Furocumarine
Furocumarine (auch Furanocumarine) kommen häufig in Doldenblütlern vor wie Bärenklau (Riesen-Bärenklau, Wiesen-Bärenklau) und Arznei-Engelwurz, außerdem in Rautengewächsen wie Zitruspflanzen (darunter Bergamotte, Zitrone, Limette, Grapefruit, Bitterorange u. a.) sowie in einer Reihe weiterer Pflanzen. Furocumarine gehören zu den sekundären Pflanzenstoffen und dienen als Phytoalexine (ein Typ Abwehrstoffe).
Struktur
Die Furocumarine leiten sich strukturell von Cumarin durch Anellierung mit einem Furanring ab. Cumarin besitzt vier Bindungen (c, f, g und h) über die eine Anellierung eines Furanrings möglich ist und ein Furanring lässt sich über seine Bindung zwischen C2 und C3 in zwei unterschiedlichen Orientierungen mit jeder dieser Bindungen verknüpfen. Daraus ergeben sich im Prinzip 8 Grundtypen der Furocumarine, von denen vor allem die vier Stammverbindungen Furo[3,2-g]cumarin (Psoralen) 6, Furo[2,3-h]cumarin (Angelicin) 3, Furo[2,3-f]cumarin (Allopsoralen)[S 1] 7 und Furo[3,2-c]cumarin[S 2] 1 bzw. deren Derivate natürlich vorkommen.[1]

Beim Psoralen-Typ ist der Furanring mit g-Bindung des Cumarins verknüpft, wobei sich eine lineare Anordnung der drei Ringe ergibt und beim Angelicin-Typ ist der Furanring mit der h-Bindung des Cumarins verknüpft, so dass sich eine gewinkelte Anordnung der drei Ringe ergibt. In beiden Fällen ist das Sauerstoffatom des Furanrings an C7 des Cumarins gebunden, was auf die Biosynthese beider Furocumarine ausgehend von Umbelliferon (7-Hydroxycumarin) zurückgeht.[2]
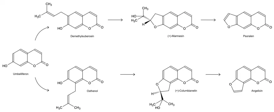
Biosynthese

Die Biosynthese von Psoralen und Angelicin erfolgt ausgehend von Umbelliferon (7-Hydroxycumarin) in analogen Schritten. Der erste Schritt ist die Isoprenylierung con C6, bei der Biosynthese von Psoralen unter Bildung von Demethylsuberosin bzw. von C8 bei der Biosynthese von Angelicin unter Bildung von Osthenol. Anschließend erfolgt Ringschluss zu (+)-Marmesin bzw. (+)-Columbianetin und danach die Bildung der C–C-Doppelbindung des Furanrings durch oxidative Eliminierung unter Bildung von Aceton und Wasser.[2]
Eigenschaften
Wie die meisten α,β-ungesättigten Carbonylverbindungen sind Furocumarine sehr reaktiv. Unter Einwirkung von Sonnenlicht (UVA- und UVB-Strahlung) werden Furocumarine photoaktiviert. Prominentes Beispiel ist der giftige Saft des Riesen-Bärenklaus (Herkulesstaude). Die darin enthaltenen Furocumarine schädigen den menschlichen Organismus auf zweierlei Weise:
- Photosensibilisierend/Phototoxisch: Gelangen Furocumarine auf die Haut und werden anschließend dem Sonnenlicht (UV-Strahlung) ausgesetzt, kommt es je nach Schwere zu verbrennungsähnlichen Symptomen (Hautrötung, Schwellung, Blasenbildung, Läsionen, Photopigmentierung, Narbenbildung).[3][4] Siehe auch Berloque-Dermatitis, Photodermatitis.
- Krebserregend: Furocumarine gehen unter UV-Einwirkung kovalente Bindungen mit den Pyrimidinbasen der DNA ein, vernetzen so die DNA-Doppelstränge irreversibel miteinander (DNA-Vernetzung) und wirken dadurch krebserregend.[5][6][7]
In der Medizin werden Furocumarine wie Bergapten, Trioxsalen, Xanthotoxin oder Trimethylpsoralen zur Behandlung von Psoriasis im Rahmen der Phototherapie und Photochemotherapie eingesetzt.[4]
Übersicht
| Psoralen-Typ | |||||
| Bild | ![]() | ||||
| Name | Psoralen | Bergapten | Xanthotoxin | Isopimpinellin | Imperatorin |
| R1 | H | OCH3 | H | OCH3 | H |
| R2 | H | H | OCH3 | OCH3 | O–CH2–CH=C(CH3)2 |
| CAS-Nummer | 66-97-7 | 484-20-8 | 298-81-7 | 482-27-9 | 482-44-0 |
| PubChem | 6199 | 2355 | 4114 | 68079 | 10212 |
| Summenformel | C11H6O3 | C12H8O4 | C12H8O4 | C13H10O5 | C16H14O4 |
| Molare Masse | 186,16 g·mol−1 | 216,19 g·mol−1 | 216,19 g·mol−1 | 246,21 g·mol−1 | 270,28 g·mol−1 |
| Angelicin-Typ | ||||
| Bild | ![]() | |||
| Name | Angelicin | Pimpinellin | Isobergapten | Sphondin |
| R1 | H | OCH3 | H | OCH3 |
| R2 | H | OCH3 | OCH3 | H |
| CAS-Nummer | 523-50-2 | 131-12-4 | 482-48-4 | 483-66-9 |
| PubChem | 10658 | 4825 | 68082 | 108104 |
| Summenformel | C11H6O3 | C13H10O5 | C12H8O4 | C12H8O4 |
| Molare Masse | 186,16 g·mol−1 | 246,21 g·mol−1 | 216,19 g·mol−1 | 216,19 g·mol−1 |
Vorkommen in der Natur
Furocumarine vom Psoralen- und Angelicin-Typ kommen in der Natur hauptsächlich in den Pflanzenfamilien Rautengewächse, Doldenblütler, Hülsenfrüchtler und Maulbeergewächse vor. Am häufigsten treten sie in den Rautengewächsen, z. B. in den Zitruspflanzen und den Doldenblütlern, z. B. in den Gattungen Bärenklau und Engelwurzen auf. Bekannte Beispiele sind die Vorkommen in der Grapefruit und im Riesen-Bärenklau.

Aus der Gefransten Raute (Ruta chalepensis) wurden erstmals unter anderem Chalepensin[S 3] und Chalepin[S 4] isoliert, die eine Isoprenylierung von C3 des 2-Pyronrings des Psoralen-Ringsystems aufweisen.[9][10]
Die Furocumarine vom Psoralen-Typ sind stärker verbreitet als die vom Angelicin-Typ. Furocumarine vom Angelicin-Typ kommen in den unten genannten Furocumarin-haltigen Pflanzen, die in der menschlichen Ernährung eine Rolle spielen, insbesondere in der Pastinake vor.[11]
-
Grapefruit -
Orange -
Zitrone -
Arznei-Engelwurz (Angelica archangelica) -
Riesen-Bärenklau (Heracleum mantegazzianum) -
Wiesen-Bärenklau (Heracleum sphondylium)
Vorkommen in Früchten, Gemüse und Gewürzen
Typische Lebensmittel, in denen Furocumarine vorkommen sind:[12][11]
- Zitruspflanzen: Grapefruit, Zitrone, Limette, Orange
- Doldenblütler: Karotte, Pastinake, Echter Sellerie, Petersilie, Dill, Echter Koriander, Kreuzkümmel
- Kreuzblütler: Speiserübe
- Maulbeergewächse: Echte Feige
Einzelnachweise
- ↑ L. Santana, E. Uriarte, F. Roleira, N. Milhazes, F. Borges: Furocoumarins in Medicinal Chemistry. Synthesis, Natural Occurrence and Biological Activity. In: Current Medicinal Chemistry. Band 11, Nr. 24, S. 3239–3261, doi:10.2174/0929867043363721.
- ↑ a b Bourgaud, F., Hehn, A., Larbat, R., Doerper, S., Gontier, E., Kellner, S., Matern, U.: Biosynthesis of coumarins in plants: a major pathway still to be unravelled for cytochrome P450 enzymes, Phytochemistry Reviews, 2006, 5, S. 293–308
- ↑ Furanocoumarins as potent chemical defenses.
- ↑ a b Jeannette Aryee-Boi: Dusch-PUVA : Ein innovatives Verfahren der lokalen PUVA-Therapie Klinische und pharmakokinetische Ergebnisse bei Psoriasis vulgaris. Inaugural-Dissertation Freie Universität Berlin, 2002.
- ↑ Oskar Schimmer: Die mutagene und cancerogene Potenz von Furocumarinen. In: Pharmazie in unserer Zeit. Band 10, Nr. 1, 1981, S. 18–28.
- ↑ Eberhart Teuscher: Biogene Gifte. 1987, S. 233.
- ↑ Andreas Herde: Untersuchung der Cumarinmuster in Früchten ausgewählter Apiaceae. ( vom 12. Juni 2007 im Internet Archive) (PDF 2,3 MB) Dissertation Universität Hamburg, 2005, S. 29 f.
- ↑ Eintrag zu Furocumarine. In: Römpp Online. Georg Thieme Verlag, abgerufen am 19. Mai 2015.
- ↑ R. M. Brooker, J. N. Eble, N. A. Starkovsky: Chalepensin, chalepin and chalepin acetate, three novel furocoumarins from Ruta chalepensis. In: Lloydia. Band 30, 1967, S. 73.
- ↑ Nahar, L., Al-Majmaie, S., Al-Groshi, A., Rasul, A., Sarker, S. D.: Chalepin and chalepensin: Occurrence, biosynthesis and therapeutic potential, Molecules, 2021, 26(6), S. 1609
- ↑ a b Melough, M. M., Cho, E., Chun, O. K.: Furocoumarins: A review of biochemical activities, dietary sources and intake, and potential health risks, Food and chemical toxicology, 2018, 113, S. 99–107
- ↑ Melough, M. M. et al.: Identification and quantitation of furocoumarins in popularly consumed foods in the US using QuEChERS extraction coupled with UPLC-MS/MS analysis, Journal of agricultural and food chemistry, 2017 65(24), S. 5049–5055
Externe Links zu erwähnten Verbindungen
- ↑ Externe Identifikatoren von bzw. Datenbank-Links zu Allopsoralen: CAS-Nr.: 4412-93-5, PubChem: 3083848, ChemSpider: 2340997, Wikidata: Q83069134.
- ↑ Externe Identifikatoren von bzw. Datenbank-Links zu Furo[3,2-c]cumarin: CAS-Nr.: 2290-09-7, PubChem: 1488785, ChemSpider: 1229379, Wikidata: Q131290250.
- ↑ Externe Identifikatoren von bzw. Datenbank-Links zu Chalepensin: CAS-Nr.: 13164-03-9, PubChem: 128834, ChemSpider: 114167, Wikidata: Q27106137.
- ↑ Externe Identifikatoren von bzw. Datenbank-Links zu Chalepin: CAS-Nr.: 33054-89-6, PubChem: 119066, ChemSpider: 106392, Wikidata: Q27106840.

