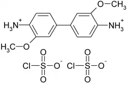
Dianisidinchlorsulfonat
| Strukturformel | ||||||||
|---|---|---|---|---|---|---|---|---|
| ||||||||
| Allgemeines | ||||||||
| Name | Dianisidinchlorsulfonat | |||||||
| Andere Namen |
3,3′-Dimethoxybenzidinchlorsulfonat | |||||||
| Summenformel | C14H18N2O22+ · 2 ClSO3− | |||||||
| Externe Identifikatoren/Datenbanken | ||||||||
| ||||||||
| Eigenschaften | ||||||||
| Molare Masse | 477,34 g·mol−1 | |||||||
| Sicherheitshinweise | ||||||||
| ||||||||
| Wenn nicht anders vermerkt, gelten die angegebenen Daten bei Standardbedingungen (0 °C, 1000 hPa). | ||||||||
o-Dianisidinchlorsulfonat (3,3′-Dimethoxybenzidinchlorsulfonat) ist das Chlorsulfonsäuresalz des o-Dianisidins. Der Stoff wurde im Ersten Weltkrieg erfolglos als chemische Waffe eingesetzt.
Für die Verbindung existiert keine CAS-Nummer, sie wurde jedoch in der europäischen Gefahrstoffverordnung mit der Indexnummer 612-037-00-5 versehen.[1]
Verwendung
Dianisidinchlorsulfonat wurde deutscherseits erstmals in der Ni-10,5 cm-Schrapnellgranate der leichten Feldhaubitzen verwendet. Der Sprengsatz enthielt besagtes Dianisidinchlorsulfonat, ein Vorprodukt aus der Herstellung von Farben. Das feinkristalline Pulver reizt die Schleimhäute von Auge und Nase. Der erste Einsatz dieser Granaten erfolgte am 27. September 1914 an der Westfront bei Neuve-Chapelle. Doch der Erfolg blieb aus. Es stellte sich heraus, dass sich die Substanz beim Verschießen aufgrund der Hitzeentwicklung der Sprengladung teilweise zersetzt hatte. Daher konnte beim Feldeinsatz keine ausreichende Konzentration des Wirkstoffs in der Luft erzielt werden. Es wurde nach wirksameren Alternativen gesucht. Man entsann sich des Xylylbromids und entwickelte daraus die 15-cm-12-T-Gasbrisanzgranate, die dann im Januar 1915 an der Ostfront bei Bolimov eingesetzt wurde. Auch diese Munition bewährte sich nicht, da der Wirkstoff in der Luft kristallisierte und dadurch ebenfalls keine ausreichende Konzentration in der Luft erzielt werden konnte.
Literatur
- Olaf Groehler: Der lautlose Tod. Heyne, 2002, ISBN 978-3-453-86570-9.
- Rolf-Dieter Müller: Chemische Kriegführung – chemische Abrüstung. Teil 1: Dokumente aus deutschen und amerikanischen Archiven. Spitz, Berlin 1985, ISBN 978-3-87061-265-8.
Einzelnachweise
- ↑ a b Eintrag zu Salze von 3,3′-Dimethoxybenzidin in der GESTIS-Stoffdatenbank des IFA, abgerufen am 10. Januar 2017. (JavaScript erforderlich)
- ↑ Nicht explizit in Verordnung (EG) Nr. 1272/2008 (CLP) gelistet, fällt aber mit der angegebenen Kennzeichnung unter den Gruppeneintrag salts of 3,3′-dimethoxybenzidine in der Datenbank ECHA CHEM der Europäischen Chemikalienagentur (ECHA), abgerufen am 1. Februar 2016. Hersteller bzw. Inverkehrbringer können die harmonisierte Einstufung und Kennzeichnung erweitern.


