Butanon
| Strukturformel | |||||||||||||||||||
|---|---|---|---|---|---|---|---|---|---|---|---|---|---|---|---|---|---|---|---|
| |||||||||||||||||||
| Allgemeines | |||||||||||||||||||
| Name | Butanon | ||||||||||||||||||
| Andere Namen | |||||||||||||||||||
| Summenformel | C4H8O | ||||||||||||||||||
| Kurzbeschreibung |
leichtentzündliche, farblose, acetonähnlich riechende Flüssigkeit[2][3] | ||||||||||||||||||
| Externe Identifikatoren/Datenbanken | |||||||||||||||||||
| |||||||||||||||||||
| Eigenschaften | |||||||||||||||||||
| Molare Masse | 72,11 g·mol−1 | ||||||||||||||||||
| Aggregatzustand |
flüssig | ||||||||||||||||||
| Dichte | |||||||||||||||||||
| Schmelzpunkt | |||||||||||||||||||
| Siedepunkt |
79,6 °C[3] | ||||||||||||||||||
| Dampfdruck | |||||||||||||||||||
| Löslichkeit |
leicht löslich in Wasser (292 g·l−1 bei 20 °C)[2] | ||||||||||||||||||
| Brechungsindex |
1,3788 (20 °C)[4] | ||||||||||||||||||
| Sicherheitshinweise | |||||||||||||||||||
| |||||||||||||||||||
| MAK | |||||||||||||||||||
| Toxikologische Daten | |||||||||||||||||||
| Wenn nicht anders vermerkt, gelten die angegebenen Daten bei Standardbedingungen (0 °C, 1000 hPa). Brechungsindex: Na-D-Linie, 20 °C | |||||||||||||||||||
Butanon (häufig auch Methylethylketon, abgekürzt MEK) ist neben Aceton eines der wichtigsten industriell genutzten Ketone. Es ist eine farblose, niedrig viskose Flüssigkeit mit charakteristischem Geruch und wird vor allem als Lösungsmittel eingesetzt.
Vorkommen

2-Butanon kommt natürlich in Bananen,[8] Wirsing,[9] Spanischem Pfeffer,[9] Tomaten,[9] Myrte,[9] Trauben-Katzenminze[9] und Schwarzen Johannisbeeren[9] vor.
Gewinnung und Darstellung
Butanon wird technisch durch Dehydrierung von 2-Butanol in der Gasphase bei Temperaturen von 400–500 °C unter Normaldruck in Gegenwart von Zink- oder Kupferoxid-Katalysatoren hergestellt.[10]

Man arbeitet in der Gasphase und verwendet Rohrbündelreaktoren für die Dehydrierung.[11]
Daneben existiert auch noch ein Verfahren in der Flüssigphase, bei dem man die Dehydrierung bereits bei Temperaturen um 150 °C an Raney-Nickel-Katalysatoren durchführt.[10]
Eine biotechnologische Herstellung aus Butan-2,3-diol basiert auf nachwachsenden Rohstoffen.[3]
Im Jahr 2011 wurden weltweit etwa 1,05 Millionen Tonnen verwendet.[10]
Eigenschaften
Physikalische Eigenschaften
Butanon ist eine farblose, niedrigviskose Flüssigkeit mit typisch ketonartigem Geruch, der dem von Aceton sehr ähnlich ist.[12] Die Verbindung siedet unter Normaldruck bei 79,6 °C.[12] Die Dampfdruckfunktion ergibt sich nach Antoine entsprechend log10(P) = A−(B/(T+C)) (P in bar, T in K) mit A = 3,9894, B = 1150,207 und C = −63,904.[13][14] Die Verbindung bildet mit einer Reihe von Lösungsmitteln azeotrop siedende Gemische. Die azeotropen Zusammensetzungen und Siedepunkte finden sich in der folgenden Tabelle. Keine Azeotrope werden mit Toluol, m-Xylol, Ethylbenzol, 1-Propanol, 1-Butanol, 2-Methyl-1-propanol, 2-Butanol, Allylalkohol, Aceton, 1,4-Dioxan, Essigsäuremethylester, Essigsäureisopropylester, Essigsäurebutylester, Ameisensäure und Essigsäure gebildet.[15][12]
| Azeotrope mit verschiedenen Lösungsmitteln[15][12] | |||||||||||
| Lösungsmittel | Wasser | n-Hexan | n-Heptan | Cyclohexan | Benzol | Chloroform | Tetrachlorkohlenstoff | ||||
| Gehalt Butanon | in % (m/m) | 88,7 | 29,5 | 71,3 | 44,1 | 44,3 | 83 | 29 | |||
| Siedepunkt | in °C | 73,4 | 64,3 | 77,0 | 71,8 | 78,4 | 80 | 74 | |||
| Lösungsmittel | Methanol | Ethanol | 2-Propanol | tert-Butanol | Ethylacetat | Methylpropionat | Diisopropylether | Di-n-propylether | |||
| Gehalt Butanon | in % (m/m) | 32,8 | 60,9 | 70,4 | 69,0 | 18,0 | 60,0 | 16,2 | 74,6 | ||
| Siedepunkt | in °C | 63,9 | 74,0 | 77,5 | 78,7 | 77,0 | 79,0 | 66,8 | 78,3 | ||
Die Mischbarkeit mit Wasser ist begrenzt. Mit steigender Temperatur sinkt die Löslichkeit von Butanon in Wasser bzw. steigt die Löslichkeit von Wasser in Butanon.[16]
| Löslichkeiten zwischen Butanon und Wasser[16] | ||||||||||||
| Temperatur | °C | 0 | 9,6 | 19,3 | 29,7 | 39,6 | 49,7 | 60,6 | 70,2 | |||
| Butanon in Wasser | in % (m/m) | 35,7 | 31,0 | 27,6 | 24,5 | 22,0 | 20,6 | 18,0 | 18,2 | |||
| Wasser in Butanon | in % (m/m) | 10,9 | 11,1 | 11,2 | 11,3 | 11,7 | 11,9 | 13,4 | 13,7 | |||
Wichtige thermodynamische Größen werden in der folgenden Tabelle gegeben:
| Eigenschaft | Typ | Wert [Einheit] | Bemerkungen |
|---|---|---|---|
| Standardbildungsenthalpie | ΔfH0liquid ΔfH0gas |
−273,3 kJ·mol−1[17] −238,1 kJ·mol−1[17] |
als Flüssigkeit als Gas |
| Verbrennungsenthalpie | ΔcH0liquid | −2444,2 kJ·mol−1[17] | als Flüssigkeit |
| Wärmekapazität | cp | 158,91 J·mol−1·K−1 (25 °C)[17] 2,204 J·g−1·K−1 (25 °C) |
als Flüssigkeit |
| Kritische Temperatur | Tc | 535,7 K[18] | |
| Kritischer Druck | pc | 41,5 bar[18] | |
| Kritische Dichte | ρc | 3,74 mol·l−1[18] | |
| Schmelzenthalpie | ΔfH | 8,439 kJ·mol−1[17] | beim Schmelzpunkt |
| Verdampfungsenthalpie | ΔVH | 31,3 kJ·mol−1[19] | beim Normaldrucksiedepunkt |
Die Temperaturabhängigkeit der Verdampfungsenthalpie lässt sich entsprechend der Gleichung ΔVH0=A·e(−βTr)(1−Tr)β (ΔVH0 in kJ/mol, Tr =(T/Tc) reduzierte Temperatur) mit A = 51,87 kJ/mol, β = 0,2925 und Tc = 536,8 K im Temperaturbereich zwischen 298 K und 371 K beschreiben.[19]
Chemische Eigenschaften
Butanon ist bei Raumtemperatur und in Abwesenheit von Luftsauerstoff stabil. In Gegenwart von Luftsauerstoff können bei längerer Lagerung Peroxide gebildet werden.[12] Die gezielte Oxidation mit Luftsauerstoff mittels Katalysatoren führt zum Diacetyl.[12] Die Reaktion mit Amylnitrit führt zur Oxidation in α-Position zum Monooxim des Diacetyls.[12]

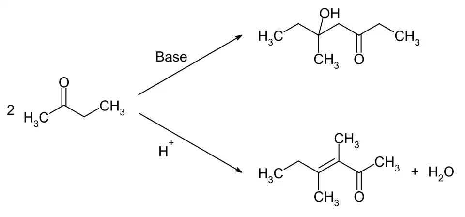
Die Umsetzung mit Wasserstoffperoxid ergibt das Methylethylketonperoxid, das als Polymerisationsinitiator verwendet werden kann.[12] Die Reaktion mit Salpetersäure oder anderen starken Oxidationsmitteln führt zu einem Gemisch aus Ameisensäure und Propionsäure.[12] Die Selbstkondensation führt im basischen bzw. sauren Medium zu unterschiedlichen Reaktionsprodukten.[12] Unter basischer Katalyse reagiert die Carbonylfunktion mit der Methylgruppe, während unter sauren Bedingungen die Methylengruppe α-Position die Carbonylfunktion angreift.[12]

Die Kondensation mit Formaldehyd ergibt das Methylisopropylketon.[12] Butanon bildet mit Cyanwasserstoff sowie mit Natriumhydrogensulfit bzw. Kaliumhydrogensulfit Additionsprodukte.[12] Durch die Umsetzung mit Hydroxylamin erhält man das 2-Butanonoxim.[12] Die Halogenierung erfolgt in α-Position zur Ketogruppe.[12] Mit Grignard-Verbindungen werden tertiäre Alkohole gebildet.[12]
Sicherheitstechnische Kenngrößen
Butanon bildet leicht entzündliche Dampf-Luft-Gemische. Die Verbindung hat einen Flammpunkt bei −7,5 °C.[2] Der Explosionsbereich liegt zwischen 1,5 Vol.-% (45 g/m3) als untere Explosionsgrenze (UEG) und 12,6 Vol.-% (378 g/m3) als obere Explosionsgrenze (OEG).[20] Mit einer Mindestzündenergie von 0,27 mJ sind Dampf-Luft-Gemische extrem zündfähig.[2][21] Der maximale Explosionsdruck beträgt 9,3 bar.[2] Mit steigender Temperatur und reduziertem Ausgangsdruck sinkt der maximale Explosionsdruck.[22] Die Sauerstoffgrenzkonzentration liegt bei 20 °C bei 9,5 Vol.-%.[20] Tendenziell steigt der Wert mit sinkenden Druck bzw. verringert sich mit steigender Temperatur.[22] Die Grenzspaltweite wurde mit 0,85 mm bestimmt.[20] Es resultiert damit eine Zuordnung in die Explosionsgruppe IIB.[20][2] Die Zündtemperatur beträgt 475 °C.[20][2] Der Stoff fällt somit in die Temperaturklasse T1. Die elektrische Leitfähigkeit ist mit 3,6·10−7 S·m−1 eher gering.[15][23]
| Maximaler Explosionsdruck und Sauerstoffgrenzkonzentration unter reduziertem Druck [22] | ||||||||||||
| Druck | in mbar | 1013 | 600 | 400 | 300 | 200 | 150 | 100 | ||||
| Maximaler Explosionsdruck | in bar | bei 20 °C | 9,5 | 5,7 | 2,7 | 1,8 | 1,4 | 0,9 | ||||
| bei 100 °C | 7,5 | 4,6 | 3,1 | 1,5 | 0,7 | |||||||
| Sauerstoffgrenzkonzentration | in Vol% | bei 20 °C | 9,5 | 9,5 | 9,9 | |||||||
| bei 100 °C | 8,5 | 8,5 | 8,7 | 9,1 | 12,5 | |||||||
Verwendung
Butanon ist wie Aceton ein gutes Lösungsmittel, in dem eine Vielzahl von Kunststoffen, Harzen und Lacken gelöst werden kann.[3] Daneben wird es auch zur Entparaffinierung von Schmierölen, Entfettung von Metalloberflächen, Extraktion von Fetten und Ölen aus natürlichen Harzen, als künstlicher Aromastoff und zur Sterilisation medizinischer Instrumente verwendet. Durch die Reaktion von Butanon mit Wasserstoffperoxid entsteht Methylethylketonperoxid, ein wichtiger Radikalstarter für die Polymerisation von Polyesterharzen.[3] Seit 1962 wird es in Deutschland wegen des ähnlichen Siedepunktes als Vergällungsmittel für Ethanol verwendet.[12]
Sicherheitshinweise/Toxikologie
Butanon wurde 2017 von der EU gemäß der Verordnung (EG) Nr. 1907/2006 (REACH) im Rahmen der Stoffbewertung in den fortlaufenden Aktionsplan der Gemeinschaft (CoRAP) aufgenommen. Hierbei werden die Auswirkungen des Stoffs auf die menschliche Gesundheit bzw. die Umwelt neu bewertet und ggf. Folgemaßnahmen eingeleitet. Ursächlich für die Aufnahme von Butanon waren die Besorgnisse bezüglich Verbraucherverwendung, Umweltexposition, Exposition von Arbeitnehmern, hoher (aggregierter) Tonnage, hohes Risikoverhältnis (Risk Characterisation Ratio, RCR) und weit verbreiteter Verwendung sowie der möglichen Gefahr durch reproduktionstoxische Eigenschaften sowie als potentieller endokriner Disruptor. Die Neubewertung läuft seit 2018 und wird von Schweden durchgeführt. Um zu einer abschließenden Bewertung gelangen zu können, wurden weitere Informationen nachgefordert.[24]
Weblinks
- International Chemical Safety Card (ICSC) für Methylethylketon bei der International Labour Organization (ILO)
Einzelnachweise
- ↑ Eintrag zu MEK in der CosIng-Datenbank der EU-Kommission, abgerufen am 28. Dezember 2020.
- ↑ a b c d e f g h i j k l m n o p Eintrag zu Butanon in der GESTIS-Stoffdatenbank des IFA, abgerufen am 2. Januar 2024. (JavaScript erforderlich)
- ↑ a b c d e f g h Eintrag zu Butan-2-on. In: Römpp Online. Georg Thieme Verlag, abgerufen am 1. November 2016.
- ↑ David R. Lide (Hrsg.): CRC Handbook of Chemistry and Physics. 90. Auflage. (Internet-Version: 2010), CRC Press / Taylor and Francis, Boca Raton FL, Physical Constants of Organic Compounds, S. 3-74.
- ↑ Eintrag zu Butanone in der Datenbank ECHA CHEM der Europäischen Chemikalienagentur (ECHA), abgerufen am 1. Februar 2016. Hersteller bzw. Inverkehrbringer können die harmonisierte Einstufung und Kennzeichnung erweitern.
- ↑ Schweizerische Unfallversicherungsanstalt (Suva): Grenzwerte – Aktuelle MAK- und BAT-Werte (Suche nach 78-93-3 bzw. 2-Butanon), abgerufen am 15. September 2019.
- ↑ Datenblatt Butanon bei Alfa Aesar, abgerufen am 24. Januar 2010 (Seite nicht mehr abrufbar).
- ↑ R. Tressl, F. Drawert, W. Heimann, R. Emberger: Notizen: Gaschromatographische Bestandsaufnahme von Bananen-Aromastoffen. In: Zeitschrift für Naturforschung B. 24, 1969, S. 781–783 (online).
- ↑ a b c d e f 2-BUTANONE (englisch). In: Dr. Duke's Phytochemical and Ethnobotanical Database, Hrsg. U.S. Department of Agriculture, abgerufen am 11. Juli 2024.
- ↑ a b c Manfred Baerns, Arno Behr, Axel Brehm, Jürgen Gmehling, Kai-Olaf Hinrichsen, Hanns Hofmann, Regina Palkovits, Ulfert Onken, Albert Renken: Technische Chemie. 2. Auflage. Wiley-VCH Verlag GmbH & Co. KGaA, Weinheim, Germany 2013, ISBN 978-3-527-33072-0, S. 599.
- ↑ Roland Dittmeyer, Wilhelm Keim, Gerhard Kreysa, Alfred Oberholz (Hrsg.): Winnacker • Küchler: Chemische Technik – Prozesse und Produkte – Organische Zwischenverbindungen, Polymere. 5. Auflage. Band 5. Wiley-VCH Verlag GmbH & Co. KGaA, Weinheim 2005, ISBN 978-3-527-30770-8.
- ↑ a b c d e f g h i j k l m n o p q Detlef Hoell, Thomas Mensing, Rafael Roggenbuck, Michael Sakuth, Egbert Sperlich, Thomas Urban, Wilhelm Neier, Guenther Strehlke: 2-Butanone. In: Ullmann’s Encyclopedia of Industrial Chemistry. Wiley-VCH, Weinheim 2012; doi:10.1002/14356007.a04_475.pub2.
- ↑ J. K. Nickerson, K. A. Kobe, John J. McKetta: The Thermodynamic Properties of the Methyl Keton Series. In: J. Phys. Chem. 65, 1961, S. 1037–1043; doi:10.1021/j100824a038.
- ↑ Eintrag zu 2-Butanone (Phase change data). In: P. J. Linstrom, W. G. Mallard (Hrsg.): NIST Chemistry WebBook, NIST Standard Reference Database Number 69. National Institute of Standards and Technology, Gaithersburg MD, abgerufen am 17. November 2019.
- ↑ a b c I. M. Smallwood: Handbook of organic solvent properties. Arnold, London 1996, ISBN 0-340-64578-4, S. 175–177.
- ↑ a b R. M. Stephenson: Mutual Solubilities: Water-Ketones, Water-Ethers, and Water-Gasoline-Alcohols. In: J. Chem. Eng. Data. 37, 1992, S. 80–95; doi:10.1021/je00005a024.
- ↑ a b c d e G. C. Sinke, F. L. Oetting: The Chemical Thermodynamic Properties of Methyl Ethyl Ketone. In: J. Phys. Chem. 68, 1964, S. 1354–1358; doi:10.1021/j100788a014.
- ↑ a b c W. B. Kay, C. L. Young: Gas-liquid critical properties. Diethylamine, 2-butanone (methylethyl ketone) system. In: Int. DATA Ser., Sel. Data Mixtures. Ser. A, 1976, No. 1, S. 76.
- ↑ a b V. Majer, V. Svoboda: Enthalpies of Vaporization of Organic Compounds: A Critical Review and Data Compilation. Blackwell Scientific Publications, Oxford 1985, S. 300.
- ↑ a b c d e E. Brandes, W. Möller: Sicherheitstechnische Kenngrößen. Band 1: Brennbare Flüssigkeiten und Gase. Wirtschaftsverlag NW – Verlag für neue Wissenschaft, Bremerhaven 2003.
- ↑ BG RCI-Merkblatt T 033 Vermeidung von Zündgefahren infolge elektrostatischer Aufladungen. Jedermann-Verlag, 2009, ISBN 978-3-86825-103-6.
- ↑ a b c D. Pawel, E. Brandes: Abschlussbericht zum Forschungsvorhaben Abhängigkeit sicherheitstechnischer Kenngrößen vom Druck unterhalb des atmosphärischen Druckes. ( vom 2. Dezember 2013 im Internet Archive), Physikalisch-Technische Bundesanstalt (PTB), Braunschweig 1998.
- ↑ BAuA Bundesanstalt für Arbeitsschutz und Arbeitsmedizin: TRGS 727: Vermeidung von Zündgefahren infolge elektrostatischer Aufladungen. BAuA Bundesanstalt für Arbeitsschutz und Arbeitsmedizin, 29. Juli 2016, abgerufen am 6. Juli 2018.
- ↑ Community Rolling Action Plan (CoRAP) der Europäischen Chemikalienagentur (ECHA): Butanone, abgerufen am 6. März 2022.


