Difenacoum
| Strukturformel | |||||||||||||||||||
|---|---|---|---|---|---|---|---|---|---|---|---|---|---|---|---|---|---|---|---|
| |||||||||||||||||||
| Vereinfachte Strukturformel – Gemisch mehrerer Stereoisomerer | |||||||||||||||||||
| Allgemeines | |||||||||||||||||||
| Name | Difenacoum | ||||||||||||||||||
| Andere Namen |
| ||||||||||||||||||
| Summenformel | C31H24O3 | ||||||||||||||||||
| Kurzbeschreibung |
weißer Feststoff[1] | ||||||||||||||||||
| Externe Identifikatoren/Datenbanken | |||||||||||||||||||
| |||||||||||||||||||
| Eigenschaften | |||||||||||||||||||
| Molare Masse | 444,53 g·mol−1 | ||||||||||||||||||
| Aggregatzustand |
fest | ||||||||||||||||||
| Dichte |
1,25 g·cm−3[1] | ||||||||||||||||||
| Schmelzpunkt | |||||||||||||||||||
| Löslichkeit | |||||||||||||||||||
| Sicherheitshinweise | |||||||||||||||||||
| |||||||||||||||||||
| Toxikologische Daten | |||||||||||||||||||
| Wenn nicht anders vermerkt, gelten die angegebenen Daten bei Standardbedingungen (0 °C, 1000 hPa). | |||||||||||||||||||
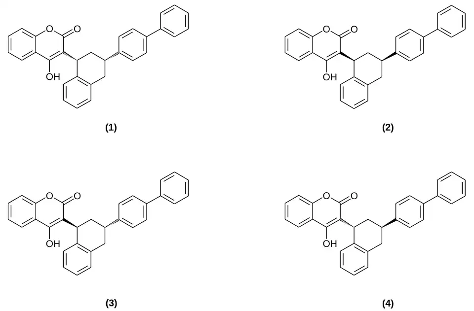
Difenacoum ist ein Gemisch mehrerer isomerer chemischer Verbindungen aus der Gruppe der 4-Hydroxycumarine. Es wird zu den Superwarfarinen gezählt, die durch eine hydrophobe Seitengruppe besonders lange im Körper verweilen.[5]
Gewinnung und Darstellung
Difenacoum kann durch eine Kondensationsreaktion von 4-Hydroxycumarin und 3-(Biphenyl-4-yl)-1,2,3,4-tetrahydro-1-naphthol gewonnen werden.[6] Laborsynthesen der einzelnen Isomere verlaufen unter Einsatz stereoisomerer Edukte und Zwischenprodukte.[7]
Eigenschaften
Difenacoum ist ein brennbarer Feststoff, welcher praktisch unlöslich in Wasser ist. Er zersetzt sich ab einer Temperatur über 215–217 °C.[1] Er liegt als Mischung von mehreren toxikologisch aktiven Isomeren vor, wobei im technischen Produkt das cis-Isomer zu 50–80 % vorliegt.[8]
Stereochemie
Difenacoum ist eine chirale Verbindung, die zwei asymmetrisch substituierte Kohlenstoffatome enthält. Es ergeben sich somit vier Stereoisomere, wobei die (1S,3S)- und (1R,3R)-Isomere sowie die (1S,3R)- und (1R,3S)-Isomere entsprechende Enantiomerenpaare bilden. Die Schmelzpunkte betragen für das (1R,3S)-, (1S,3R)-Isomerenpaar 216 °C bzw. für das (1R,3R)-, (1S,3S)-Isomerenpaar 213 °C.[4][9]

Verwendung
Difenacoum ist ein Antikoagulationsmittel (verhindert die Blutgerinnung, so dass nach der Aufnahme des Wirkstoffs das Tier an inneren Blutungen stirbt) der zweiten Generation und wird als Rodentizid in verschiedenen Formen gegen Ratten und Mäuse verwendet.[1] Aufgrund der identifizierten Risiken des Wirkstoffs (potentiell persistent, bioakkumulierend und toxisch) wurde Difenacoum für nur fünf Jahre in den Anhang der Biozid-Richtlinie aufgenommen. Resistenzen gegen Difenacoum sind in Dänemark, Deutschland und Großbritannien dokumentiert. Sie sind jedoch geringer als gegen die Antikoagulantien Warfarin, Coumatetralyl, Chlorphacinon und Bromadiolon.[10]
Zulassung
Als Biozidprodukt
Gemäß europäischer Gesetzgebung (Richtlinie 98/8/EG über das Inverkehrbringen von Biozid-Produkten)[11] und mit Beschluss vom 29. Juli 2008[12] liegt ein Entscheid vor, den Wirkstoff Difenacoum ab 1. April 2010 in die entsprechende Liste (Anhang I der Richtlinie 98/8/EG) für die Produktart 14 (Rodentizide) aufzunehmen. Die Abgabe von Biozidprodukte, die den Wirkstoff Difenacoum enthalten, ist somit in der EU (die Schweiz hat diese Bestimmung übernommen) weiterhin erlaubt. Diese Bewilligung wurde jedoch an gewisse Auflagen geknüpft:
- Die nominale Konzentration des Wirkstoffs in den Produkten darf 75 mg/kg nicht übersteigen und es dürfen nur gebrauchsfertige Produkte zugelassen werden.
- Die Produkte müssen eine aversive Substanz und gegebenenfalls einen Farbstoff enthalten. Produkte dürfen nicht als Haftgift verwendet werden.
- Zur Risikominderung gegenüber Menschen, Nicht-Zieltieren und Umwelt sind geeignete Maßnahmen umzusetzen. So die Beschränkung auf die Anwendung durch Fachpersonal, die Festlegung einer Packungshöchstgröße und die Verpflichtung zur Verwendung zugriffsgesicherter, stabiler Köderboxen.
- Die Bewilligung wird vorerst befristet bis 31. März 2015, eine Verlängerung dieser Frist ist an eine erneute Risikobeurteilung geknüpft.
Als Pflanzenschutzmittel
Gemäß europäischer Gesetzgebung (Richtlinie 91/414/EWG vom 15. Juli 1991 über das Inverkehrbringen von Pflanzenschutzmitteln)[13] und mit Richtlinie 2009/70/EG vom 25. Juni 2009 der EU-Kommission[14] wurde entschieden, den Wirkstoff Difenacoum in den Anhang I der Richtlinie 91/414/EWG (Positivliste der in Pflanzenschutzmitteln zulässigen Wirkstoffe) aufzunehmen. Die Abgabe von Pflanzenschutzmitteln mit dem Wirkstoff Difenacoum ist somit in der EU weiterhin erlaubt. Diese Bewilligung wurde jedoch an gewisse Auflagen geknüpft:
- Die nominale Konzentration des Wirkstoffs in den Produkten darf 50 mg/kg nicht übersteigen.
- Die Anwendungen ist nur in Form vorbereiteter Köder zugelassen, die sich in geschützten und gesicherten Köderkisten befinden.
- Die Zulassung wird auf professionelle Anwender beschränkt.
- Die Bewilligung wird vorerst befristet bis 30. Dezember 2019.
In Deutschland, Österreich und der Schweiz und ist kein Pflanzenschutzmittel zugelassen, das diesen Wirkstoff enthält.[15]
Sicherheitshinweise
Difenacoum ist sehr giftig bei Aufnahme, bei Kontakt mit der Haut oder Inhalation.[8]
Einzelnachweise
- ↑ a b c d e f g h i Eintrag zu Difenacoum in der GESTIS-Stoffdatenbank des IFA, abgerufen am 2. Januar 2024. (JavaScript erforderlich)
- ↑ Health and Safety Guide (HSG) für Difenacoum, abgerufen am 1. Dezember 2014.
- ↑ Eintrag zu 3-(3-biphenyl-4-yl-1,2,3,4-tetrahydro-1-naphthyl)-4-hydroxycoumarin in der Datenbank ECHA CHEM der Europäischen Chemikalienagentur (ECHA), abgerufen am 1. Februar 2016. Hersteller bzw. Inverkehrbringer können die harmonisierte Einstufung und Kennzeichnung erweitern.
- ↑ a b c d e van Heerden, P.S.; Bezuidenhoudt, B.C.B.; Ferreira, D.: Efficient Asymmetric Synthesis of the Four Diastereomers of Diphenacoum and Brodifacoum in Tetrahedron 53 (1997) 6045–6056, doi:10.1016/S0040-4020(97)00254-8.
- ↑ Daniel G Nosal, Douglas L Feinstein, Luying Chen, Richard B van Breemen: Separation and Quantification of Superwarfarin Rodenticide Diastereomers—Bromadiolone, Difenacoum, Flocoumafen, Brodifacoum, and Difethialone—in Human Plasma. In: Journal of AOAC INTERNATIONAL. Band 103, Nr. 3, 1. Juni 2020, S. 770–778, doi:10.1093/jaoacint/qsaa007, PMID 33241367, PMC 7372953 (freier Volltext) – (oup.com [abgerufen am 5. November 2021]).
- ↑ Joseph Sherma: Analytical Methods for Pesticides and Plant Growth Regulations, S. 152; ISBN 978-0-12-784316-2.
- ↑ Jung, J.-C.; Park, O.-S.: Synthesic Approaches and Biological Activities of 4-Hydroxycoumarin Derivatives in Molecules 14 (2009) 4790-4803, doi:10.3390/molecules14114790.
- ↑ a b Directive 98/8/EC of the European Parliament: Assessment Report – Difenacoum. ( vom 10. April 2022 im Internet Archive) 17. September 2009, abgerufen am 1. Juli 2017 (englisch, PDF; 913 kB).
- ↑ van Heerden, P.S.; Bezuidenhoudt, B.C.B.; Ferreira, D.: Improved synthesis for the rodenticides, diphenacoum and brodifacoum in J. Chem. Soc., Perkin Trans. 1, 1997, 1141–1146, doi:10.1039/A607269K.
- ↑ Bundesanstalt für Arbeitsschutz und Arbeitsmedizin: Difenacoum ( vom 23. Juni 2013 im Internet Archive).
- ↑ Richtlinie 98/8/EG vom 16. Februar 1998 über das Inverkehrbringen von Biozid-Produkten In: Amtsblatt der Europäischen Gemeinschaften. L 123, S. 1 vom 24. April 1998.
- ↑ Richtlinie 2008/81/EG der Kommission vom 29. Juli 2008 zur Änderung der Richtlinie 98/8/EG des Europäischen Parlaments und des Rates zwecks Aufnahme des Wirkstoffs Difenacoum in Anhang I. In: Amtsblatt der Europäischen Gemeinschaften. L 201, S. 46 vom 30. Juli 2008.
- ↑ Richtlinie 91/414/EWG vom 15. Juli 1991 über das Inverkehrbringen von Pflanzenschutzmitteln. In: Amtsblatt der Europäischen Gemeinschaften. L 230 vom 19. August 1991.
- ↑ Richtlinie 2009/70/EG der Kommission vom 25. Juni 2009 zur Änderung der Richtlinie 91/414/EWG des Rates zwecks Aufnahme der Wirkstoffe Difenacoum, Didecyldimethylammoniumchlorid und Schwefel. In: Amtsblatt der Europäischen Gemeinschaften. L 165/59 vom 26. Juni 2009.
- ↑ Generaldirektion Gesundheit und Lebensmittelsicherheit der Europäischen Kommission: Eintrag zu Difenacoum in der EU-Pestiziddatenbank; Eintrag in den nationalen Pflanzenschutzmittelverzeichnissen der Schweiz, Österreichs und Deutschlands, abgerufen am 12. März 2016.



