Cattell-Horn-Carroll-Modell
Das Cattell-Horn-Carroll Modell, kurz CHC-Modell, ist das Ergebnis einer aufeinanderbauenden Entwicklung von Intelligenztheorien. Das Modell wurde 1997 von Kevin McGrew entwickelt und basiert auf Theorien nach Raymond B. Cattell (Gf-Gc-Modell, ab 1940)[1], John L. Horn (Erweitertes-G...-Modell, spätestens 1991)[2] und John B. Carroll (Drei-Schichten-Modell, 1993).[3] Den Theorien ist gemeinsam, dass sie Intelligenz hierarchisch differenziert erfassen wollen, indem ausgehend von einem generellen Faktor G nach Unterfaktoren unterschieden wird. Das CHC-Modell übernimmt Carrolls drei Abstufungen und ist offen für eine Erweiterung der Unterfaktoren auf zweiter sowie der Fähigkeiten auf dritter Ebene.
Entwicklung
Der Entwicklung zugrunde liegt die statistische Faktorenanalyse von Charles Spearman, der bei der Messung verschiedener Intelligenztests herausfand, dass diese miteinander positiv korreliert sind. Die Korrelationen waren nicht hoch, ließen jedoch den Rückschluss zu, dass es einen allgemeinen Faktor der Intelligenz gibt. Diesen „generellen“ g-Faktor formulierte er erstmals 1904. Statistisch konnte er auch bereichsabhängige Faktoren herausarbeiten, die nicht in allen aber einigen ähnlichen Tests vorhanden sind, die er als „spezifische“ s-Faktoren bezeichnete – insbesondere korrelierte Leistungen bei mathematischen, verbalen und räumlichen Tests. Man kann diese s-Faktoren dem allgemeinen g-Faktor als untergeordnet betrachten.
Raymond Cattell zerlegte die Testleistungen anders, in dem er erkannte, dass die spezifischen Faktoren sich auf das Vorwissen einer Person, etwa bei Vokabelumfang und Analogien, zurückführen lassen. Diese Leistungen kristallisieren sich über den Lebensweg einer Person heraus. Entsprechend zerlegte er den g-Faktor in eine fluide und kristalline Intelligenz, kurz als Gf-Gc-Modell bezeichnet. Dieses formulierte er 1941.[4] Ob sich die weitgehend angeborene fluide Intelligenz durch Training dauerhaft steigern lässt, war mehrfach Gegenstand von Untersuchungen. Jüngere Ergebnisse zeigen, dass sich Gf und Gc in verschiedenen Gehirnbereichen verorten lassen, nämlich dem Langzeitgedächtnis und dessen Visualisierung bei Gc, und dem Kurzzeitgedächtnis und der sensorischen Aufmerksamkeit bei Gf. Beide haben eine zugrundeliegende Kapazität und deren effektive Nutzbarkeit wird durch Training beeinflusst.
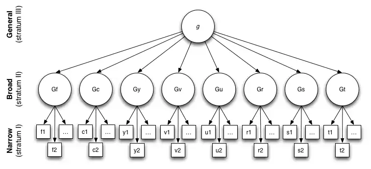
Cattells Theorie war die Grundlage für die Faktorenanalyse seines Schülers John Horn, der in seiner 1966 vorgestellten Untersuchung das Gf-Gc-Modell erweiterte und nun zehn Faktoren mit breiter Wirkung erkannte. Im weiteren Verlauf wurden diese als neun benannte Faktoren formuliert: Gf, Gc, Gy, Gv, Gu, Gr, Gs und Gt. Das resultierende Catell-Horn Modell wurde jedoch weiterhin kurz Gf-Gc-Modell genannt. Über die folgenden Jahrzehnte wurde dieses Modell durch Testreihen weiter untermauert.
Gestützt auf die Datenlage verfeinerte John Bissell Carroll dieses Zwei-Schichten-Modell auf ein Drei-Schichten-Modell, bei der die neun Faktoren auf 70 eingeschränkt wirkende Faktoren zerlegt wurden, die er erstmals 1993 vorstellte (Three-Stratum-Theory). Das entstandene CHC-Modell wurde in den folgenden Jahren von verschiedenen Forschern erweitert und reformuliert, darunter McGrew (1997), McGrew und Flanagan (1998), sowie Schneider und McGrew (2012).

Faktoren
Carrolls ursprüngliche zehn Faktoren:
- Gc (Comprehension-Knowlegde): das Verständnis von vorhandenem Wissen und das damit erlernte Wissen
- Gf (Fluid Reasoning): die Fähigkeit zum Schlussfolgern, insbesondere induktives und deduktives Denken zur Herausarbeitung von neuartigen Konzepten
- Gq (Quantitative knowledge): die Fähigkeit zum Umgang mit Zahlen und der Formulierung und Nutzen von Skalen und deren Verknüpfung
- Grw (Reading & Writing Ability): die Fähigkeit zum Lesen und Schreiben
- Gsm (Short-Term Memory): die Fähigkeit viele Informationen im Kurzzeitgedächtnis vorzuhalten und sie binnen weniger Sekunden genau abrufen zu können.
- Glr (Long-Term Storage and Retrieval): die Fähigkeit einige Informationen im Langzeitgedächtnis abzuspeichern und darauf später schnell zugreifen zu können.
- Gv (Visual Processing): die Fähigkeit zur Analyse und Verknüpfung von sichtbaren Stimuli, insbesondere die Mustererkennung und spätere Visualisierung
- Ga (Auditory Processing): die Fähigkeit zur Analyse und Verknüpfung von hörbaren Stimuli, insbesondere der Sprache auch in einer gestörten Umgebung.
- Gs (Processing Speed): die Geschwindigkeit zur Erfassung (Formulierung) von Erkenntnissen, insbesondere unter Druck (typisch einige Minuten)
- Gt (Decision/Reaction Time/Speed): die Geschwindigkeit zur bewussten Reaktion auf Stimuli (typisch einige Sekunden oder Teile einer Sekunde)
Die Faktoren Gy (Memory) Gedächtnisleistungen und Gr (Retrieval) Abrufgeschwindigkeit sind andere Formulierungen, die auf neun Faktoren zusammenfassen. Dabei wurde Gu (Auditory) neu bezeichnet.
McGrew schlägt eine Erweiterung um abgetrennte Faktoren Gkn, Gp, Gps und ergänzende sensorische Faktoren Gh, Gk, Go vor.
- Gkn (Domain-specific knowledge): fachspezisch vertieftes Wissen
- Gp (Psychomotor ability): die Schrittfolge der Kognition
- Gps (Psychomotor speed): die Geschwindigkeit der mentalen Chronometrie
- Gh (tactile Processing): Analyse von Berührungen (insbesondere der Finger)
- Gk (kinesthetic Processing): Analyse von Bewegungen und Anspannungen (insbesondere des Körpers)
- Go (olfactory Processing): Analyse von Gerüchen
Diese Faktoren stehen vor allem für Fähigkeiten jenseits der Schulbildung.
Siehe auch
- Lerntypentest – Effektivität des Wissenserwerbs
- Intelligenztheorien – Mehrdimensionale statt Hierarchischer Modelle
Einzelnachweise
- ↑ Richard E. Brown: Hebb and Cattell: The Genesis of the Theory of Fluid and Crystallized Intelligence. In: Frontiers in Human Neuroscience. Band 10, 15. Dezember 2016, ISSN 1662-5161, S. 606, doi:10.3389/fnhum.2016.00606, PMID 28018191, PMC 5156710 (freier Volltext).
- ↑ Kevin S. McGrew: B. 1st Generation Gf-Gc Assessment. In: Cattell-Horn-Carroll CHC (Gf-Gc) Theory: Past, Present & Future. Abgerufen am 18. September 2024.
- ↑ Kevin S. McGrew: 1. Introduction. In: Cattell-Horn-Carroll CHC (Gf-Gc) Theory: Past, Present & Future. Abgerufen am 18. September 2024.
- ↑ Cattell, R. B. (1943). The measurement of adult intelligence. Psychological Bulletin, 40(3), 153–193. doi:10.1037/h0059973