Elbs-Reaktion
Die Elbs-Reaktion ist eine Namensreaktion der Organischen Chemie und benannt nach dem deutschen Chemiker Karl Elbs. Die Reaktion wurde erstmals 1884 publiziert, es handelt sich um die Pyrolyse eines in ortho-Position methylierten aromatischen Verbindung hin zu einem annelierten aromatischen System, z. B. Anthracen:[1][2]

Mechanismus
Drei Mechanismen sind prinzipiell für die Elbs-Reaktion möglich, wobei in diesem Abschnitt zwei sinnvolle Mechanismen beschrieben werden.[3] Der erste Mechanismus wird von Fieser aufgestellt und beginnt mit einer Cyclisierung des methylierteren, aromatischen Acyls 1 unter Hitzeeinwirkung. Danach folgt ein [1,3]-H-shift, wodurch die Verbindung 3 entsteht. Nach einer Dehydratisierung entsteht der gewünschte Polyaromat 4.

Den zweiten Mechanismus beschreibt Cook. Nach einer Umlagerung unter Hitzeeinwirkung und einer Cyclisierung entsteht die Verbindung 3. Der gewünschte Polyaromat 5 entsteht dann durch einen [1,3]-H-shift und einer anschließenden Dehydratisierung.

Die zur Synthese benötigten Acyle sind über eine Friedel-Crafts-Acylierung mit Aluminiumchlorid zugänglich.[2][4]
Varianten
Wie in den vorherigen Abschnitten gezeigt, kann Anthracen durch Dehydratisierung zugänglich gemacht werden.[1] Aber auch größere aromatische Systeme, wie Pentacen, können durch eine Elbs-Reaktion hergestellt werden. Die Reaktion läuft hier jedoch nicht in einem Schritt, sondern führt zu einem Dihydropentacen, das in einem weiteren Schritt mit Kupfer als Katalysator dehydriert werden muss.[4]

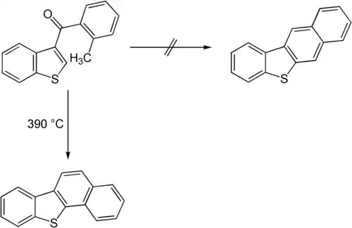
Auch mehrkernige heterocyclische Verbindungen können durch die Elbs-Reaktion synthetisiert werden. So wurde 1956 die Elbs-Reaktion eines Derivats des Thiophens publiziert. Hierbei wurde jedoch nicht das erwartete lineare System erhalten. Der Grund hierfür liegt in einem veränderten Reaktionsmechanismus, der nach Bildung eines Zwischenprodukts über mehrere radikalische Stufen verläuft.[5]

Einzelnachweise
- ↑ a b Karl Elbs, Einar Larsen: Ueber Paraxylylphenylketon. In: Berichte der deutschen chemischen Gesellschaft. 17, Nr. 2, 1884, S. 2847–2849, doi:10.1002/cber.188401702247.
- ↑ a b Karl Elbs: Beiträge zur Kenntniss aromatischer Ketone. Erste Mittheilung. In: Journal für Praktische Chemie. 33, Nr. 1, 1886, S. 180–188, doi:10.1002/prac.18860330119.
- ↑ Z. Wang (Hrsg.): Comprehensive Organic Name Reactions and Reagents. Volume 1, Wiley, 2009, ISBN 978-0-471-70450-8 (3-Volume Set), S. 983.
- ↑ a b Eberhard Breitmaier, Günther Jung: Organische Chemie. 5. Auflage, Thieme, Stuttgart 2005, ISBN 978-3-13-541505-5, S. 183.
- ↑ G. M. Badger, B. J. Christie: Polynuclear heterocyclic systems. Part X. The elbs reaction with heterocyclic ketones. In: Journal of the Chemical Society (Resumed). 1956, S. 3435–3437, doi:10.1039/JR9560003435.