Citalopram
| Strukturformel | ||||||||||||||||||||||
|---|---|---|---|---|---|---|---|---|---|---|---|---|---|---|---|---|---|---|---|---|---|---|
| ||||||||||||||||||||||
| (R)-Isomer (oben) und (S)-Isomer (unten) 1:1-Gemisch der Stereoisomere | ||||||||||||||||||||||
| Allgemeines | ||||||||||||||||||||||
| Freiname | Citalopram | |||||||||||||||||||||
| Andere Namen |
| |||||||||||||||||||||
| Summenformel |
| |||||||||||||||||||||
| Externe Identifikatoren/Datenbanken | ||||||||||||||||||||||
| ||||||||||||||||||||||
| Arzneistoffangaben | ||||||||||||||||||||||
| ATC-Code |
N06AB04 | |||||||||||||||||||||
| Wirkstoffklasse | ||||||||||||||||||||||
| Wirkmechanismus | ||||||||||||||||||||||
| Eigenschaften | ||||||||||||||||||||||
| Molare Masse | ||||||||||||||||||||||
| Schmelzpunkt | ||||||||||||||||||||||
| Sicherheitshinweise | ||||||||||||||||||||||
| ||||||||||||||||||||||
| Toxikologische Daten | ||||||||||||||||||||||
| Wenn nicht anders vermerkt, gelten die angegebenen Daten bei Standardbedingungen (0 °C, 1000 hPa). | ||||||||||||||||||||||
Citalopram ist ein Arzneistoff aus der Gruppe der selektiven Serotonin-Wiederaufnahmehemmer (SSRI) und wird als Antidepressivum in der Behandlung von Depressionen eingesetzt. Darüber hinaus findet es auch bei anderen psychischen Erkrankungen Anwendung.
Citalopram wurde ursprünglich von dem dänischen Pharma-Unternehmen Lundbeck im Jahr 1989 entwickelt und patentiert. Seit Ablauf des Patents 2003 gibt es zahlreiche Generika. Mit 290 Millionen DDD (definierte Tagesdosis) war Citalopram 2016 das am häufigsten verordnete Psychopharmakon in Deutschland.[2]
Citalopram ist ein racemisches Gemisch der bei der Synthese entstehenden Enantiomere; das Eutomer ist Escitalopram, welches ebenfalls als SSRI verwendet wird.
Indikation
Ursprünglich entwickelt zur Behandlung von Epilepsie, wird es oft wegen der stimmungsausgleichenden Wirkung zur Behandlung von depressiven Erkrankungen sowie mit emotionaler Instabilität verbundenen Erkrankungen (z. B. Borderline-Persönlichkeitsstörung oder bipolare Störung) eingesetzt. Jedoch kann es bei bipolaren Störungen eine Manie auslösen. Es kann außerdem zur Behandlung von generalisierten Angstzuständen eingesetzt werden, muss dabei jedoch ungefähr doppelt so hoch dosiert werden wie bei Depressionen üblich.[3] Weiterhin kann es zur Behandlung von Panikattacken und Posttraumatischer Belastungsstörung (PTBS) benutzt werden.
Bei Depressionen tritt die stimmungsaufhellende Wirkung nach etwa zwei Wochen ein, jedoch entfaltet sich die volle Wirksamkeit wahrscheinlich erst nach zwei bis vier Wochen andauernder Behandlung.
Die Wirkung der SSRI auf das depressive Syndrom ist abhängig von der Schwere der Erkrankung. So ist bei leichtgradigen Depressionen häufig keine statistisch nachweisbare Überlegenheit gegenüber der Gabe von Scheinmedikamenten (Placebo) festzustellen. Bei schwerer ausgeprägten Depressionen hingegen sprechen etwa 50–75 Prozent der Patienten auf ein SSRI an, während etwa 25–33 Prozent der Patienten auf Placebo ansprechen.[4]
Pharmakodynamik
Die Haupt- und Nebenwirkungen des selektiven Serotonin-Wiederaufnahmehemmers (SSRI) Citalopram können aus der nachfolgend dargestellten Tabelle abgeleitet werden. Aus den Bindungsaffinitäten (Ki-Werten) in der Tabelle kann entnommen werden, dass Citalopram, das hier als Racemat betrachtet wird, nahezu ausschließlich als selektiver Serotonin-Wiederaufnahmehemmer fungiert, was durch die spezifische Hemmung des Serotonintransporters (SERT) geschieht, wobei sowohl der Noradrenalintransporter (NET) als auch der Dopamintransporter (DAT) für Citalopram kein relevantes therapeutisches und molekulares Target darstellen.
| Rezeptor | Ki (nM) |
|---|---|
| SERT | 1.6 |
| NET | 6190 |
| 5-HT2C | 617 |
| α1 | 1211 |
| M1 | 1430 |
| H1 | 283 |
Pharmakokinetik
Citalopram hat eine verhältnismäßig lange Halbwertszeit von etwa 36 Stunden (1,5 Tage). Ca. 60 % der die Substanz werden über Cytochrom P450 2C19, ca. 30 % über CYP3A4 und ca. 10 % über CYP2D6 in der Leber verstoffwechselt. Da sie nicht sedierend wirkt, kann die tägliche Dosis auch morgens eingenommen werden. Die Einnahme ist von der Nahrungsaufnahme unabhängig.[6]
Unerwünschte Wirkungen
Unerwünschte Wirkungen wie Schlafstörungen, Schlaflosigkeit, Übelkeit, Mundtrockenheit, Magen-Darm-Beschwerden, Nervosität, Kopfschmerzen, Schwindelgefühl, Zittern, Herzklopfen, vermehrtes Schwitzen, Akkommodationsstörungen der Augen oder Kraftlosigkeit können sofort eintreten, legen sich aber meist nach wenigen Tagen. Wie bei allen Serotonin-Wiederaufnahmehemmern muss mit sexuellen Störungen (vor allem Orgasmusschwierigkeiten) gerechnet werden. In manchen Fällen können sie auch nach dem Absetzen des SSRI über Monate oder Jahre fortbestehen (SSRI-bedingte sexuelle Dysfunktion). Eine häufige (1–10 %) Nebenwirkung ist Rhinitis.
Als sehr seltene Nebenwirkung kann das sogenannte Serotonin-Syndrom auftreten, welches im Extremfall tödlich enden kann. Wie bei allen SSRIs ist dieses Risiko in Kombination sowohl mit Serotoninvorstufen (Tryptophan und 5-HTP) als auch mit MAO-Hemmern stark erhöht.
Hohes Fieber, Erregung, Verwirrung, Zittern und kurze, ruckartige Zuckungen einzelner Muskeln können Anzeichen dieses Serotonin-Syndroms sein. Falls ein Patient solche Symptome beobachtet, muss er unverzüglich seinen Arzt informieren.
Suizidgedanken und Verschlechterung einer bestehenden Depression sind weitere mögliche Nebenwirkungen, wenn im Rahmen einer depressiven Symptomatik manchmal Gedanken bestehen, sich selbst zu verletzen oder Suizid zu begehen. Solche Gedanken können bei der erstmaligen Anwendung von Antidepressiva verstärkt sein.
Das Auftreten derartiger Gedanken ist wahrscheinlicher, wenn bereits früher einmal Gedanken daran bestanden, sich das Leben zu nehmen oder daran gedacht wurde, sich selbst zu verletzen, insbesondere bei jungen Erwachsenen. Ergebnisse aus klinischen Studien haben ein erhöhtes Risiko für das Auftreten von Suizidverhalten bei jungen Erwachsenen im Alter bis 25 Jahre gezeigt, die unter einer psychiatrischen Erkrankung litten und mit einem Antidepressivum behandelt wurden.
Citalopram wirkt verlängernd auf das QT-Intervall. Im Oktober 2011 gab der Ersthersteller Lundbeck in Zusammenarbeit mit der zuständigen deutschen Behörde (BfArM) neue Anwendungsvorschriften für das Originalpräparat Cipramil bekannt.[7] Sie basieren auf der Auswertung einer Studie, die im EKG eine dosisabhängige QT-Verlängerung unter Citalopram gezeigt hatte. Die Maximaldosis von Citalopram wurde allgemein auf 40 mg täglich, bei älteren Patienten und Patienten mit eingeschränkter Leberfunktion auf 20 mg täglich gesenkt. Diese Beschränkungen sollen in Umsetzung einer revidierten Nutzen-Risiko-Bewertung durch den Ausschuss für Humanarzneimittel auch auf alle generischen Zulassungen von Citalopram ausgeweitet werden, weswegen in Deutschland ein Stufenplanverfahren eingeleitet wurde, um eine Ergänzung der Produktinformationen vorzunehmen.[8] Bei einem Long-QT-Syndrom ist Citalopram kontraindiziert, ebenso die gleichzeitige Anwendung von Citalopram mit anderen Arzneimitteln, die bekannterweise das QT-Intervall verlängern.[7]
Wie andere Antidepressiva kann Citalopram Absetzsymptome induzieren, was bei Beendigung der Therapie zu berücksichtigen ist.
Wechselwirkungen
Citalopram darf nicht gleichzeitig mit Moclobemid (Aurorix, Generika) oder Tranylcypromin (Jatrosom, Generika) eingenommen werden (andere Wirkstoffe gegen Depressionen). Sie zählen zu den sogenannten MAO-Hemmern, die nicht zusammen mit serotonergen Wirkstoffen angewendet werden dürfen, da auch hierdurch das Risiko eines Serotoninsyndroms sehr hoch ist. Während bei schlechter Stimmungslage ein Serotoninmangel vorliegt, ist dann ein lebensbedrohlicher Serotoninüberschuss vorhanden.
Ein Wechsel zwischen Citalopram und MAO-A-Hemmern darf nur unter sorgfältiger ärztlicher Kontrolle erfolgen, und es müssen therapiefreie Tage eingeschaltet werden. Citalopram darf nicht gleichzeitig mit Pimozid eingenommen werden.
Citalopram sollte nicht bei Patienten angewendet werden, die gleichzeitig mit serotonergen Wirkstoffen (z. B. Tramadol, Sumatriptan, Oxitriptan oder Tryptophan (Serotoninvorstufen)) behandelt werden, da dies zu einer Verstärkung serotonerger Effekte (Serotonin-Syndrom) führen kann. Ein gefährliches Serotonin-Syndrom kann ebenfalls bei der gleichzeitigen Gabe des Schmerzmittels Fentanyl auftreten, wie im März 2013 gewarnt wurde.[9]
Die gleichzeitige Gabe von Citalopram und Johanniskrautpräparaten ist zu vermeiden, da es die Häufigkeit von Nebenwirkungen erhöhen kann. Auch mit einer Reihe von anderen Medikamenten bestehen Wechselwirkungen.[6]
Im Vergleich mit anderen Antidepressiva zeigt Citalopram bezüglich des Cytochrom P450-Enzymsystems nur eine leichte Hemmung des Isoenzyms Cytochrom P450 1A2.[10]
Applikationsform
Citalopram kann peroral (Filmtablette, Tropfen) oder intravenös (Infusion) verabreicht werden. Verwendet wird der Wirkstoff hauptsächlich als Citalopramhydrobromid.
Anwendung bei Schwangeren
Es liegen keine hinreichenden Daten zur Anwendung von Citalopram bei schwangeren Frauen vor. Bei Tierversuchen wurden, bei Dosen, die weit über die empfohlene Dosierung beim Menschen hinausgingen, embryotoxische Effekte festgestellt. Es ist nicht sicher, ob sich diese Ergebnisse auf den Menschen übertragen lassen. Citalopram sollte während der Schwangerschaft nur bei eindeutiger Notwendigkeit angewandt werden. Ein plötzliches Absetzen von Citalopram während der Schwangerschaft ist jedoch zu vermeiden. Neugeborene sollten ärztlich überwacht werden, wenn im letzten Drittel der Schwangerschaft Citalopram eingenommen wurde.[6]
Absetzprobleme
Als SSRI hat Citalopram kein Abhängigkeitspotential im konventionellen Sinn (Versuche mit Tieren mit freiem Zugang zu SSRI ergaben keine selbständige Erhöhung der Dosis). Bei abruptem Absetzen von Citalopram kann es zu Symptomen wie Schwindel, Kopfschmerzen, Übelkeit, Empfindungsstörungen, Zittern, Angst, Herzklopfen, vermehrtem Schwitzen, Nervosität und Schlafstörungen kommen. Citalopram wird deswegen ausgeschlichen.
Chemie
Stereochemie
Citalopram ist chiral, es besitzt ein Stereozentrum. Folglich gibt es zwei Stereoisomere, die (S)-Form und die (R)-Form. Als Arzneistoff werden sowohl das Racemat [1:1-Gemisch aus der (S)-Form und (R)-Form] als auch das Eutomer Escitalopram [(S)-Form] eingesetzt. Die pharmakologischen Effekte der beiden Enantiomeren wurden untersucht,[11] wobei teilweise ein früheres Ansprechen auf Escitalopram beobachtet wurde gegenüber Citalopram.[12][13]
Synthese
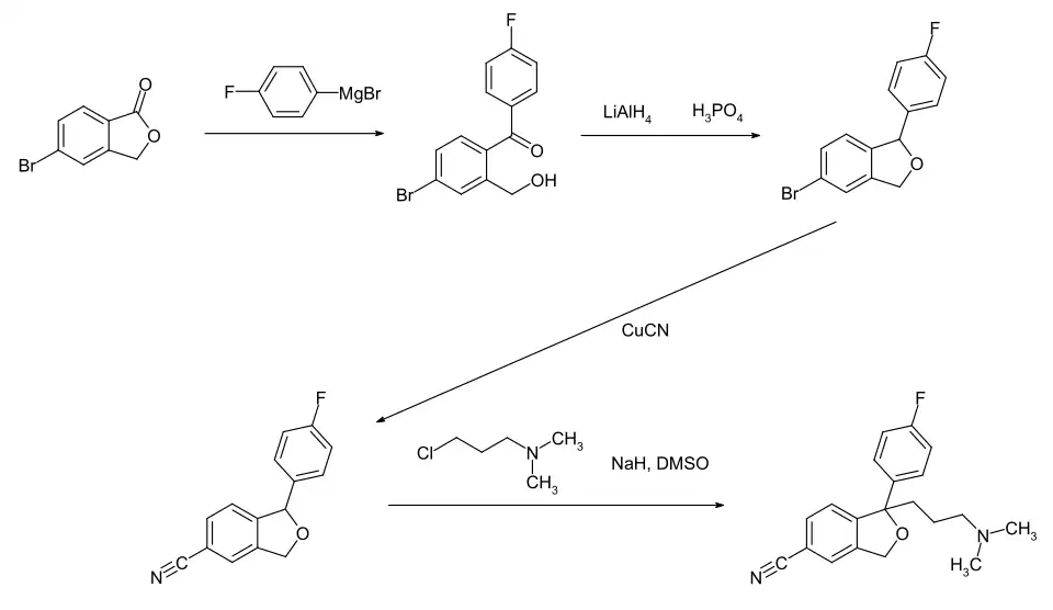
Citalopram kann in einer vierstufigen Synthese hergestellt werden.[14] Im ersten Schritt wird 5-Bromphthalid mit 4-Fluorphenylmagnesiumbromid zu einer Benzophenonzwischenstufe umgesetzt. Nach einer Reduktion mit Lithiumaluminiumhydrid und anschließenden Ringschluss wird eine Benzofuranzwischenstufe erhalten. Der dritte Schritt enthält die nucleophile Substitution der Brom- gegen eine Cyanofunktion mittels Kupfer(I)-cyanid. Die Zielverbindung ergibt sich dann durch die Umsetzung mit 3-Dimethylaminopropylchlorid in Gegenwart von Natriumhydrid und Dimethylsulfoxid.
Umweltrelevanz
Citalopram wird in fast allen Oberflächengewässern nachgewiesen. Die ökotoxikologischen Eigenschaften sind bislang nicht abschließend geklärt. Es wird aber als potenziell gewässerrelevanter Spurenstoff angesehen.[15] Untersuchungen der Universität Heidelberg über die Wirkung der beiden Antidepressiva Fluoxetin und Citalopram auf Zebrabärblinge haben gezeigt, dass Jungfische ihr natürliches Flucht- und Schutzverhalten verlieren und somit leichter zur Beute von Räubern werden.[16] Citalopram ist eine der Leitchemikalien der Schweizer Kontrollliste für die Einschätzung der Klärleistung in der 4. Reinigungsstufe.[17]
Handelsnamen
Cipralex, Cipramil (D)[18], Seropram (A, CH), zahlreiche Generika (D, A, CH)[19][20]
Weitere Handelsnamen sind Cipram (weltweit) und Celexa (USA, Kanada).
Weblinks
- Kritische Bewertung
- Citalopram. Drugs.com
- Celexa. RxList – The Internet Drug Index.
- Citalopram ODT. RxList – The Internet Drug Index.
Einzelnachweise
- ↑ a b c d Datenblatt Citalopram hydrobromide bei Sigma-Aldrich, abgerufen am 10. September 2024 (PDF).
- ↑ Martin J. Lohse, Bruno Müller-Oerlinghausen: Psychopharmaka. In: U. Schwabe, D. Paffrath, W.-D. Ludwig, J. Klauber (Hrsg.): Arzneiverordnungs-Report 2017. Springer-Verlag, Berlin 2017, ISBN 978-3-662-54629-1, S. 681–708.
- ↑ Schweizer Gesellschaft für Zwangsstörungen: Medikamentöse Behandlung von Zwangsstörungen ( vom 31. März 2008 im Internet Archive).
- ↑ H.-J. Möller, G. Laux, H.-P. Kapfhammer: Psychiatrie und Psychotherapie. 3. Auflage. Springer, Heidelberg 2008. 2 Bände. Band 2, S. 426
- ↑ JM Owens, DL Knight, CB Nemeroff: Second generation SSRIs: human monoamine transporter binding profile of escitalopram and R-fluoxetine. In: Encephale. Band 28, Nr. 4, 2002, S. 350–335, PMID 12232544 (englisch).
- ↑ a b c Fachinformation Cipramil. Rote Liste Service GmbH, September 2023, abgerufen am 9. Juli 2024.
- ↑ a b Rote-Hand-Brief von Lundbeck am 31. Oktober 2011. (PDF; 133 kB) Abgerufen am 2. November 2011.
- ↑ Citalopram: Dosisabhängige QT-Intervall-Verlängerung: Ergänzungen in den Produktinformationen, Negatives Nutzen-Risiko-Verhältnis der 60 mg-Stärke. Bundesinstitut für Arzneimittel und Medizinprodukte, abgerufen am 14. Dezember 2013.
- ↑ Rote-Hand-Briefe zu Fentanyl®-Janssen und Durogesic SMAT (12, 25, 50, 75, 100 µg/h), transdermales Pflaster (Wirkstoff: Fentanyl): Neuer Warnhinweis. Bundesinstitut für Arzneimittel und Medizinprodukte, 11. März 2013.
- ↑ Torsten Kratz, Albert Diefenbacher Psychopharmakotherapie im Alter. Vermeidung von Arzneimittelinteraktionen und Polypharmazie. In: Deutsches Ärzteblatt. Band 116, Heft 29 f. (22. Juli) 2019, S. 508–517, S. 509.
- ↑ J. Hyttel, K. P. Bøgesø, J. Perregaard, C. Sánchez: The pharmacological effect of citalopram resides in the (S)-(+)-enantiomer. In: Journal of Neural Transmission, 1992, 88, S. 157–160.
- ↑ J. M. Gorman et al.: Efficacy comparison of escitalopram and citalopram in the treatment of major depressive disorder, pooled analysis of placebo-controlled trails. In: CNS Spectrums, 7, Suppl. 1, 2002, S. 40–44.
- ↑ S. A. Montgomery: Escitalopram (S-enantiomer of citalopram): clinical efficacy and onset of action predicted from a rat model. In: Pharmacol. Toxicol., 2001, 88, S. 282–286.
- ↑ A. Kleemann, J. Engel, B. Kutscher, D. Reichert: Pharmaceutical Substances – Synthesis, Patents, Applications. 4. Auflage. Thieme-Verlag, Stuttgart 2001, ISBN 1-58890-031-2.
- ↑ Landesamt für Natur, Umwelt und Verbraucherschutz Nordrhein-Westfalen - Anwendung von Stoffpriorisierungsverfahren für Oberflächengewässer, 2016, abgerufen am 21. Juli 2024
- ↑ Antidepressiva machen Fische zur leichten Beute: Verlust der natürlichen Reaktion auf Stress, vom 19. August 2020, abgerufen am 21. Juli 2024
- ↑ Die Publikationsplattform des Bundesrechts - Verordnung des UVEK zur Überprüfung des Reinigungseffekts von Massnahmen zur Elimination von organischen Spurenstoffen bei Abwasserreinigungsanlagen, Stand 1. Dezember 2016, abgerufen am 21. Juli 2024
- ↑ Rote Liste online, Stand: Juli 2024.
- ↑ AM-Komp. d. Schweiz, Stand: Juni 2010.
- ↑ AGES-PharmMed, Stand: Juni 2010.
