Dominanzrelation (Kontrollflussgraph)


Die Dominanzrelation ist eine Relation, die auf den Knoten eines Kontrollflussgraphen definiert ist.
Sei ein Kontrollflussgraph und seien zwei seiner Knoten.
Wenn nun jeder Pfad in , der in beginnt und in endet, den Knoten beinhaltet, so sagt man, dass der Knoten den Knoten dominiert. Man schreibt auch .
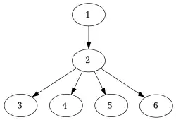
Im oben abgebildeten Kontrollflussgraph etwa dominiert Knoten 2 den Knoten 5, aber Knoten 3 dominiert Knoten 5 nicht, da es einen Pfad gibt, der den Knoten 3 nicht beinhaltet.
Klarerweise dominiert jeder Knoten sich selbst. Daher ist die Dominanzrelation reflexiv.
Da außerdem für aus und folgt, dass den Knoten dominiert, ist die Dominanzrelation auch transitiv.
Wenn der Knoten den Knoten dominiert und , dann spricht man auch davon, dass den Knoten strikt dominiert. Man schreibt dann auch . Die strikte Dominanzrelation kann als Baum dargestellt werden. Dieser Baum wird auch Dominator-Baum (engl. dominator tree) genannt. Der obige Beispielgraph besitzt folgenden Dominator-Baum: