft Deutscher Chemiker, abgerufen am 26. Juni 2019
- ↑ Michael Stratton, Barrie Trinder: Twentieth Century Industrial Archaeology. Taylor & Francis, 2014, S. 84.
- ↑ Billingham Wharf and Official Opening of the Coal Hydrogenation Petrol Plant, ICI Billingham, by James Ramsay MacDonald M.P. British Film Institute, abgerufen am 29. Juni 2019
- ↑ Walter Wetzel: Geschichte der deutschen Chemie in der ersten Hälfte des 20. Jahrhunderts. Band 19. Mitteilungen, Fachgruppe Geschichte der Chemie, Frankfurt a.M., 2007, S. 198. Gesellschaft Deutscher Chemiker, abgerufen am 26. Juni 2019
- ↑ Bruno Riediger: Die Verarbeitung des Erdöles. Springer-Verlag, 2013, S. 806.
- ↑ Franz Spausta: Treibstoffe für Verbrennungsmotoren. Springer-Verlag, 2013, S. 75.
- ↑ J. L. Wiley, H. C. Anderson: Bibliography of Pressure Hydrogenation. Bände 1-3. U.S. Government Printing Office, 1950, S. 216, 277.
- ↑ E. Beesley, B. Wipp: "Butane dehydrogenation at Billingham". Chemical Industry Press London, 1953, S. 550–556.
- ↑ E. Bartholomé: Ullmanns Encyklopädie der technischen Chemie. Band 14. Wiley Press, 1985, S. 476.
- ↑ Franz Spausta: Treibstoffe für Verbrennungsmotoren. Springer-Verlag, 2013, S. 77.
- ↑ Walter Teltschik: Geschichte der deutschen Großchemie. Entwicklung und Einfluss in Staat und Gesellschaft. John Wiley & Sons Canada Limited, 1992, S. 117.
- ↑ Walter Krönig: Die katalytische Druckhydrierung von Kohlen Teeren und Mineralölen. Das I.G.-Verfahren von Matthias Pier. Springer-Verlag, 2013, S. 261.
- ↑ B. Brockamp, P. Ramdohr (Hrsg.): Zeitschrift für praktische Geologie. Band 47. Wilhelm Knapp Verlag, 1940, S. 150.
- ↑ Beppe Leonardini, Giovanni Corozzi, Giovanni Pentagna: Apocalisse 1943/45 distruzione di una città. Nuova Fortezza Livorno 1984, S. 3 f.
- ↑ Tamara Brunnschweiler-Peterson: Die Erdölproduktion Europas. Kapri Verlag, 1949, S. 67.
- ↑ Carlo Perego: Giacomo Fauser, Guido Donegani e le origini dell’ANIC a Novara. Istituto Donegani di Novara, 2010, S. 12. Istituto Donegani di Novara, abgerufen am 30. Juni 2019
- ↑ Bari Treccani La Cultura Italiana, abgerufen am 30. Juni 2019
- ↑ British Convert Coal in WWII ( vom 29. Juni 2019 im Internet Archive) West Virginia Coal Association, abgerufen am 29. Juni 2019
- ↑ Inflationsrechner Dollar 1944 zu Dollar 2019 In: dollartimes.com, abgerufen am 1. Juli 2019
- ↑ Early Days of Coal Research U.S. Department of Energy, abgerufen am 30. Juni 2019
- ↑ Gene Whitney, Carl E. Behrens: Energy. Natural Gas. The Capitol Net Inc, 2010, S. 309.
- ↑ Richard H. K. Vietor: Energy Policy in America since 1945. Cambridge University Press, 1984, ISBN 0-521-26658-0, S. 46–52.
- ↑ Early Days of Coal Research U.S. Department of Energy, abgerufen am 30. Juni 2019
- ↑ Oil Shale. History, Incentives, and Policy. CRS Report for Congress, abgerufen am 1. Juli 2019
- ↑ A Magic Way to Make Billions Time, abgerufen am 1. Juli 2019
- ↑ Na stavbě chemičky stačilo ke smrti opřít se o lopatu. Oběti mají pomník. IDnes vom 3. Juni 2015, abgerufen am 29. Oktober 2022.
- ↑ Rafinérie Litvínov Orlen Unipetrol, abgerufen am 29. Oktober 2022.
- ↑ Hengfu Shui, Zhenyi Cai, Chunbao (Charles) Xu: Recent Advances in Direct Coal Liquefaction. In: Energies. 3, 2010, S. 155–170, doi:10.3390/en3020155.
- ↑ Billiges Benzin aus Bottrop Welt am Sonntag vom 1. Juni 2008, abgerufen am 17. Juni 2019
- ↑ Lexikon der Chemie: Kohlehydrierung Spektrum Wissen, abgerufen am 17. Juni 2019
- ↑ China’s first direct coal liquefaction line produces 866,000 tonnes ( vom 21. August 2014 im Internet Archive). Abgerufen am 17. September 2016.
- ↑ China: CHN Energy Investment Group launches 170 billion yuan project in Xinjiang’s Hami ICSC – International Centre for Sustainable Carbon, abgerufen am 20. August 2025.
- ↑ From black to green: how Ordos is turning coal lands into a clean energy frontier People‘s Daily Online, abgerufen am 20. August 2025.
- ↑ a b Helmut Pichler: Herstellung flüssiger Kraftstoffe aus Kohle. Bundesministerium für Forschung und Technologie, Bonn–Bad Godesberg, 1973, S. 122.
- ↑ Hydrierwerke Scholven AG Gelsenzentrum e.V., abgerufen am 12. August 2025.
- ↑ Entwicklung der Steinkohlekammern hinsichtlich des Durchsatzes (hier S. 6) Fischer-Tropsch-Archiv, abgerufen am 19. August 2025.
- ↑ Franz Spausta: Treibstoffe für Verbrennungsmotoren. Springer-Verlag Wien, 1939, S. 69.
- ↑ Die Zeit vom 10. April 1952: Zwei Millionen t Raffineriekapazität im Kohlenbecken Archiv Die Zeit, abgerufen am 19. August 2025.
- ↑ Helmut Pichler: Neuere Erkenntnisse auf dem Gebiet der Synthese von Kohlenwasserstoffen aus CO und H2. In: Dechema (Hrsg.): Chemie Ingenieur Technik. Vol 42. John Wiley & Sons, 1970, S. 1162.
- ↑ Rudolf Plank (Hrsg.), Helmuth Hausen: Handbuch der Kältetechnik: Erzeugung sehr tiefer Temperaturen. Springer Verlag, 1957, OCLC 311803448, S. 381.
- ↑ Karl-Heinz Schmidt, Ingo Romey, Fritz Mensch: Kohle, Erdöl, Erdgas: Chemie und Technik. Vogel Verlag, 1981, ISBN 3-8023-0684-8, S. 63.
- ↑ P. Powell, P. Timms: The Chemistry of the Non-Metals. Springer Science and Business Media, 1974, ISBN 0-412-12200-6, S. 86–88.
- ↑ a b Karl-Heinz Schmidt, Ingo Romey, Fritz Mensch: Kohle, Erdöl, Erdgas: Chemie und Technik. Vogel Verlag, 1981, ISBN 3-8023-0684-8, S. 37–38.
- ↑ a b c d e f g h i j k Friedrich Asinger: Chemie und Technologie der Paraffin-Kohlenwasserstoffe. Akademie Verlag, 1956, DNB 450152154, S. 29–41.
- ↑ a b c d e f g h Helmut Pichler: Herstellung flüssiger Kraftstoffe aus Kohle. Report Carl Engler und Hans Bunte-Institut für Mineralöl- und Kohleforschung und Institut für Gastechnik, Feuerungstechnik und Wasserchemie der Universität Karlsruhe, 1970, S. 5–57 (online) ( vom 16. September 2016 im Internet Archive).
- ↑ C. Doelter: Handbuch der Mineralchemie. Halloidsalze, Fluoride, Edelgase, organische Verbindungen (Kohlen, Asphalt, Erdöl), Nachträge, Generalregister. Springer Verlag, 1931, S. 524. (Reprint: ISBN 978-3-642-49593-9)
- ↑ a b Walter Krönig: Die katalytische Druckhydrierung von Kohlen, Teeren und Mineralölen (Das I.G.-Verfahren von Matthias Pier). Springer Verlag, 1950, S. 56. (Reprint: ISBN 978-3-642-50105-0)
- ↑ Heinz-Gerhard Franck, Gerd Collin: Steinkohlenteer: Chemie, Technologie und Verwendung. Springer Verlag, 1968, ISBN 3-642-88259-5, S. 1.
- ↑ Karl-Heinz Schmidt, Ingo Romey, Fritz Mensch: Kohle, Erdöl, Erdgas: Chemie und Technik. Vogel Verlag, 1981, ISBN 3-8023-0684-8, S. 216.
- ↑ H. Schmitt: Comparison of Bayermasse, Luxmasse, and Lautamasse (impure iron oxides) as catalyst in coal hydrogenation. Technischer Report, Hydrierwerk Pölitz, 17. Dezember 1938, OSTI Identifier: 6122127, Report Number: TOM-75-656-658 (online).
- ↑ a b c d e f g Karl Becker: Katalysatoren des Leuna Werkes: ein Beitrag zur Geschichte der technischen heterogenen Katalyse – Teil I: Die Entwicklungen von 1921 bis 1945. In: Chemie Ingenieur Technik. 86, 2014, S. 2105–2114, doi:10.1002/cite.201400051.
- ↑ Diwakar Garg, Edwin N. Givens: Effect of catalyst distribution in coal liquefaction. In: Fuel Processing Technology. 7, 1983, S. 59–67, doi:10.1016/0378-3820(83)90025-5.
- ↑ Ernst Münzing, Hermann Blume, Emanuel Pindur: Arbeiten zur Verbesserung der Katalysatoren für die hydrierende Raffination von Teeren und Mittelölen. In: Zeitschrift für Chemie. 2, 1962, S. 76–83, doi:10.1002/zfch.19620020304.
- ↑ I.G. Alkazid Process for Gas Purification ( vom 6. Januar 2015 im Internet Archive). Abgerufen am 21. September 2016.
- ↑ W. Wilke: Der heutige Stand der Hydrierung und Synthese von Kraftstoffen und ihre Bedeutung für die Weltölwirtschaft. In: Schweizerische Bauzeitung. 23, 1948, S. 587–591, doi:10.5169/seals-56815.
- ↑ Charles N. Satterfield, Michael Modell, John A. Wilkens: Simultaneous Catalytic Hydrodenitrogenation of Pyridine and Hydrodesulfurization of Thiophene. In: Industrial & Engineering Chemistry Process Design and Development. 19, 1980, S. 154–160, doi:10.1021/i260073a027.
- ↑ A. Spilker, K. Zerbe: Beitrag zur Kenntnis der chemischen Vorgänge bei der Hydrierung der Kohle nach Bergius. In: Zeitschrift für Angewandte Chemie. 39, 1926, S. 1138–1143, doi:10.1002/ange.19260393903.
- ↑ Patent US2123380: Method of producing extracts from solid carbonaceous materials. Veröffentlicht am 12. Juli 1938, Erfinder: Alfred Pott, Hans Broche.
- ↑ German Patent. Discription of Pott-Broche Process. US Bureau of Mines. Fischer-Tropsch Archive by Emerging Fuels Technology, abgerufen am 10. November 2022.
- ↑ Manfred Rasch: Flüssige Treib- und Schmierstoffe. Substitutionsmöglichkeiten für Deutschlands Industrie und Militär während des Ersten Weltkriegs. In: Elisabeth Vaupel (Hrsg.): Studies 9. Ersatzstoffe im Zeitalter der Weltkriege. Geschichte, Bedeutung, Perspektiven. Deutsches Museum Verlag, 2021, S. 228.
- ↑ Kohlehydrierung Spektrum Akademischer Verlag, abgerufen am 19. August 2025.
- ↑ Bergakademie Freiburg (Hrsg.): Freiberger Forschungshefte. A. 749. Deutscher Verlag für Grundstoffindustrie, 1987, S. 40.
- ↑ Lexikon der Chemie (1998): Hydroraffination – Hochdruckraffination – TTH-Verfahren Spektrum Akademischer Verlag, abgerufen am 19. August 2025.
- ↑ Sunggyu Lee: Alternative Fuels. Verlag Taylor & Francis, 1996, ISBN 1-56032-361-2, S. 175–177.
- ↑ Long Xu, Mingchen Tang, Lin’e Duan, Baolin Liu, Xiaoxun Ma, Yulong Zhang, Morris D. Argyle, Maohong Fan: Pyrolysis characteristics and kinetics of residue from China Shenhua industrial direct coal liquefaction plant. In: Thermochimica Acta. 589, 2014, S. 1–10, doi:10.1016/j.tca.2014.05.005.
- ↑ China: CHN Energy Investment Group launches 170 billion yuan project in Xinjiang’s Hami ICSC – International Centre for Sustainable Carbon, abgerufen am 20. August 2025.
- ↑ From black to green: how Ordos is turning coal lands into a clean energy frontier People‘s Daily Online, abgerufen am 20. August 2025.
- ↑ Alfred G. Comolli, Theo L.K. Lee, Gabriel A. Popper, Peizheng Zhou: The Shenhua coal direct liquefaction plant. In: Fuel Processing Technology. 59, 1999, S. 207–215, doi:10.1016/S0378-3820(99)00016-8.
_Chemist_of_Heidelberg_Wellcome_L0003155_b.jpg)
_c.jpg)