Kepler-Gleichung

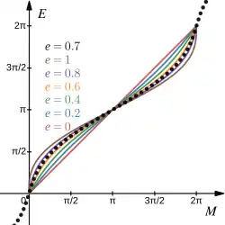
Darstellung des Zusammenhangs zwischen der exzentrischen und der mittleren Anonmalie als Maß für die Zeit gemäß der Kepler-Gleichung für verschiedene Werte der numerischen Exzentrizität .

Die Kepler-Gleichung beschreibt in der Astronomie den Zusammenhang zwischen der exzentrischen Anomalie und der mittleren Anomalie, die in der Gleichung die Zeit repräsentiert. Die exzentrische Anomalie ist eine Zwischengröße zur Berechnung der wahren Anomalie, der Winkelkoordinate der Position eines Himmelskörpers bezogen auf den Zentralkörper.

Johannes Kepler hat die Gleichung aus seinen beobachtungsbasierten keplerschen Gesetzen hergeleitet. Sie lautet:

.

Zwischen exzentrischer Anomalie  und wahrer Anomalie  besteht folgender Zusammenhang: [1]

Geometrische Darstellung der Variablen aus der Kepler-Gleichung und ihrer Zusammenhänge.

In diesen Gleichungen bedeuten, wie in der nebenstehenden Grafik dargestellt:

  •  die Position des Himmelskörpers auf der elliptischen Umlaufbahn mit dem Perihel in  um den Zentralkörper .
  •  die numerische Exzentrizität der elliptischen Bahn.
  •  die wahre Anomalie. Diese gibt den Winkel an, den der Himmelskörper  aus Sicht des Zentralkörpers  relativ zum Perihel  einnimmt.
  •  die exzentrische Anomalie, von Kepler als Exzentrische bezeichnet. Sie bemisst den Winkel zwischen der Periapsislinie und der Radiuslinie des Umkreises, der die Projektion  von  auf den Umkreis parallel zur kleinen Ellipsenachse schneidet.

Außerdem ist
  die mittlere Anomalie, eine Winkelgröße, welche die für die Anwendung normalisierte Zeit repräsentiert und über die Gleichung mit der Zeit  (Passage der Periapsis bei  ) und der Periodendauer  eines Umlaufs verknüpft ist.[2]

Geometrische Begründung der Kepler-Gleichung

Zur Begründung der Kepler-Gleichung berechnet man die vom Fahrstrahl überstrichene Fläche und verwendet das zweite Keplersche Gesetz.

Die Fläche innerhalb des Winkels (wahre Anomalie) und der Ellipse ist die Differenz des Ellipsensektors und des Dreiecks mit den Eckpunkten S, Z und P.

Eine Ellipse mit den Halbachsen und kann man als einen gestauchten Umkreis auffassen (Affinität), bei dem die Strecken parallel zur kleinen Halbachse um den Faktor verkürzt sind. Flächen sind ebenfalls um diesen Faktor verkleinert. Der Kreissektor mit dem Winkel hat die Fläche . Gestaucht um den Faktor ergibt sich der Ellipsensektor. Das Dreieck mit den Eckpunkten S, T und P' hat die Basislänge und die Höhe . Gestaucht um den Faktor ergibt sich das Dreieck mit den Eckpunkten S, Z und P und der Höhe .

Somit ist die Differenzfläche als Funktion von E:

.

Nach dem zweiten keplerschen Gesetz werden in gleichen Zeitabschnitten gleich große Flächen überstrichen. Dies lässt sich auch damit formulieren, dass die Fläche zur Zeit proportional ist und linear zunimmt ().

Die Differenzfläche A, die mit der zur wahren Anomalie gehörenden Teilfläche der Ellipse identisch ist, lautet als Funktion der Zeit t:

.
ist die volle Ellipsenfläche die nach der Umlaufzeit T überstrichen ist.

Gleichsetzen von und liefert die Beziehung zwischen der exzentrischen Anomalie E und der Zeit t:

und nach Kürzen ergibt sich die Kepler-Gleichung

,

wobei man die linke Seite als mittlere Anomalie oder "normierte Zeit"[2] bezeichnet.

Das zweite keplersche Gesetz, das newtonsche Gravitationsgesetz und die Drehimpulserhaltung

Die Keplergleichung beruht auf dem zweiten keplerschen Gesetz, welches von im gleichen Kontext (Zweikörperproblem) angewendeten newtonschen Gravitationsgesetz bestätigt wird:

  • Die zwischen den beiden Körpern wirkende Gravitationskraft ist demnach zum gegenseitigen Abstand mit proportional.

Diese physikalische Aussage deckt sich also mit dem für eine elliptische Bahn (erstes keplersches Gesetz) durch Beobachtungen gefundenen Flächensatz (zweites keplersche Gesetz):

  • Die von einem Fahrstrahl in gleichen Zeitdifferenzen überstrichenen Flächen sind gleich groß, wenn der zur Gravitationskraft proportionale, in einer dieser Zeitdifferenzen zurückgelegte Bahnbogen im umgekehren Verhältnis zum Quadrat des Abstandes steht.

Das zweite keplersche Gesetz war die erste Formulierung des Gesetzes, das wir heute als Drehimpulserhaltung kennen:[3] Wenn keine äußeren Kräfte wirken, bleibt der Drehimpuls in einem physikalischen System unverändert, unabhängig von Änderungen der Wechselwirkung innerhalb. Wird nämlich der Abstand eines Planeten von seinem Zentralkörper und damit sein Trägheitsmoment größer/kleiner, so verkleinert/vergrößert sich entsprechend seine Umlaufgeschwindigkeit .

Lösungs-Methoden der Keplergleichung

Die Kepler-Gleichung ist nicht in geschlossener Form nach der exzentrischen Anomalie auflösbar. Beispiele dafür, wie mit ihr aus der mittleren Anomalie ermittelt werden kann:

  1. ist eine ungerade, mit periodische Funktion in . Als solche lässt sie sich in eine Fourierreihe entwickeln, die für alle und konvergiert, und zwar ist
    mit als Bessel-Funktion erster Gattung -ter Ordnung.[4][5]
  2. Eine Nullstelle der Funktion
    ist eine Lösung der Keplergleichung. Die Nullstelle kann etwa mit dem Newton-Verfahren wie folgt numerisch berechnet werden:
    Für die meisten elliptischen Bahnen ist der Anfangswert geeignet. Für Exzentrizitäten kann genommen werden.
  3. Ein stabileres, aber langsamer konvergierendes Verfahren beruht auf dem banachschen Fixpunktsatz:[6]
  4. Für kleine Exzentrizität kann auch folgendermaßen approximiert werden:[7]
    Der Fehler ist hierbei von der Größenordnung . Bei der Erde und ihrer Exzentrizität liegt der Fehler für begrenzte Zeiträume hinter der 5. Kommastelle.
  5. Eine Auflösung für nach Art der Lagrangeschen Inversionsformel ist die Maclaurin-Reihe in die für linear konvergiert. Ist also , dann konvergiert sie für linear.
    Die Koeffizienten der Zähler-Polynome in sind in der Folge A306557 in OEIS festgehalten.

Rechnen mit der Kepler-Gleichung

Mittlere Anomalie >>> wahre Anomalie

Für einen Himmelskörper auf einer Keplerbahn soll für den Zeitpunkt beziehungsweise für die zugehörige mittlere Anomalie der Ort beziehungsweise die wahre Anomalie ermittelt werden:

Mit Hilfe der Kepler-Gleichung wird aus der mittleren Anomalie zuerst die exzentrische Anomalie ermittelt (siehe oben). Aus Letzterer folgt die wahre Anomalie nach einer der folgenden Beziehungen:

[1]

oder

Hier ist die lineare Exzentrizität der Bahnellipse.
Zum Auflösen nach ist jeweils eine Unterscheidung der Fälle und nötig.

Anmerkung: Der Nenner der zweiten Formel gibt gerade den Abstand des Himmelsobjekts zum Brennpunkt an:

Wahre Anomalie >>> mittlere Anomalie

Für einen Himmelskörper auf einer Keplerbahn mit der wahren Anomalie soll die mittlere Anomalie bzw. der zugehörende Zeitpunkt bestimmt werden. Es handelt sich um die zur obigen umgekehrte Rechenarbeit.

Ausgehend von ergibt sich zuerst die exzentrische Anomalie zu

Der Lageparameter-Index bei gibt denjenigen Wert des Arkustangens zurück, der diesem () am nächsten liegt (siehe Arkustangens mit Lageparameter).

Die Kepler-Gleichung liefert die zugehörige mittlere Anomalie

Aus der linearen Gleichung für folgt schließlich der Zeitpunkt :

Beispiel zu
wahre Anomalie >>> Zeitpunkt

Passagezeiten der vier Erdbahnellipsen-Scheitel:
Die für die Erde gültigen Bahnelemente sind unter mittlere Kepler-Elemente angegeben. Die im Verweisartikel verwendete Zeit ist in Julianischen Jahrhunderten gerechnet. Hier wird in Tagen gemessen, sodass die linearen Koeffizienten der Zeit durch 36525 zu teilen sind, um und zu erhalten. Die sehr langsame Änderung der numerischen Exzentrizität wird allerdings vernachlässigt (). Der Nullpunkt der Zeit – und damit auch von – ist der 1. Januar 2000, 12:00 UT. Die wahre Anomalie bei Perihelpassage der Erde im Jahr 2000 ist gleich 360° (nicht null!), im Jahr 2001 gleich 720° usw.

Passagezeiten der vier Erdbahnellipsen-Scheitel
Perihel 2000 Frühlings-
Nebenscheitel
Aphel Herbst-
Nebenscheitel
Perihel 2001
Wahre Anomalie 360 450 540 630 720
Zeit 2,511 91,883 185,140 278,398 367,770
Zeitabstand 89,372 93,258 93,258 89,372

Der Abstand zwischen den mittleren Perihelpassagen (anomalistisches Jahr) beträgt . Die so berechneten mittleren Perihelzeiten können sich um mehrere Tage vom realen (vor allem mondgestörten) Wert unterscheiden.

Wahre Anomalie >>> Bahnradius

Mit der wahren Anomalie wird die Richtung eines Himmelskörpers auf seiner Keplerbahn für den Zeitpunkt angegeben. Die zugehörende Entfernung – der Bahnradius – ist wie folgt berechenbar:

Entfernung (Bahnradius)
große Halbachse der Ellipse
numerische Exzentrizität
wahre Anomalie

Wahre Anomalie >>> Bahngeschwindigkeit

Die zeitliche Änderung der wahren Anomalie entspricht der Winkelgeschwindigkeit in Bezug auf das Gravizentrum. Die Normalkomponente der Geschwindigkeit folgt also direkt aus

Die Radialgeschwindigkeit ist die Änderung des Bahnradius mit der Zeit:

Für die Bahngeschwindigkeit oder Orbitalgeschwindigkeit folgt dann

Bahngeschwindigkeit
wahre Anomalie
Bahnradius

Einfacher lässt sich die Bahngeschwindigkeit über den Hodograph aus dem Flächensatz ableiten:[8]

spezifischer Drehimpuls als zentrale Kenngröße der Bewegung
Halbparameter als kennzeichnendes Bahnelement
große Halbachse
kleine Halbachse
mit Gravitationskonstante und Masse des Zentralkörpers

Daraus folgen die Minimal- und Maximalgeschwindigkeit im Apozentrum und Perizentrum einer Ellipsenbahn:[8]

numerische Exzentrizität.

Weitere Zusammenhänge

Zwischen der wahren Anomalie der exzentrischen Anomalie und der mittleren Anomalie bestehen noch zahlreiche weitere Zusammenhänge,[9] die in der langen Geschichte der Himmelsmechanik entwickelt wurden. Insbesondere lässt sich die wahre Anomalie – ohne Umweg über die Keplergleichung – direkt aus einer speziellen Differenzialgleichung in errechnen,[10] was für numerische Näherungsverfahren von Interesse ist.

Insbesondere kann auch hier die wahre Anomalie durch die mittlere Anomalie für kleine Exzentrizitäten genähert werden, es ergibt sich die nützliche Näherung

Die Differenz heißt Mittelpunktsgleichung.[10]

Anwendung der Kepler-Gleichung bei der Zeitgleichung

Die Zeitgleichung wird im vorliegenden Artikel dennoch ausführlicher behandelt, weil ihre Berechnung mit der im Hauptartikel nicht in allen Teilen identisch, sondern eine Variante davon ist. Dort wird von den Bahnelementen der Sonne ausgegangen, die ab dem 1. Januar 2000 12:00 UTC auf den Tag der zu berechnenden Zeitgleichung hochzurechnen sind. Hier werden für den 1. Januar für bis zum Jahr 2025 vorausbestimmte sogenannte solare Basiswerte benutzt.[11] Die Hochrechnung bis zu einem Kalendertag im laufenden Jahr ist entsprechend kürzer.
Hier wird direkt mit der Keplergleichung gearbeitet, dort mit der von dieser abgeleiteten Mittelpunktsgleichung, was die Rechnung dort verkürzt.

In die Zeitgleichung geht der Ort der Erde auf ihrer elliptischen Bahn um die Sonne um 12:00 UTC des vorgegebenen Tages im Jahr ein. Diese wird mit Anwendung der Kepler-Gleichung als exzentrische Anomalie ermittelt und in die „wahre Anomalie“ umgerechnet. Nach dem Übergang zum geozentrischen Weltbild wird daraus die Folge der ungleichmäßigen Bahnfahrt (erste Zeitgleichungsursache) auf das von der Sonne abgeleitete Zeitmaß (Wahre Sonnenzeit WOZ) berechnet.

Definitionen der Zeitgleichung

Erste Definition:[A 1]

Dem Wert der wahren Ortszeit (WOZ) bzw. mittleren Ortszeit (MOZ) entspricht der jeweilige Stand der wahren bzw. einer fiktiven mittleren Sonne am Himmel (geozentrische Sichtweise). Da die Tageszeit im Zusammenhang mit der Drehung der Erde um ihre Achse steht, interessiert nur die jeweilige Rektaszension (nicht die Deklination) der Sonne(n). Die die gleichmäßig vergehende Zeit repräsentierende mittlere Sonne läuft auf dem Himmelsäquator um. Die Zeitgleichung ist proportional zur Differenz zwischen den Rektaszensionen der fiktiven mittleren und der realen wahren Sonne.

Zweite Definition:

Der Faktor 4 ergibt sich daraus, dass zwei Himmelskörper mit 1° Rektaszensionsdifferenz den Meridian im zeitlichen Abstand von 4 Minuten passieren. Die Reihenfolge der beiden Subtraktionsterme hat sich umgekehrt, weil die Richtungen für den Stundenwinkel (ihm entsprechen WOZ und MOZ) und die Rektaszension zueinander entgegengesetzt definiert sind.

Vorgehens-Übersicht

Die Keplergleichung wird im Anfangsteil der Berechnung der Zeitgleichung benutzt. Dabei wird im Heliozentrischen Weltbild verblieben. Die vorgegebene Zeit wird mit dargestellt. Mit Hilfe der Keplergleichung wird für errechnet.
Die Anwendung der Kepler-Gleichung endet hier.
Aus wird noch (erste der nebenstehenden Abbildungen, bei Kepler mit bezeichnet) ermittelt, bevor ins geozentrische Weltbild gewechselt und die Herleitung der Zeitgleichung beendet wird.

Fortsetzung der Ermittlung der Zeitgleichung:
In der Zeitgleichung werden die Rektaszensionen und , deren Bezugspunkt der Frühlingspunk ist, gegenseitig verrechnet. Der Bezugswechsel vom Perihel zum Frühlingspunkt wurde noch vor dem Wechsel zum geozentrischen Weltbild (zweite der nebenstehenden Abbildungen) vorgenommen. Dabei entstand aus die ekliptikale Länge die im geozentrischen Weltbild 1:1 übernommen wird.
Anstatt der Anomalie des Perihels wird jetzt die Anomalie des Frühlingspunktes gebraucht.

Anwendung der Kepler-Gleichung

Anomalien der Erde auf ihrer elliptischen Bahn um die Sonne zum Zeitpunkt t:
V – wahre, M – mittlere, E – exzentrische Anomalie
B – Sonne, X – Erde, Y – fiktive Erde, P – Perihel, A – Aphel, K – 1.-Jan.-Punkt
unten links: V und M als Funktionen der Zeit
Übergang von der heliozentrischen elliptischen Erdbahn (links, mit wahrer Erde X und fiktiver Erde Y) zur geozentrischen Sonnenbahn (Ekliptikkreis, rechts, mit wahrer Sonne S und fiktiver Sonne S')
„Herunterholen“ der wahren Sonne auf den Äquator: Ermittlung ihres Rektaszensionswinkels α aus ihrem ekliptikalen Längenwinkel λ
S″: mittere Sonne auf dem Äquator

Mittlere Anomalie für den fiktiven Punkt  :

Die in Gleichung allgemein formulierte mittlere Anomalie lautet im Zusammenhang mit der Zeitgleichung:

: anomalistisches Jahr zwischen zwei Passagen des Perihels
: Zeitpunkt der Perihel-Passage

Bei Periheldurchgang hat die mittlere Anomalie folgenden Wert:

Bei der Zeitgleichung ist es üblich, die Werte eines Kalenderjahres im entsprechenden Astronomischen Jahrbuch zu veröffentlichen. Der 1. Januar 12:00 (UT) des entsprechenden Jahres wird als Nullpunkt für verwendet, sodass gegenwärtig für etwa 2 bis 3 Tage und daraus für etwa 2° bis 3° gelten.[12] Es hat sich bequemerweise eingebürgert, den jeweils neuen Wert für als eine sogenannte Jahreskonstante (eine der sogenanntewn Basiswerte, s. o.) im Voraus zu veröffentlichen.

Mit und ab 1. Januar 12:00 (UT) wird aus Gleichung :

Kepler-Gleichung:

Mit der dem vorgegebenen Zeitpunkt entsprechenden mittleren Anomalie und der Erdbahn-Exzentrizität wird mit Hilfe der Kepler-Gleichung die exzentrische Anomalie ermittelt.

Wahre Anomalie der Erde  :

Bei der Behandlung der Zeitgleichung wird für die wahre Anomalie meistens das Formelzeichen (anstatt wie oben) verwendet.

Die exzentrische Anomalie führt in einer rein geometrischen Betrachtung in der Ellipse und in ihrem Umkreis (erste der nebenstehenden Abbildungen) wie folgt zur wahren Anomalie :[1]

… eine Ellipsenkonstante

Das Kepler-Problem ist mit der Ermittlung der wahren Anomalie der Erde gelöst. Im Folgenden wird die Ermittlung der Zeitgleichung abgeschlossen.

Wahre Anomalie der Erde → Rektaszension der Sonne

Wahre Anomalie der Erde → ekliptikale Länge der Erde → ekliptikale Länge der Sonne:

Von der Erde aus gesehen spiegelt sich die Bewegung der Erde um die Sonne wider in der scheinbaren Bewegung der Sonne in der Ekliptik, dem Schnitt der Erdbahnebene mit der um die Erde als Mittelpunkt geschlagenen Richtungskugel (siehe zweite der nebenstehenden Abbildungen).[13][14] Die ekliptikale Länge der Erde und die ekliptikale Länge der Sonne sind somit Synonyme mit dem Formelzeichen .

Bezugspunkt für die ekliptikale Länge (und auch der Rektaszension) ist gemäß allgemeinem Brauch der Frühlingspunkt. Die ekliptikale Länge der Sonne wird erhalten, indem dem auf das Perihel der Erdbahn bezogenen Winkel der Winkel zwischen Perihel P und dem dem Frühlingspunkt entsprechenden Ort (F) addiert wird:[15]

Der Wert von ist negativ. Unter den nahezu konstanten Grundgrößen ist diejenige, die sich mit der Zeit wegen der relativ schnelleren Annäherung zwischen Frühlingspunkt bzw. Punkt (F) und Perihel am stärksten verändert. Sie wird deshalb nicht nur jährlich als sogenannte Jahreskonstante neu gesetzt, sondern mit folgender Gleichung permanent verändert:

Frühlingspunkt und Perihel nähern sich mit etwa , wobei das tropische Jahr ist (Zeit für zwei aufeinanderfolgende Passagen des Frühlingspunkts bzw. des Punktes (F)). Unter Beachtung der Gleichung ist statt Gleichung zu schreiben:

Der Wert von ist negativ !

Ekliptikale Länge der Sonne → Rektaszension der Sonne:

Neben der Elliptizität der Erdbahn verursacht die zur Erdbahnebene nicht rechtwinklige Lage der Erdachse und ihre Richtungsänderung relativ zur Sonne die Zeitgleichung.

Die Rektaszension der Sonne lässt sich z. B. mit allgemein bekannten Transformationsgleichungen oder mit folgender einfachen Beziehung im entsprechenden rechtwinkligen sphärischen Dreieck (siehe dritte der nebenstehenden Abbildungen) aus der ekliptikalen Länge ermitteln:

ist die Schiefe der Erdachse: .

Rektaszension der mittleren Sonne

Die Bewegung der mittleren Sonne S″ (dritte der rechts stehenden Abbildungen) auf dem Äquator macht die gleichmäßig vergehende Zeit gleich wie die der auf der Erdbahn umlaufenden fiktiven Erde (Punkt Y) anschaulich. Ihr Lauf ist möglichst eng an den der wahren Sonne zu koppeln, damit sie deren Lauf etwa „mittelt“. Das wurde mit folgender Definition erreicht:[16]

Wenn man die zeitliche Änderung von vernachlässigt, gilt auch:

Zeitgleichung

Die beiden zur Anwendung der Zeitgleichung erforderlichen Rektaszensionen und sind gefunden.

Zusammenfassung: Rechenschritte

  • vorgegebener Zeitpunkt Anomalie des fiktiven Punktes
  • exzentrische Anomalie des Punktes
  • Anomalie
  • Systemwechsel heliozentrisch geozentrisch (Bezugspunkt: Perihel Frühlingspunkt; Anomalie ekliptikale Länge)
  • vorgegebener Zeitpunkt ekliptikale Länge der auf der Ekliptik umlaufenden fiktiven Sonne
  • ekliptikale Länge der wahren Sonne
  • Rektaszension der wahren Sonne
  • (Rektaszension der auf dem Äquator umlaufenden fiktiven Sonne = ekliptikale Länge der auf der Ekliptik umlaufenden fiktiven Sonne)

Rechenbeispiel 1

Die Zeitgleichung für den 2. April 2015, 12:00 UT () wird berechnet Die Jahreskonstanten 2015 sind:[16][17][18]

Die Rechnungen sind:

Die Lösung erfolgte durch Iteration.

Die Zeitgleichung hat am 2. April 2015, 12:00 UT den Wert:

Rechenbeispiel 2

Die Zeitgleichung für den 1. Mai 2015, 12:00 UT () wird berechnet.

Die Rechnungen sind:

Die Lösung erfolgte durch Iteration.

Die Zeitgleichung hat am 1. Mai 2015, 12:00 UT den Wert:

Zeitgleichungswerte für die Passage ausgezeichneter Bahnpunkte

Vom Kalender und damit von der Jahreskonstanten unabhängig sind Zeitgleichungswerte für die Passage ausgezeichneter Punkte durch die Erde auf ihrer Bahn (beziehungsweise durch die Sonne auf der Ekliptik): Frühlings-, Sommer-, Herbst- und Winteranfangspunkt, Perihel und Aphel.

Zeitgleichungswerte und Zeitpunkte für die Passage ausgezeichneter Bahnpunkte *)
F-Anfang S-Anfang H-Anfang W-Anfang Perihel Aphel
λ/° 0 90 180 270 L0 L0 + 180
ZG/min −7,44 −1,74 +7,48 +1,70 −4,50 −4,50
tP/d **) 76,234 168,990 262,641 352,485 0 182,621

*) Die Werte gelten für das Jahr 2004 mit und .[16]
**) Die angegebenen Zeiten beziehen sich auf den Periheldurchgang, nicht wie in obigem Beispiel auf den 1. Januar 12:00 UT.

Ihre Berechnung ist einfacher, als die für beliebige Zeitpunkte, weil die Kepler-Gleichung nicht gelöst werden muss. Von der vorgegebenen ekliptikalen Länge eines der ausgezeichneten Punkte ist leicht zur wahren (Gl. )[19] und weiter zur exzentrischen Anomalie zu finden. Aus Letzterer folgt mit der umgestellten Kepler-Gleichung die mittlere Anomalie, also der Bahnpunkt der fiktiven mittleren Erde. Die ekliptikale Länge des Perihels[19] zu Letzterer addiert (Gl. ) ist die gesuchte mittlere Rektaszension (Minuend in der Zeitgleichung ). Die wahre Rektaszension (Subtrahend) ist bei den Punkten Frühling bis Winter mit deren ekliptikaler Länge identisch. Nur bei den Punkten Perihel und Aphel ergibt die Koordinatentransformation (Gl. ) kleine Werteunterschiede.

Bei der Vorgehensweise, die Berechnung mit einer vorgegebenen ekliptikalen Länge bzw. einer vorgegebenen wahren Anomalie zu beginnen, erhält man neben der Zeitgleichung auch die seit der Perihelpassage der Erde vergangene Zeit. Das ist die Zeit, die die mittlere Anomalie repräsentiert und sie wird aus dem Zwischenergebnis für die mittlere Anomalie mit Hilfe der entsprechend umzustellenden Gleichung errechnet.

Diese Vorgehensweise wird gelegentlich auch für die allgemeine Arbeit empfohlen, Zeitgleichungstabellen zu ermitteln.[20] Man erspart sich dabei das aufwändige Lösen der Kepler-Gleichung, findet zu Werten für gewünschte Zeitpunkte aber nur durch Probieren oder bei genügender Ergebnisdichte durch Interpolieren.

Literatur

  • Andreas Guthmann: Einführung in die Himmelsmechanik und Ephemeridenrechnung. BI-Wiss.-Verl., Mannheim 1994, ISBN 3-411-17051-4.
  • Peter Colwell: Solving Kepler's equation over three centuries. Hrsg.: Willmann-Bell. Richmond, VA 1993, ISBN 0-943396-40-9, S. 202.

Anmerkung

  1. Als Zeitgleichung wird sowohl eine der beiden folgenden mathematischen Gleichungen, als auch ihr Wert zu einem bestimmten Zeitpunkt bezeichnet. Letzteres entspricht der alten Bedeutung von „Gleichung“ als „zuzufügende Korrektur“. Bei der Zeitkorrektur ist es der der wahren Ortszeit hinzuzufügende Wert, um zur mittleren Ortszeit zu finden. Dabei ist zu beachten, dass früher die umgekehrte Differenz betrachtet wurde: >>>

Einzelnachweise

  1. a b c Siegfried Wetzel: Die Zeitgleichung für Nicht-Astronomen. (Memento vom 7. April 2014 im Internet Archive) Deutsche Gesellschaft für Chronometrie, Mitteilungen Nr. 111, Herbst 2007, Anhang 3.
  2. a b T. P. Wihler und H. R. Schneebeli: Von den Keplergesetzen zur Keplergleichung und zum Planetenort, 2. Geometrie der Planetenbewegung: Keplergleichung. «… benutzte Kepler eine normalisierte Zeit, die mittlere Anomalie».
  3. Jens Eisert (Freie Universität Berlin): Drehimpuls, die keplerschen Gesetze und der Virialsatz, S. 10. Das zweite Keplersche Gesetz «… ist also nichts anderes als die Drehimpulserhaltung in einer besonderen Formulierung, …»
  4. J.-L. Lagrange, Sur le problème de Kepler, in Mémoires de l'Académie Royale des Sciences de Berlin, vol. 25, 1771, Seiten 204–233
  5. Peter Colwell: Bessel functions and Kepler's equation (= Amer. Math. Monthly. Band 99, Nr. 1). Januar 1992, S. 45–48 (englisch).
  6. § II.6.67 Numerische Verfahren. Guthmann, S. 128 f.
  7. § II.6.66 Reihenentwicklung der exzentrischen Anomalie. Guthmann, S. 125 ff.
  8. a b § II.5.58 Der Hodograph. Guthmann, S. 114 f.
  9. Aufgaben zu § II.5. Guthmann, S. 122 f.
  10. a b 10. und 11. Aufgabe zu § II.5. Guthmann, S. 123.
  11. Solare Basiswerte und hier verwendete Formelzeichen sind dem Sonnenuhren-Handbuch der Deutschen Gesellschaft für Chronometrie e. V., Fachkreis Sonnenuhren entnommen: 2006, S. 43–49.
  12. Wegen der Schalttagregelung im Kalender schwanken beide Werte innerhalb der Vierjahresperiode schwach: ΔtP ≈ ¾Tag, ΔM0 ≈ ¾°.
  13. Manfred Schneider: Himmelsmechanik, Band II: Systemmodelle. BI-Wissenschaftsverlag, 1993, ISBN 3-411-15981-2, S. 507.
  14. Dieser Zusammenhang erlaubt umgekehrt, die ekliptikale Länge und den Frühlingspunkt F als Bezugspunkt (sowohl für als auch für ) auf die Erdbahn zurückzuspiegeln (siehe nebenstehende Abbildung, rechts → links).
  15. Zeichen für Winkeldifferenz und Ort in nebenstehender Abbildung in Klammern gesetzt, da Winkel und Ort für den Gebrauch auf der Erdbahn nicht definiert sind.
  16. a b c Sonnenuhren-Handbuch, 3.3 Berechnung der Zeitgleichung. Deutsche Gesellschaft für Chronometrie e. V., Fachkreis Sonnenuhren, 1900.
  17. Diese „Basiswerte“ gelten für den 1. Januar 2015 12:00 UT. Ihre langsame Veränderung wird im Folgenden während des gesamten Jahres 2015 nicht beachtet. Die in dieser Zeit kumulierte Veränderung schlägt sich erst in den Jahreskonstanten 2016 nieder. Ausnahme ist . Gleichung enthält die permanente Veränderung .
    Die Hochrechnung der Jahreskonstanten erfolgt mit den Basiswerten der Jahre 2000 bzw. 1900 wie folgt (DGC-Handbuch, S. 47):
    ist die Zahl der Tage seit 1. Januar 2000 12:00 UT; ist die Zahl der Jahre seit 1900. Bei den Winkeln und ist modulo 360° zu rechnen, und sie müssen zwischen −180° und +180° liegen.
  18. Die Jahreskonstanten (z. B. für 2015) werden hier so bezeichnet, weil sie nur für das eine Jahr benutzt werden, auf das sie sich beziehen. Darüber hinaus gelten sie ohne bedeutsame Einbuße an Genauigkeit der Zeitgleichung auch für Termine in fernliegenden Jahren (z. B. für 2050 oder 1950). Die Zeit nimmt dann entsprechend hohe positive bzw. negative Werte an; das gegebene Rechenschema bleibt aber unverändert anwendbar. Bei der Bestimmung von und sind die Nebenwerte des Arkustangens zu verwenden, die bzw. am nächsten liegen.
  19. a b Dabei wird mit der ekliptikalen Länge L = L0 des Perihels gerechnet, was ausreichend genau und wegen der nicht bekannten Zeit t auch nicht anders möglich ist.
  20. Heinz Schilt: Zur Berechnung der mittleren Zeit für Sonnenuhren. Schriften der Freunde alter Uhren, 1990.