Die nach Leonhard Euler benannte Euler-Zahl An,k in der Kombinatorik, auch geschrieben als
E
(
n
,
k
)
{\displaystyle E(n,k)}
oder
⟨
n
k
⟩
{\displaystyle \textstyle {\bigl \langle }\!{n \atop k}\!{\bigr \rangle }}
, ist die Anzahl der Permutationen (Anordnungen) von
1
,
…
,
n
{\displaystyle 1,\ldots ,n}
, in denen genau
k
{\displaystyle k}
Elemente größer als das vorhergehende sind, die also genau
k
{\displaystyle k}
Anstiege enthalten. Äquivalent dazu ist die Definition mit „kleiner“ statt „größer“ und „Abstiege“ statt „Anstiege“. Nach einer anderen Definition ist die Euler-Zahl
a
(
n
,
k
)
{\displaystyle a(n,k)}
die Anzahl der Permutationen von
1
,
…
,
n
{\displaystyle 1,\ldots ,n}
mit genau
k
{\displaystyle k}
maximalen monoton ansteigenden Abschnitten, wodurch der zweite Parameter gegenüber der hier verwendeten Definition um eins verschoben ist:
a
(
n
,
k
)
=
A
n
,
k
−
1
{\displaystyle a(n,k)=A_{n,k-1}}
.
Euler-Dreieck
Wie die Binomialkoeffizienten im Pascalschen Dreieck können die Euler-Zahlen im Euler-Dreieck angeordnet werden (erste Zeile
n
=
1
{\displaystyle n=1}
, erste Spalte
k
=
0
{\displaystyle k=0}
; Folge A008292 in OEIS ):
1
1 1
1 4 1
1 11 11 1
1 26 66 26 1
1 57 302 302 57 1
1 120 1191 2416 1191 120 1
1 247 4293 15619 15619 4293 247 1
1 502 14608 88234 156190 88234 14608 502 1
1 ... ... ... ... ... ... ... ... 1
Dabei kann man mit der folgenden Rekursionsformel jeden Eintrag aus den beiden darüberstehenden berechnen:
A
n
,
k
=
(
n
−
k
)
A
n
−
1
,
k
−
1
+
(
k
+
1
)
A
n
−
1
,
k
{\displaystyle A_{n,k}=(n-k)\,A_{n-1,k-1}+(k+1)\,A_{n-1,k}}
für
n
>
0
{\displaystyle n>0}
mit
A
0
,
0
=
1
{\displaystyle A_{0,0}=1}
und
A
0
,
k
=
0
{\displaystyle A_{0,k}=0}
für
k
≠
0
{\displaystyle k\not =0}
. Auch die Konvention
A
0
,
−
1
=
1
{\displaystyle A_{0,-1}=1}
und
A
0
,
k
=
0
{\displaystyle A_{0,k}=0}
für
k
≠
−
1
{\displaystyle k\not =-1}
wäre sinnvoll, sie ist bei der alternativen Definition üblich.
Eigenschaften
Direkt aus der Definition folgen
A
n
,
0
=
1
{\displaystyle A_{n,0}=1}
und
A
n
,
n
−
1
−
k
=
A
n
,
k
{\displaystyle A_{n,n-1-k}=A_{n,k}}
für
n
>
0
{\displaystyle n>0}
und
∑
k
=
0
n
A
n
,
k
=
n
!
{\displaystyle \sum _{k=0}^{n}A_{n,k}=n!}
für
n
≥
0
{\displaystyle n\geq 0}
, wobei
A
n
,
n
=
0
{\displaystyle A_{n,n}=0}
gesetzt wird.
Aus den Binomialkoeffizienten können die Euler-Zahlen mit der Formel
A
n
,
k
=
∑
i
=
0
k
(
−
1
)
i
(
n
+
1
i
)
(
k
+
1
−
i
)
n
{\displaystyle A_{n,k}=\sum _{i=0}^{k}\,(-1)^{i}{\binom {n+1}{i}}(k+1-i)^{n}}
für
n
,
k
≥
0
{\displaystyle n,k\geq 0}
berechnet werden, insbesondere
A
n
,
1
=
2
n
−
(
n
+
1
)
,
{\displaystyle A_{n,1}=2^{n}-(n+1),}
Folge A000295 in OEIS ,
A
n
,
2
=
3
n
−
2
n
(
n
+
1
)
+
1
2
n
(
n
+
1
)
,
{\displaystyle A_{n,2}=3^{n}-2^{n}\,(n+1)+{\tfrac {1}{2}}\,n\,(n+1),}
Folge A000460 in OEIS und
A
n
,
3
=
4
n
−
3
n
(
n
+
1
)
+
2
n
1
2
n
(
n
+
1
)
−
1
6
(
n
−
1
)
n
(
n
+
1
)
,
{\displaystyle A_{n,3}=4^{n}-3^{n}\,(n+1)+2^{n}\,{\tfrac {1}{2}}\,n\,(n+1)-{\tfrac {1}{6}}\,(n-1)\,n\,(n+1),}
Folge A000498 in OEIS .
Es gilt die Worpitzky-Identität (Worpitzky 1883)[ 1]
∑
k
=
0
n
A
n
,
k
(
x
+
k
n
)
=
x
n
{\displaystyle \sum _{k=0}^{n}A_{n,k}\,{\binom {x+k}{n}}=x^{n}}
für
n
≥
0
{\displaystyle n\geq 0}
, wobei
x
{\displaystyle x}
eine Variable und
(
x
+
k
n
)
{\displaystyle {\tbinom {x+k}{n}}}
ein verallgemeinerter Binomialkoeffizient ist.
Eine erzeugende Funktion für
A
n
,
k
{\displaystyle A_{n,k}}
ist
∑
n
=
0
∞
∑
k
=
0
n
A
n
,
k
t
n
n
!
x
k
=
x
−
1
x
−
e
(
x
−
1
)
t
.
{\displaystyle \sum _{n=0}^{\infty }\sum _{k=0}^{n}A_{n,k}\,{\frac {t^{n}}{n!}}\,x^{k}={\frac {x-1}{x-e^{(x-1)\,t}}}\,.}
Eine Beziehung zu den Bernoulli-Zahlen
β
m
{\displaystyle \beta _{m}}
wird durch die alternierende Summe
∑
k
=
0
m
−
1
(
−
1
)
k
A
m
−
1
,
k
=
(
−
2
)
m
(
2
m
−
1
)
m
β
m
{\displaystyle \sum _{k=0}^{m-1}(-1)^{k}A_{m-1,k}={\frac {(-2)^{m}\,(2^{m}-1)}{m}}\,\beta _{m}}
für
m
>
0
{\displaystyle m>0}
hergestellt.
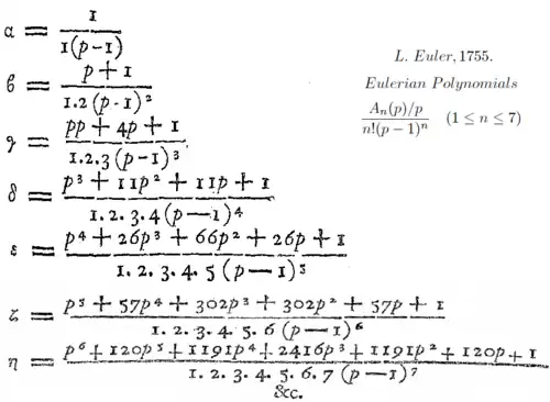
Euler-Polynome
Euler-Zahlen als Koeffizienten von Euler-Polynomen[ 2]
Das Euler-Polynom
A
n
(
x
)
{\displaystyle A_{n}(x)}
ist definiert durch
A
n
(
x
)
=
∑
k
=
0
n
−
1
A
n
,
k
x
k
,
{\displaystyle A_{n}(x)=\sum _{k=0}^{n-1}A_{n,k}\,x^{k}\,,}
also
A
0
(
x
)
=
A
1
(
x
)
=
1
,
{\displaystyle A_{0}(x)=A_{1}(x)=1,}
A
2
(
x
)
=
1
+
x
,
{\displaystyle A_{2}(x)=1+x,}
A
3
(
x
)
=
1
+
4
x
+
x
2
,
{\displaystyle A_{3}(x)=1+4x+x^{2},}
A
4
(
x
)
=
1
+
11
x
+
11
x
2
+
x
3
,
{\displaystyle A_{4}(x)=1+11x+11x^{2}+x^{3},}
A
5
(
x
)
=
1
+
26
x
+
66
x
2
+
26
x
3
+
x
4
,
{\displaystyle A_{5}(x)=1+26x+66x^{2}+26x^{3}+x^{4},}
A
6
(
x
)
=
1
+
57
x
+
302
x
2
+
302
x
3
+
57
x
4
+
x
5
,
{\displaystyle A_{6}(x)=1+57x+302x^{2}+302x^{3}+57x^{4}+x^{5},}
A
7
(
x
)
=
1
+
120
x
+
1191
x
2
+
2416
x
3
+
1191
x
4
+
120
x
5
+
x
6
.
{\displaystyle A_{7}(x)=1+120x+1191x^{2}+2416x^{3}+1191x^{4}+120x^{5}+x^{6}.}
Aus den entsprechenden Gleichungen für die Euler-Zahlen erhält man die Rekursionsformel
A
n
+
1
(
x
)
=
(
1
+
n
x
)
A
n
(
x
)
+
x
(
1
−
x
)
A
n
′
(
x
)
{\displaystyle A_{n+1}(x)=(1+n\,x)\,A_{n}(x)+x\,(1-x)\,A_{n}^{\prime }(x)}
und die erzeugende Funktion
∑
n
=
0
∞
A
n
(
x
)
t
n
n
!
=
x
−
1
x
−
e
(
x
−
1
)
t
.
{\displaystyle \sum _{n=0}^{\infty }A_{n}(x)\,{\frac {t^{n}}{n!}}={\frac {x-1}{x-e^{(x-1)\,t}}}\,.}
Die Euler-Polynome kommen im Zähler der geschlossenen Darstellung gewisser Potenzreihen vor:
∑
k
=
0
∞
(
k
+
1
)
n
x
k
=
1
n
+
2
n
x
+
3
n
x
2
+
4
n
x
3
+
…
=
A
n
(
x
)
(
1
−
x
)
n
+
1
{\displaystyle \sum _{k=0}^{\infty }(k+1)^{n}x^{k}=1^{n}+2^{n}x+3^{n}x^{2}+4^{n}x^{3}+\ldots ={\frac {A_{n}(x)}{(1-x)^{n+1}}}}
für
n
=
0
,
1
,
2
,
…
{\displaystyle n=0,\,1,\,2,\ldots }
und
|
x
|
<
1
{\displaystyle |x|<1}
.
Spezialfälle:
n
=
0
:
∑
k
=
0
∞
x
k
=
1
+
x
+
x
2
+
x
3
+
…
=
A
0
(
x
)
1
−
x
=
1
1
−
x
{\displaystyle n=0:\sum _{k=0}^{\infty }x^{k}=1+x+x^{2}+x^{3}+\ldots ={\frac {A_{0}(x)}{1-x}}={\frac {1}{1-x}}}
(geometrische Reihe ),
n
=
1
:
∑
k
=
0
∞
(
k
+
1
)
x
k
=
1
+
2
x
+
3
x
2
+
4
x
3
+
…
=
A
1
(
x
)
(
1
−
x
)
2
=
1
(
1
−
x
)
2
{\displaystyle n=1:\sum _{k=0}^{\infty }(k+1)x^{k}=1+2x+3x^{2}+4x^{3}+\ldots ={\frac {A_{1}(x)}{(1-x)^{2}}}={\frac {1}{(1-x)^{2}}}}
,
n
=
2
:
∑
k
=
0
∞
(
k
+
1
)
2
x
k
=
1
+
4
x
+
9
x
2
+
16
x
3
+
…
=
A
2
(
x
)
(
1
−
x
)
3
=
1
+
x
(
1
−
x
)
3
{\displaystyle n=2:\sum _{k=0}^{\infty }(k+1)^{2}x^{k}=1+4x+9x^{2}+16x^{3}+\ldots ={\frac {A_{2}(x)}{(1-x)^{3}}}={\frac {1+x}{(1-x)^{3}}}}
usw.
Literatur
L. Euler : Remarques sur un beau rapport entre les séries des puissances tant directes que réciproques (1749), Mémoires de l’académie royale des sciences et belles-lettres 17, 1768, S. 83–106 (französisch; Euler-Zahlen als Koeffizienten auf S. 85 )
David P. Roselle: Permutations by number of rises and successions , Proceedings of the AMS 19, 1968, S. 8–16 (englisch)
Ronald L. Graham , Donald E. Knuth , Oren Patashnik : Concrete mathematics: a foundation for computer science , Addison-Wesley, Reading 1988, 2. Auflage 1994, ISBN 0-201-55802-5, S. 267–272 (englisch; Knuths Webseite zum Buch mit Errata: Concrete Mathematics, Second Edition )
Kenneth H. Rosen, John G. Michaels et al. (Hrsg.): Handbook of Discrete and Combinatorial Mathematics , CRC Press LLC, 1999, ISBN 0-8493-0149-1 (englisch)
Friedrich Hirzebruch : Eulerian polynomials (PDF -Datei, 96 kB), Münster Journal of Mathematics 1, 2008, S. 9–14 (englisch)
Weblinks
Einzelnachweise
↑ Julius Worpitzky : Studien über die Bernoullischen und Eulerschen Zahlen , Journal für die reine und angewandte Mathematik 94, 1883, S. 203–232
↑ Leonhard Euler : Institutiones calculi differentialis Teil 2, Academia imperialis scientiarum Petropolitanae, 1755, S. 485–486 (lateinisch)