Bromessigsäureethylester
| Strukturformel | |||||||||||||||||||
|---|---|---|---|---|---|---|---|---|---|---|---|---|---|---|---|---|---|---|---|
| |||||||||||||||||||
| Allgemeines | |||||||||||||||||||
| Name | Bromessigsäureethylester | ||||||||||||||||||
| Andere Namen |
| ||||||||||||||||||
| Summenformel | C4H7BrO2 | ||||||||||||||||||
| Kurzbeschreibung |
farblose Flüssigkeit mit unangenehmem Geruch[1] | ||||||||||||||||||
| Externe Identifikatoren/Datenbanken | |||||||||||||||||||
| |||||||||||||||||||
| Eigenschaften | |||||||||||||||||||
| Molare Masse | 167,01 g·mol−1 | ||||||||||||||||||
| Aggregatzustand |
flüssig[1] | ||||||||||||||||||
| Dichte |
1,50 g·cm−3 (20 °C)[1] | ||||||||||||||||||
| Schmelzpunkt | |||||||||||||||||||
| Siedepunkt |
159 °C[1] | ||||||||||||||||||
| Dampfdruck | |||||||||||||||||||
| Löslichkeit |
in Wasser partielle Zersetzung[1] | ||||||||||||||||||
| Brechungsindex |
1,4489 (20 °C)[2] | ||||||||||||||||||
| Sicherheitshinweise | |||||||||||||||||||
| |||||||||||||||||||
| Wenn nicht anders vermerkt, gelten die angegebenen Daten bei Standardbedingungen (0 °C, 1000 hPa). Brechungsindex: Na-D-Linie, 20 °C | |||||||||||||||||||
Bromessigsäureethylester, auch Bromessigester, ist ein halogenierter aliphatischer Carbonsäureester. In reinem Zustand ist Bromessigsäureethylester eine wasserklare, übel riechende Flüssigkeit mit einem Siedepunkt von 159 °C.[1]
Herstellung
Bromessigsäureethylester wird durch Veresterung von Bromessigsäure mit Ethanol unter Zusatz von etwas konzentrierter Schwefelsäure hergestellt.[4] Alternative Reaktionen sind die von Ethanol und Bromacetylbromid, das auch zunächst aus Essigsäure, Brom und rotem Phosphor hergestellt werden kann, von Ethylglycolat mit Phosphorpentabromid oder von Bromwasserstoff mit Ethyldiazoacetat.[5]
Eigenschaften
Bromessigsäureethylester ist eine farblose, leichtbewegliche Flüssigkeit. Es wirkt stark reizend auf die Schleimhäute, insbesondere die Augen.[5]
Verwendung
Im Ersten Weltkrieg wurde Bromessigsäureethylester als chemische Waffe, konkret als Tränengas, verwendet, zuerst von der französischen Armee im August 1914.[6] Im Zweiten Weltkrieg wurde er als Riechstoff bei Zyklon B benutzt, um vor der schwach riechenden Blausäure zu warnen.[7]
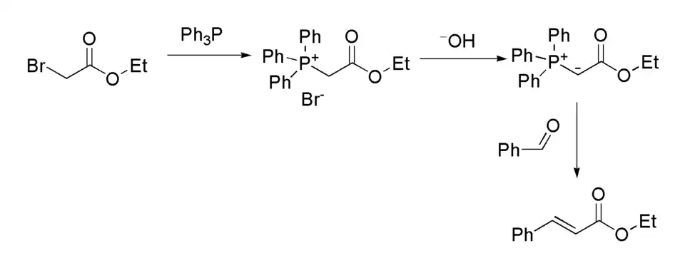
In der organischen Synthese wird Bromessigester als Alkylierungsreagenz verwendet. So wird es manchmal für Kondensationsreaktionen von Estern oder zur Herstellung von Yliden für Wittig-Reaktionen benutzt.[1]

Einzelnachweise
- ↑ a b c d e f g h i j k Eintrag zu Ethylbromacetat in der GESTIS-Stoffdatenbank des IFA, abgerufen am 20. Januar 2022. (JavaScript erforderlich)
- ↑ David R. Lide (Hrsg.): CRC Handbook of Chemistry and Physics. 90. Auflage. (Internet-Version: 2010), CRC Press / Taylor and Francis, Boca Raton FL, Physical Constants of Organic Compounds, S. 3-238.
- ↑ Eintrag zu Ethyl bromoacetate in der Datenbank ECHA CHEM der Europäischen Chemikalienagentur (ECHA), abgerufen am 1. Februar 2016. Hersteller bzw. Inverkehrbringer können die harmonisierte Einstufung und Kennzeichnung erweitern.
- ↑ Organic Syntheses Procedure (Bromessigsäureethylester). Abgerufen am 23. Februar 2023 (englisch).
- ↑ a b Kirby E. Jackson, Margaret Arthur. Jackson: Lachrymators. In: Chemical Reviews. Band 16, Nr. 2, 1. April 1935, S. 195–242, doi:10.1021/cr60054a003.
- ↑ Jiří Patočka, Kamil Kuča: IRRITANT COMPOUNDS: MILITARY RESPIRATORY IRRITANTS. PART I. LACRIMATORS. In: Military Medical Science Letters. Band 84, Nr. 3, 4. September 2015, S. 128–139, doi:10.31482/mmsl.2015.014.
- ↑ Gal, Joseph. "Remembering Fritz Haber in the year 2015." L’Actualité chimique 397-398 (2015): 114-121.


