Cefamandol
| Strukturformel | ||||||||||||||||||||||
|---|---|---|---|---|---|---|---|---|---|---|---|---|---|---|---|---|---|---|---|---|---|---|
| ||||||||||||||||||||||
| Allgemeines | ||||||||||||||||||||||
| Freiname | Cefamandol | |||||||||||||||||||||
| Andere Namen |
| |||||||||||||||||||||
| Summenformel | C18H18N6O5S2 | |||||||||||||||||||||
| Externe Identifikatoren/Datenbanken | ||||||||||||||||||||||
| ||||||||||||||||||||||
| Arzneistoffangaben | ||||||||||||||||||||||
| ATC-Code |
J01DA07 | |||||||||||||||||||||
| Wirkstoffklasse | ||||||||||||||||||||||
| Wirkmechanismus | ||||||||||||||||||||||
| Eigenschaften | ||||||||||||||||||||||
| Molare Masse | 462,50 g·mol−1 | |||||||||||||||||||||
| Aggregatzustand |
fest[1] | |||||||||||||||||||||
| Sicherheitshinweise | ||||||||||||||||||||||
| ||||||||||||||||||||||
| Wenn nicht anders vermerkt, gelten die angegebenen Daten bei Standardbedingungen (0 °C, 1000 hPa). | ||||||||||||||||||||||
Cefamandol ist ein Arzneistoff aus der Gruppe der Cephalosporine. Es wurde erstmals 1972 von Lilly patentiert. Aus Gründen der Stabilität wird es als Natriumsalz des Ameisensäureesters eingesetzt, dem Cefamandolnafat.[2][3] Cefamandol wirkt sowohl gegen grampositive als auch gegen gramnegative Keime, weswegen es beispielsweise zur Behandlung einer chronischen bakteriellen Infektion der Atemwege benutzt wird.[4]
Eigenschaften
Das Cefamandol entstammt der zweiten Generation des Cephalosporine. Gegenüber Gram-negativen Bakterien wirkt es effizienter als die Cephalosporine der ersten Generation.[4] Jedoch kann Cefamandol auch aufgrund seines hohen Molekulargwichts die Blut-Liquor-Schranke nur schlecht oder gar nicht passieren, sodass nur schwer wirksame Konzentrationen eingestellt werden können.[5]
Anwendung
Cefamandol kann bei bakteriellen Infektionen der Haut, der Weichteilgewebe und der Gallenwege eingesetzt werden. Zudem eignet es sich zur Behandlung einer Sepsis. Leidet man unter einer Blutgerinnungsstörung, so ist eine gemeinsame Einnahme mit Vitamin K empfehlenswert.[4] Da das Medikament über die Niere ausgeschieden wird, sind je nach Grad der Nierenfunktion die Serumspiegel unterschiedlich hoch.[6] Bei Patienten mit Nierenfunktionsstörung ist die Dosis anzupassen.[7]
Cefamandol gehört zu den sogenannten Übergangscephalosporinen, die sich durch eine erhöhte β-Lactamase-Stabilität auszeichnen und parenteral gegeben werden.[8]
Herstellung
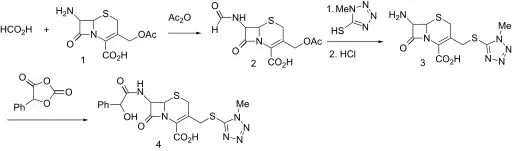
Cefamandol wird in einer komplexen Synthese unter anderem aus Ameisensäure, Natriumsalzen und 7-Aminocephalosporansäure hergestellt.[9][10]
1 = 7-Aminocephalosporansäure; 2 = 7-Formamidocephalosporansäure; 3 = 7-Amino-3-(1-methyl-1,2,3,4-tetrazol-5-yl)-thiomethyl-3-cefem-4-carbonsäure; 4 = Cefamandol
Fertigarzneimittel
Mandokef (A)
Einzelnachweise
- ↑ a b c Datenblatt Cefamandol nafate bei Sigma-Aldrich, abgerufen am 6. April 2020 (PDF).
- ↑ Europäisches Arzneibuch, Deutscher Apotheker Verlag Stuttgart, 6. Ausgabe, 2008, ISBN 978-3-7692-3962-1, S. 2000–2002.
- ↑ The Merck Index: An Encyclopedia of Chemicals, Drugs, and Biologicals, 14. Auflage (Merck & Co., Inc.), Whitehouse Station, NJ, USA, 2006, ISBN 978-0-911910-00-1, S. 318.
- ↑ a b c Eintrag zu Cefamandol. In: Römpp Online. Georg Thieme Verlag, abgerufen am 7. April 2020.
- ↑ B. Oellers, O. Müller, K. Fabricius, J. Ungemach: Untersuchung zur Liquorgängigkeit von Cefamandol. In: Infection, 1978, Vol. 6, Nr. 6, S. 294–296, doi:10.1007/BF01641990.
- ↑ D. Höffler, D. Moecke, M. Sassmann: Cefamandol: pharmacokinetics with normal and impaired renal function. In: Deutsche medizinische Wochenschrift, 1978, Vol. 103, Nr. 34, S. 1334–1338, doi:10.1055/s-0028-1129258.
- ↑ Fachinformation Mandokef 2 g – Trockensubstanz zur Infusionsbereitung. Astro-Pharma GmbH, Wien. Stand: Juli 2018.
- ↑ E. Mutschler: Arzneimittelwirkungen, 7. Auflage, WVG Stuttgart, 1996. S. 669 f.
- ↑ Axel Kleemann, Jürgen Engel, Bernd Kutscher und Dieter Reichert: Pharmaceutical Substances, Thieme-Verlag Stuttgart, 5. Auflage (2009) ISBN 978-3-13-558405-8, S. 166–167; zusätzlich online mit halbjährlichen Ergänzungen und Aktualisierungen.
- ↑ Eugene C. Rickard, Gary G. Cooke: Electrochemical Analysis of the Cephalosporin Cefamandole Nafate. In: Journal of Pharmaceutical Sciences. 1977, Vol. 66, Nr. 3, S. 379–384, doi:10.1002/jps.2600660317.
