Interpunktion (Kommunikation)
In der Kommunikationsforschung werden unter Interpunktion subjektiv empfundene Startpunkte innerhalb eines ununterbrochenen Austausches von Mitteilungen verstanden.
Die Verwendung dieses Begriffes zur Analyse von zwischenmenschlicher Kommunikation geht auf eine gemeinsame Arbeit von Gregory Bateson und Don D. Jackson zurück[1] („Interpunktion von Ereignisfolgen“ in Analogie zu Whorf).[2]
Paul Watzlawick, Janet H. Beavin und Don D. Jackson formulierten das Axiom: „Die Natur einer Beziehung ist durch die Interpunktion der Kommunikationsabläufe seitens der Partner bedingt“ (drittes metakommunikatives Axiom).[2] Weichen die Meinungen über die Interpunktionen ab, können Beziehungskonflikte entstehen.
Beispiel
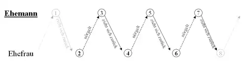
In einer Ehe streiten sich beide Partner, ein Mann und eine Frau. Ersterer verhält sich oft passiv-zurückgezogen, während die Frau zum Nörgeln neigt. Es entsteht eine endlose Schleife. Grafisch wäre dies als Kreis darstellbar oder als ununterbrochene Folge. Der Anfangspunkt in der Grafik ist willkürlich gewählt.

- Sicht des Ehemanns
Er begründet sein Verhalten als Reaktion auf ihr Nörgeln.

- Sicht der Ehefrau
Sie begründet ihr Verhalten als Reaktion auf seinen Rückzug.

Literatur
- Paul Watzlawick, Janet H. Beavin, Don D. Jackson: Menschliche Kommunikation. Formen, Störungen, Paradoxien. 12., unveränd. Auflage. Huber, Bern u. a. 2011, S. 65–70 und passim, ISBN 978-3-456-84970-6.
- Paul Watzlawick: Wie wirklich ist die Wirklichkeit? Wahn. Täuschung. Verstehen. Piper, München 1978, ISBN 3-492-20174-1.
Quellen
- ↑ G. Bateson, D. D. Jackson: Some Varietes of Pathogenic Organization. In: David Rioch (Hrsg.): Dissorders of Communication. Proceedings of the Association for Research in Nervous und Mental Disease (= Research Publications; 42). Hafner Publ., New York, 1964, Seiten 270–283.
- ↑ a b Paul Watzlawick, Janet H. Beavin, Don D. Jackson: Menschliche Kommunikation. Formen, Störungen, Paradoxien. 12., unveränd. Auflage. Huber, Bern u. a. 2011, Seite 69 f.