Kosmographie des Aethicus
_-_Ausschnitt.png)
Die sogenannte Kosmographie des Aethicus ist ein im 7. oder 8. Jahrhundert entstandenes mittellateinisches Werk, das vorgibt, auf einer antiken, griechischen Vorlage eines aus Istrien stammenden heidnischen Philosophen Aethicus skythischer Herkunft zu beruhen. Diese Vorlage soll vom Kirchenvater Hieronymus (348/349–420) kommentiert, paraphrasiert, stellenweise übersetzt und unter dem Titel Incipit liber Ethico translato philosophico, edito oraculo Hieronymo presbytero, dilatum ex Chosmografia, id est mundi scriptura veröffentlicht worden sein.
Im Mittelpunkt des Werks steht eben jener Aethicus, der – nach der Art des philostratischen Apollonios von Tyana – als weitgereister Entdecker und Forscher die gesamte Oikumene bereist habe: von Indien bis zu den Säulen des Herkules, von Thule über Armenien bis nach Libyen. Die beiden Erzählerfiguren – Aethicus und Hieronymus – sprechen im Werk beide in der ersten Person von sich. Dabei übernimmt die Stimme des „Hieronymus“ die narrative Kontrolle und fungiert als rahmender Erzähler, durch dessen Perspektive die Figur des Aethicus dem Leser hauptsächlich vermittelt wird. Aethicus tritt überwiegend in indirekter Rede in Erscheinung; nur in wenigen Passagen wird ihm unmittelbare Sprechposition eingeräumt. Jene Abschnitte, die als wörtliche Übersetzungen der angeblich griechischen Originalquelle ausgegeben werden, zeichnen sich durch einen pathetisch überhöhten, bewusst hermetischen Stil aus, der offensichtlich darauf abzielt, der angeblichen Vorlage einen geheimnisvollen und schwer zugänglichen Charakter zu verleihen.
Die Kosmographie eröffnet mit einer Darstellung der Schöpfung und der Beschreibung der Struktur des Kosmos. Daran anschließend folgt die ausführliche Schilderung der Reisen des Protagonisten, die ihn zu zahlreichen realen wie fiktiven Orten führen und den Hauptteil des Werkes ausmachen. Nur ein begrenzter Teil des Textes entspricht einer Kosmographie im engeren Sinne. Die Gattungszuordnung des Werks erweist sich als entsprechend schwierig.
Aufgrund des freien und teilweise irreführenden Umgangs des Autors mit seinen Quellen – offenbar in dem Bestreben, Abhängigkeiten zu verschleiern – lassen sich die verwendeten Quellen der Schrift nur in Teilen sicher identifizieren. Ebenso geben Identität, Herkunft und Absichten des Verfassers Anlass zu anhaltenden wissenschaftlichen Debatten. Als sicher gilt, dass eine griechische Vorlage der Schrift niemals existiert hat.
Übersicht
Das Werk, das sich als eine redigierte und kommentierte Übersetzung des Kirchenvaters Hieronymus (348/49–420)[1] einer Weltbeschreibung (Cosmografia) eines Skythen Aethicus bzw. Ethicus[2] inszeniert, beginnt mit der Darstellung der Erschaffung der Welt, einschließlich Himmel, Erde[3] und Hölle und beschreibt anschließend die Rebellion Satans und seinen Sturz. Die Erzählung setzt dann mit der Beschreibung der Welt in Form der Schilderung der Reise des Aethicus fort. Seine Reise führt den Philosophen von Taprobane nach Westen, bis zu den Säulen des Herakles, dann in den Norden, zu bekannten und unbekannten Inseln, von dort zum kaspischen Meer, nach Griechenland und entlang des Mittelmeeres. Schließlich reist er erneut nach Indien und dann wieder nach Westen, bis nach Libyen. Am Ende der Kosmographie steht ein angeblich von Aethicus erfundenes Alphabet.[4] Während Heinrich Wuttke (1818–1876) das Werk noch der Antike und Hieronymus selbst zuschrieb und eine auf realen Erfahrungen basierende Vorlage eines istrischen Philosophen Aithikos annahm, besteht heute weitgehend Konsens darin, dass der Text im 7. oder 8. Jh. entstanden ist, eine literarische Einheit bildet und Aethicus ebenso wie eine antike Vorlage frei erfunden sind. Der Kirchenvater Hieronymus ist damit als Autor auszuschließen[5] und das Werk offensichtlich eine „doppelte Fälschung“.[6] Die Entstehungsumstände des Werks sowie die Identität, Landsmannschaft und Intentionen des unbekannten Verfassers bleiben in der Forschung gleichwohl umstritten. Der Text ist in einem schwierigen bis teils unverständlichen Spätlatein verfasst und besitzt, wie bereits dargelegt, mehrere Stilebenen. Die lateinische Sprache ist eine bizarre Mischung aus gelehrtem Vokabular und protoromanischer Syntax – insbesondere in den pathetischen Teilen gleitet die Sprache in einen nahezu unverständlichen „wirren Kauderwelsch“[7] ab.[8]
Neben den fünf Haupthandschriften aus dem 8. und 9. Jh. existieren über 30 jüngere Überlieferungsträger, die sich auf den Zeitraum vom 8. bis zum 16. Jh. verteilen. Das genaue Abhängigkeitsverhältnis der Schrift zu anderen Werken bleibt aufgrund des freien Umgangs des Autors mit seinen Quellen undeutlich bis unklar, was auch die Datierung erschwert. Im frühen 20. Jh. wurde eine Verbindung des Werks zur fränkischen Hofgeschichtsschreibung des 7. oder 8. Jh. hergestellt. Diese Deutung ist insbesondere in der deutschen Forschung weitgehend Konsens, wurde jedoch vereinzelt auch bestritten.[9]
Heinz Löwe schlägt auf Basis von Ähnlichkeiten mit den Chronicarum libri IV das Jahr 768 als frühestmöglichen Entstehungszeitpunkt vor,[10] während Michael W. Herren die Nutzung dieser Quelle ablehnt und die Vollendung des Werks um 727, also das Jahr der Fertigstellung des Liber Historiae Francorum datiert.[11]
Über kaum einen Aspekt der Kosmographie besteht Einigkeit. Neben der Frage nach den verwendeten Quellen standen und stehen insbesondere die Autorschaft und der Zweck des Werkes im Zentrum intensiver und langanhaltender wissenschaftlicher Debatten, ohne dass sich bislang eine bestimmte Deutung durchsetzen konnte. Dabei lassen sich mehrere Hauptthesen unterscheiden:
Folgt man der These von Heinz Löwe,[12] welche Dreh- und Angelpunkt sämtlicher moderner Überlegungen und Debatten betreffend die Herkunft des Verfassers darstellt, so ist die Kosmographie als eine nach 768 im Umfeld von Arbeo von Freising entstandene „geistige Rache“ des Iren Virgil von Salzburg an Bonifatius zu betrachten, mit dem er in der Zeit seines Wirkens in Baiern u. a. aufgrund einer meist als Antipodenlehre gedeuteten Heterodoxie[13] in Konflikt geraten war. Verschiedene Forscher haben diese These aufgegriffen und modifiziert.[14] Eine Gegenposition vertritt Franz Brunhölzl.[15] Er verortet die Herkunft des Verfassers an den Unterlauf der Donau und datiert den Textes in die zweite Hälfte des 7. Jhs. Als Entstehungsort schlägt er das Patriarchat von Aglar vor. Kurt Hillkowitz[16] verortet die Kosmographie – in Übereinstimmung mit Löwe – zwar ebenfalls in das Baiern des späten 8. Jhs., postuliert jedoch eine Herkunft des Verfassers aus Istrien. Seine „Wahlheimat“ habe er letztlich im „baierischen Istrien“ gefunden.
Eine im Groben ähnliche Position vertritt auch Otto Prinz,[17] der in dem Verfasser einen ursprünglich aus Istrien stammenden Kleriker sieht, der später ins Frankenreich gelangte. Dieser sei in seiner Kindheit oder Jugend mit der byzantinischen Deportationspolitik oder deren Folgen konfrontiert worden. Die Abfassung der Reisebeschreibung sei wohl nach Alemannien zu verorten, möglicherweise in das Stift St. Gallen. In dessen Stiftsbibliothek hätte der Verfasser auch Zugriff auf das umfangreiche Quellenmaterial erhalten können, das für die Erstellung seines Werkes erforderlich gewesen ist. Darüber hinaus könnte die schiere Größe des Stiftes es ihm ermöglicht haben, sein Treiben unbemerkt zu lassen. Das Werk sei Mitte des 8. Jh. entstanden und hätte das Ziel verfolgt zu unterhalten.
Michael W. Herren[18] ist hingegen zu der Auffassung gelangt, dass es sich bei dem Werk um eine Satire auf die Weltbeschreibung des Kosmas Indikopleustes und die wörtliche Bibelexegese handelt und sie sich an eine gebildete Leserschaft richtet, welche sich für feinfühlige Fragestellungen der Bibelauslegung begeistert. Leichtgläubigkeit und oberflächliche Gelehrsamkeit sollen aufs Korn genommen werden. Aus dem Balkanraum stammend, habe der Autor große Teile des westlichen Europas bereist, darunter Irland und Cantwaraburg. Das Werk sei um 727 in Bobbio vollendet worden.[19] Im Abschnitt Forschungsgeschichte sollen die unterschiedlichen Hauptthesen detaillierter beleuchtet werden.
Überlieferung
Bereits bald nach seiner Entstehung im Frühmittelalter wurde das Werk häufig kopiert und verbreitete sich rasch. Mit dem Hochmittelalter jedoch verlor es zunehmend an Bedeutung, wohl da die geographischen Kenntnisse über die vormals unbekannten Völker des Nordens und Ostens durch die Christianisierung stärker in die Wissenssphäre des lateinischen Abendlands einrückten. Zugleich erweiterten die Kreuzzüge das geographische Weltbild Europas erheblich, wodurch spekulativ-mythologische Darstellungen fremder Völker an Reiz einbüßten. Dies führte offenbar unter anderem dazu, dass das Werk mit sachverwandten Texten, namentlich der anonymen Kosmographie des Julius Honorius, aber auch anderen Schriften aus dem Dunstkreis dieses Werkes verwechselt wurde. Infolge dieser Entwicklung trat die Kosmographie im späteren Mittelalter und der beginnenden Neuzeit zunehmend in den Hintergrund, auch wenn ihre Überlieferung durchaus reichhaltig war.
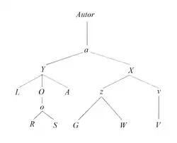
Mitte des 19. Jh. begann eine intensive wissenschaftliche Auseinandersetzung mit dem Inhalt und der Überlieferung der Kosmographie, maßgeblich angestoßen durch Marie-Armand d’Avezac. Dieser veröffentlichte eine erste Edition, die auf mehreren Codices basierte und von einem ausführlichen kritischen Kommentar begleitet wurde, und legte damit den Grundstein für die moderne, systematische Erforschung des Textes. Kurz darauf beschäftigte sich Karl A.F. Pertz mit der Überlieferung und erstellte einen vielbeachteten Katalog von 44 Textträgern, der später jedoch mehrfach revidiert werden musste. Einen weiteren wesentlichen Fortschritt erzielte schließlich Wuttke, dessen Edition auf drei vergleichsweise alten Handschriften sowie den Vorarbeiten d’Avezacs beruhte und einen qualitativen Durchbruch darstellte; sie gilt bis heute als Meilenstein in der Erforschung der Überlieferung der Kosmographie.[20] Neben den 5 Haupthandschriften[21] aus dem 8. und 9. Jh. bestehen mehr als 30 jüngere Textzeugen. Dabei bestehen Prinz zufolge zwei Überlieferungsstränge, welche als G-W und L-O bezeichnet werden. Diese haben sich offenbar früh in der Überlieferungsgeschichte des Werkes herausgebildet. Im Folgenden sollten die Überlieferungszusammenhänge näher erläutert werden.[22]

Der erste, qualitativ hochwertigere Überlieferungsstrang G–W umfasst die Handschriften aus St. Gallen (G = St. Gallen, Stiftsbibliothek Nr. 133) und Wolfenbüttel (W = Wolfenbüttel, Herzog August Bibliothek, Cod. Guelf. 80.6 Aug. 8°). Diese beiden Codices werden als eng miteinander verwandt betrachtet, unter anderem, weil sie jeweils nur etwa ein Drittel des gesamten Werks enthalten. Nach Prinz lassen sich beide auf eine gemeinsame, verlorene Vorlage (z) zurückführen, die vermutlich bereits eine verkürzte Fassung des ursprünglichen Textes darstellte. Zudem vermutet Prinz, dass zwischen dem Originaltext, dem Archetypus (a), und der Vorlage (z) des Überlieferungsstrangs G–W mindestens eine Zwischenstufe (X) existierte. Auf diese Zwischenstufe geht seiner Auffassung nach – vermittelt über eine weitere Zwischenstufe (v) – auch der vollständige Leidener Codex V (Leiden, Universitätsbibliothek, Voss. lat. F 113) zurück.
Der Überlieferungsweg lässt sich demnach folgendermaßen rekonstruieren: Vom Archetypus (a) leitet sich die Zwischenstufe X ab, von der zwei Zweige ausgehen. Der eine Zweig (v) führt zum Leidener Codex V, während der andere Zweig (z) zur St. Galler Handschrift (G) und zur Wolfenbütteler Handschrift (W) führt.
Der zweite Überlieferungsstrang, der die Handschriften aus Leipzig (L = Leipzig, Stadtbibliothek, Rep. I 4° 72) und Oxford (O = Oxford, Bodleian Library, Junius 25) umfasst, lässt sich nach Prinz auf einen gemeinsamen Archetypus (Y) zurückführen. Im späteren Verlauf der Überlieferung erlangte die Oxford-Handschrift (O) größere Bedeutung. Auf sie gehen – vermittelt über eine verlorene Zwischenvorlage (o) – sowohl die Vaticana-Handschrift (R = Vaticana, Reg. lat. 1260 (497)), die im 10. Jh. in der Bretagne entstanden ist, als auch der Codex Scaligeranus (S = Leiden, Universitätsbibliothek, Cod. Scaligeranus 69),[23] der im Skriptorium von St. Augustine in Canterbury gefertigt wurde, zurück. Auch das von Winfried Stelzer in Admont entdeckte Fragment (A = Admont, Stiftsbibliothek, Frag. Cod. 472) lässt sich nach Prinz auf die verlorene Vorlage Y zurückführen.
Herren folgt dieser Deutung weitgehend, geht aber davon aus, dass die Vorlage der Zwischenstufen X und Y nicht direkt von einem glossierten und revidierten Autorenexemplar abstammt, sondern von einem interpolierten Intermediär. Damit verschiebt er die Überlieferungsgeschichte des Werks um eine weitere Stufe nach hinten und kommt so zu einem früheren Entstehungsdatum.[24]
Konzept, Motive und Inhalt
Narrative Struktur und stilistische Differenzierung

Der anonyme Autor des Werkes inszeniert zwei zentrale Figuren: Aethicus und Hieronymus, den Presbyter, die beide in der ersten Person sprechen. „Hieronymus“, dessen Stimme der Autor übernimmt, gibt den narrativen Rahmen vor, sodass der Leser Aethicus hauptsächlich durch seine Augen erlebt. Aethicus wird überwiegend indirekt zitiert, wobei in Ausnahmefällen auch seine direkte Rede zugelassen wird. In diesen Momenten verschwimmt der narrative Rahmen, und Aethicus spricht scheinbar in eigener Stimme.[25]
Die Kosmographie des Aethicus zeichnet sich weiterhin durch eine originelle Struktur und ein schwer fassbares Genre aus. Dieses wird häufig als eine Mischung aus einer Kosmographie und einem Reise- oder Philosophenroman gedeutet, oder als Satire auf diese.[26]
Der Verfasser inszeniert sich durchaus nicht unerfolgreich[27] als Kirchenvater Hieronymus und schafft eine fiktive Ausgangssituation, in der er vorgibt, ein ursprünglich griechisches Werk eines heidnischen Sophisten zu übersetzen, zu kommentieren und zu überarbeiten. Dabei betont er immer wieder, allzu unglaubwürdige oder für den katholischen Glauben gefährliche Passagen getilgt zu haben.[28] Nach Herren präsentiert sich das Werk dabei “as a kind of Supplementband to the Old Testament and Josephus’s Jewish Antiquities”.[29]
Im Rahmen seiner literarischen Konstruktion gelingt dem Autor eine eindrucksvolle stilistische und sprachliche Ausdifferenzierung, die sich in drei deutlich unterscheidbaren Stilebenen manifestiert.[30] „Hieronymus“ tritt als auktorialer Ich-Erzähler auf, unterbricht die Handlung mit autobiografischen Einschüben und nimmt eine ambivalente Haltung gegenüber Aethicus ein: Einerseits kritisiert er dessen Berichte als unglaubwürdig und schädlich für den Glauben, andererseits lobt er Aethicus’ Kühnheit, Gründlichkeit und Originalität. Die Passagen, in denen Aethicus von „Hieronymus“ mit Polemik überzogen wird, sind sprachlich am einfachsten gehalten.[31] Aethicus selbst spricht in einem pathetischen, schwülstigen und orakelhaften Stil, der reich an Anspielungen ist. Demgegenüber sind die Passagen des Hieronymus durch das Vokabular der Vulgata sowie der patristischen Literatur geprägt. In den Abschnitten, in denen die Schilderungen des Aethicus zusammengefasst werden, entsteht der Eindruck, Hieronymus imitiere dessen schwülstigen Stil.[32] Auffällig ist dabei die Verwendung von charakteristischen Ausdrücken des historischen Hieronymus, etwa latrare für scharfe Kritik an Gegnern oder inenarrabilis zur Betonung der unbegreiflichen Mysterien der Heiligen Schrift. Zudem wird in c. 58b[33] auf den berühmten Traum des Kirchenvaters angespielt, der in Epistula 22 festgehalten ist und Donatus, der der Lehrer des historischen Hieronymus war, in c. 66c vom Autor vom als sein paedagogus bezeichnet. In weiteren Abschnitten werden Zitate aus Hieronymus’ Briefen als eigene Aussagen ausgegeben, etwa in c. 17, wo auf Epistula 53 Bezug genommen wird. Durch diese narrativen Techniken gelingt es dem Autor, das Werk als authentische Schrift des Kirchenvaters Hieronymus erscheinen zu lassen.[34] Weiterhin bedient sich der Autor der Autorität zahlreicher realer und erfundener Autoritäten, darunter Augustinus, Josephus und Lukan (siehe dazu den Abschnitt Quellen und deren Auswertung). Auch Aethicus selbst wird mit einer fiktiven Bibliographie versehen.[35] Darüber hinaus glaubt Herren im Werk eine bewusste Teleskopierung der Zeit, die durch den beinahe unverhohlenen Einsatz von Anachronismen erzielt wird, zu erkennen.[36]
Zentrale Themen und Motive
Die Schrift zeichnet sich durch eine kunstvolle Verflechtung von Fiktion, Realität sowie christlichen und heidnischen Motiven aus.[37] „Hieronymus“ fungiert als kommentierender Vermittler der fantastischen Berichte des Aethicus und erzeugt so eine doppelte Perspektive: als christlicher Leser und moralischer Korrektor des heidnischen Philosophen. Ob sich daraus auch irgendwelche Aussagen zum Zweck der Schrift ableiten lassen, bleibt umstritten; D’Onofrio hat geltend gemacht, dass Hieronymus’ Aufgabe im Werk darin bestehe, antikes Wissen im Sinne christlicher Wahrheit zu läutern und zu bewahren.[38]
Die Auseinandersetzung mit heidnischer Gelehrsamkeit ermöglicht es dem Kosmographen, auch tiefgründige Wahrheiten jenseits der Heiligen Schrift anzusprechen. Es entsteht ein Dialog zwischen antikem philosophischem Wissen, ergänzt um echte und erfundene Zitate, und der rationalen christlichen Kritik. Besonders deutlich wird dieses Spannungsfeld bei der Überführung exotischer Orte und mythischer Völker in apokalyptische und eschatologische Kontexte.[39]
Ein zentrales Anliegen ist die Darstellung der Schöpfungsgeschichte am Beginn des Werkes. Der Verfasser hält sich hier eng an die Lehren der Kirchenväter und zitiert Alcimus wörtlich,[40] mutmaßlich um etwaigen Häresievorwürfen zuvorzukommen.[41] Die Kosmogonie orientiert sich dort deutlich an Augustinus Hibernicus, und beschreibt die Schöpfung aus dem Nichts, Himmel und Hölle sowie den Aufbau des Kosmos.[42]
Der Hauptteil des Werks ist keine eigentliche Kosmographie, sondern eine von „Hieronymus“ kommentierte, episodisch aufgebaute Reiseerzählung des Aethicus.[43] Sie führt über die Inseln des Nordens, südliche Regionen, Westeuropa, Innerasien, den Kaukasus, Griechenland und den Balkan bis nach Indien, Persien, Syrien und Nordafrika, während Italien und Gallien randständig bleiben. Inseln stehen im Werk besonders im Fokus. Auffällig ist weiterhin ein ausführlicher Katalog phantastischer Schiffstypen,[44] der auf ein besonderes Interesse des Autors an Seefahrt hindeuten könnte.[45] Auch Bodenschätze spielen im Werk eine besondere Rolle; die Vegetation und die Sitten der Länder finden besondere Beachtung. Immer wieder sucht Aethicus die Auseinandersetzung, um seine eigene Bildung als die aller umfassendste bestätigt zu finden.[46] Romulus erscheint als Gegner der mythischen Frankenstammväter. Scharfe Polemiken des „Hieronymus“ gegen Häretiker und Heiden sind in den Text eingewoben. In den Kapiteln 105–110 folgt eine zweite Ostreise, anschließend ein kosmographischer Exkurs, der anmutet, als wolle er an den Anfang des Werks gehören. Den Abschluss bildet die Darstellung des sogenannten Alphabets des Aethicus.
Imposante Naturereignisse – Vulkane, Stürme, Schiffbrüche – prägen die Darstellung zu weiten Teilen. Hinzu kommen Lobpreisungen auf Athen, Makedonien, Zypern und Samos.[47] Wegen der Schwierigkeit, Unbekanntes zu benennen, greift der Autor auf Fantasienamen und Neologismen zurück.[48] Gezielte Täuschungen sind ebenfalls zu beobachten, etwa durch die fiktive Erweiterung Europas um die Halbinsel „Titaniam“.[49]
Kapitelzählung und interne Unterteilung
Das Werk zeichnet sich – wie oben bereits dargelegt – durch eine wirre bis chaotische Gestaltung und Strukturierung aus, die ohne eine klare thematische Fokussierung zahlreiche sprunghafte, teils sehr ausführliche Exkurse umfasst. Nicht zuletzt aufgrund dieser unsystematischen Gestaltung ist das Werk nur schwer in Kapitel zu untergliedern. Schon d’Avezac hatte sich um eine solche Einteilung bemüht, scheiterte jedoch an Abgrenzungsschwierigkeiten. Die jüngere und qualitativ deutlich überlegene Ausgabe von Wuttke führte eine willkürliche Unterteilung in Bücher und eine durchgehende Kapitelzählung ein, die sich allein an inhaltlichen Gesichtspunkten orientierte. Diese heute wieder maßgebliche Einteilung führte zu erheblichen Längendifferenzen zwischen den Kapiteln, was insbesondere durch überlange Kapitel eine konsistente Zitierweise erschwerte, sodass die Edition Wuttkes in der Forschung lange überwiegend nicht nach Kapiteln, sondern nach Seiten und Zeilen zitiert wurde.[50] Gleiches gilt auch für Prinzens Edition, welche die Kapiteleinteilung nach Wuttke unbeachtet lässt. Herren hat in seiner Edition lange Kapitel einer weiteren, feineren Untergliederung unterzogen.
Der Autor hat selbst einen rudimentären Gliederungsversuch unternommen, indem er bestimmte Textstellen durch auffällige Hervorhebungen in Majuskeln bzw. Unzialschrift kennzeichnete – eine Praxis, die in den vier ältesten Codices übereinstimmend belegt ist. Aufgrund ihrer formalen Oberflächlichkeit und mangelnden inhaltlichen Kohärenz blieb diese Einteilung jedoch ohne wissenschaftlichen Nutzen und fand in den verschiedenen Editionen keine Berücksichtigung.[51] Jüngere Verbesserungsversuche von Kopisten, wie ein Kapitelverzeichnis im Leidener Codex V,[52] führten zu weiteren Änderungen, aber die Einteilung blieb auch hier uneinheitlich und wirr. Spätere Handschriften wie die Pariser Handschrift 4808 zeigen Textabweichungen und grammatikalische Korrekturen, ohne jedoch eine konsistente Verbesserung der Struktur zu bieten.[53]
Inhaltsbeschreibung
Proöm (c. 1–2)
Zu Beginn des Werks betont „Hieronymus“ seinen Eifer, sich mit Philosophie und den Schriften gelehrter Autoren zu befassen – insbesondere mit anspruchsvollen Themen wie Himmelserscheinungen, die er als besonders faszinierend erachte. Im Rahmen dieser Untersuchungen wolle er sich insbesondere mit dem Kosmographen Aethicus auseinandersetzen, den er als Philosophen aus Istrien vorstellt. Dieser habe neben seiner „Kosmographie“ unter anderem auch ein weiteres größeres Werk mit dem Titel Sopogramos, „Weisheitsschriften“, verfasst.

Im Mittelpunkt der nachfolgenden Untersuchung stünden dabei all jene kosmologischen und astronomischen Themen, die bei Moses und in den Schriften des Alten Testaments entweder vernachlässigt oder gar gänzlich unerwähnt geblieben seien. Gleichwohl treten im weiteren Verlauf der Darstellung immer häufiger auch in der Bibel beschriebene Orte auf. Abschließend bittet „Hieronymus“ um Nachsicht und hofft, nicht als unklug zu gelten, sollte er durch die Verbindung eigener Überlegungen mit den Erkenntnissen anderer Gelehrter den Eindruck erwecken, deren Leistungen zu vereinnahmen.[54]
Kosmographischer Teil (c. 3–23)
Bemerkung zum ersten kosmographischen Teil
Michael W. Herren hat, wie oben bereits kurz dargelegt, darauf hingewiesen, dass der Titel Cosmografia gewissermaßen irreführend ist, da nur ein kleiner Teil des Werkes tatsächlich eine kosmographische Abhandlung darstellt. Der Hauptteil besteht aus einer Reiseerzählung, in der die Oikumene und ihre Bewohner beschrieben werden; die kosmographische Einleitung dient offenbar auch dem besseren Verständnis geographischer Phänomene. So wird erklärt, warum der Norden durch ständige Verunreinigung unbewohnbar ist: Die dort verortete Hölle, unmittelbar unter der Erdoberfläche, vergiftet die Luft und erhitzt das Wasser, sodass keine Fische gedeihen können; sie steht über den Acheron mit dem Weltozean in Verbindung (c. 59b–59c). Auch Aethicus’ Abbruch der Reise in den fernen Osten wird erklärt (c. 23): Die Nähe zur Titanischen Pforte, durch die die Sonne täglich tritt (c. 18), macht das Meer dort unpassierbar.[55]
Kosmogonie, Höllensturz und Beschreibung der Weltordnung (c. 3–23)
Der kosmogonische Abschnitt des Werkes (c. 3–23) entfaltet ein in seiner Vollständigkeit staunenswertes Bild des Universums. Seinen Anfang nimmt dieser Teil in der Darstellung der Schöpfung (c. 3), welche zu den rätselhaftesten und schwer zugänglichsten Passagen des gesamten Werkes zählt. Die ohnehin nur mit Mühe verständlichen Ausführungen werden durch den mangelhaften Zustand der Überlieferung zusätzlich verdunkelt. Der Verfasser stützt sich hierbei offenbar im Wesentlichen auf das Werk De mirabilibus sacrae scripturae des Pseudo-Augustinus, welches, unter Rückgriff auf echte Schriften des Augustinus, im Konkreten dessen Genesiskommentar, die Lehre von einer von Gott aus dem Nichts erschaffenen, ungeformten Urmaterie vertritt, aus welcher dann mittelbar alle Arten von Geschöpfen und Dingen hervorgegangen seien. Zudem greift er ganz explizit auf Alcimus von Vienne (c. 11, 12) zurück, welchen er offenbar mit dem in Epistula 74, 79, 106 oder 124 genannten Avitus, bzw. Aviti verwechselt.[56]
Der Text legt dar, dass aus dem oberen, dem besten Teil, dieser Urmasse die neun Engelshierarchien und auch das himmlische Paradies[57] geschaffen wurde. Die gefallenen Engel, die Kreaturen der Hölle seien von Gott hingegen aus dem schlechteren Teil der Urmaterie geformt worden (c. 4, 10). Ihr Platz wird dereinst von den Heiligen eingenommen werden (c. 4, 11b).[58] Unabhängig von diesen zehn bzw. neun Engelsordnungen kennt der Kosmograph sechs Himmlische Reiche (c. 8).[59]
Der Kosmograph berichtet, die Erschaffung des Teufels sei Gottes Erstlingstat nach der Formung der Urmaterie gewesen. Noch vor allen anderen Geistwesen habe Gott ihn ins Dasein gerufen und mit dem höchsten Rang versehen. Unmittelbar nach seiner Erschaffung jedoch habe sich dieser – durch seinen Stolz verdorben – gegen Gott erhoben und sei daraufhin gestürzt worden. Seither sei der höchste Engelsrang an der Spitze aller Himmel unbesetzt (c. 9–10a).[60]
%252C_fol._64_-_Ausschnitt.png)
Die Hölle (c. 5), unterhalb der Erde gelegen, ist nach den vier Himmelsrichtungen gegliedert, wobei jedem Teil eine spezifische Funktion zukommt. Der nördliche Bereich – von Feuer und Schwefel erfüllt – sei der schrecklichste, was dem im Werk durchgängig negativ bewerteten Norden entspricht.[61] Der Süden enthalte „vergängliches Feuer“, das der Sündenläuterung dient und somit dem Fegefeuer entspricht. Die westliche Region werde als „Feuersee“ bzw. „Untergang der Gottlosen“ beschrieben, wo Qualen wie Abgründe, eisige Kälte und das „Zähneklappern“ herrschten. Der östliche Teil wird entweder bewusst ausgespart oder ist im Lauf der Überlieferung verloren gegangen.[62] Die Hölle steht unter der Herrschaft des Teufels selbst, während Engel außen als strenge Wächter eingesetzt sind, um sicherzustellen, dass weder Aufstände ausbrechen noch jemand diesem Ort der Verdammnis entkommen kann (c. 10b).[63]
Der Kosmograph beschreibt das Universum als dreigeteilt, bestehend aus der Erde, der Hölle und dem Himmel, wobei diese drei Teile durch physische Strukturen miteinander verbunden sind. Die Erde tritt im Werk als eine flache Scheibe auf. Die Kontinente werden vom Weltozean umflossen. Dieser wird durch gewaltige Wälle (c. 23) daran gehindert, sich über den Rand der Erdscheibe in den unergründlichen Abgrund zu ergießen. Am östlichen und westlichen Rand der Scheibe finden sich darüber hinaus Portale, durch welche die Sonne am Morgen, bzw. Abend hindurchschreitet (c. 18). Sie scheint auf einer Wolkenbank, die mensa solis, „Tisch der Sonne“ genannt wird, zu ruhen (c. 14). Es ist aber auch denkbar, dass sich der Begriff auf den Verlauf der Sonne oder auf die Vorstellung einer flachen Sonnenscheibe bezieht.[64] Während der Nacht nimmt die Sonne einen südlichen Weg nahe dem Himmel und den Gewässern, um zu ihrem Aufgangspunkt zurückzukehren (c. 14).[65] Den Himmel, der sich über die Erdscheibe spannt und über den Sonne und Mond ziehen, beschreibt der Kosmograph als den niedrigsten der Himmel. Er ist dicht und dick, und an ihm hängen die Sterne, welche dank der Abkühlung der Luft nachts sichtbar werden (c. 14, 15).[66] Die Himmel sind mittels physischer Strukturen mit der Erde verbunden (c. 20). Die Darstellung von Mondfinsternissen in c. 15 ist äußerst umständlich und verquast formuliert. Dabei verwendet der Kosmograph eine Terminologie, die den Eindruck erweckt, die Himmelskörper umkreisten eine kugelförmige Erde.[67] In der Beschreibung dieser Vorgänge folgt er weitgehend Isidor und übernimmt dabei auch dessen Fehler.[68]
In c. 18–23 umreißt der Kosmograph die Grenzen der Oikumene. Die Gegend um das östliche Sonnentor sei unbewohnbar, da von dort eine gewaltige Hitze ausgehe (c. 18). Diese hindert Aethicus auch daran, das im äußersten Osten gelegene, verlorene irdische Paradies aufzusuchen (c. 23).[69] Im Anschluss wendet er sich den äußersten Regionen des Nordens und Südens zu, in denen besonders starke Winde herrschten. Im Norden (c. 19–20) erwähnt er die Inseln Riphar und Chrysolid, die von kalten, schneidenden Winden durchzogen seien und keinerlei Vegetation aufwiesen. Dort erscheine die Sonne in den Sommermonaten Juni und Juli nur als kleiner Funke. Die Region sei bekannt für ihre großen Kristalle und Edelsteine. Demgegenüber beschreibt er den Süden (c. 20) als fruchtbar, rohstoffreich und von Minen durchzogen. Dort seien unter anderem Löwen, Leoparden, giftige Chylixe, Elefanten und Nilpferde beheimatet.[70] Trotz des fruchtbaren Bodens bleibe die südlichste Insel Syrtina (c. 21a) unbewohnt, sei es aufgrund der dort hausenden gefährlichen Kreaturen oder wegen ihrer äußerst geringen Ausdehnung. Die Vegetation sei giftig, und nur wenige Schiffe hätten jemals die Insel erreicht. Aethicus sei es jedoch nach einem Schiffsunglück durch sein astronomisches Wissen gelungen, von dort zu entkommen und das Festland wieder zu erreichen.
Auf dieser Insel befinde sich, so der Kosmograph, auch der gewaltige Berg Austronothium (c. 21b), also der Südpol, den Aethicus bestiegen habe. Die südlichen Hänge des Berges seien von tiefen Schluchten durchzogen, durch welche furchterregende Geräusche hallten. Nach dem Erreichen des Gipfels habe Aethicus beim Blick nach Süden über den Ozean beobachtet, wie der Südwind Wasser aus dem Meer aufwirbele, es in die Luft emportrage und schließlich in Form von Regenschauern über dem Festland niedergehen lasse.[71]
Die Reisen des Aethicus unterbrochen von verschiedenen Exkursen (c. 24–114)
Konzept und Inhalt
Ab Kapitel 23 geht der kosmographische Teil allmählich in den Reiseteil über. Aethicus betont, neben dem Austronothicum auch zuvor beschriebene Phänomene wie die Himmelsportale, die Weltscharniere und den Abgrund selbst untersucht zu haben. Von diesem Punkt an werden Regionen und Völker der bekannten wie auch der unbekannten Welt geschildert. Der Hauptteil des Werkes (c. 24–110) widmet sich überwiegend den Reisen des Protagonisten, unterbrochen von Monologen des Hieronymus sowie einem ausführlichen Exkurs über teils imaginäre, teils historische Schiffstypen (c. 44–57). Innerhalb dieses Abschnitts verschwimmen mehrfach die Grenzen zwischen Kosmographie und Reisebericht, insbesondere in den Darstellungen von Naturkatastrophen und vulkanischer Aktivität (c. 59, 75, 100).
Der Reiseteil gliedert sich in zwei Abschnitte. Die erste Reise (c. 24–104) umfasst den Westen, den Norden und unbekannte östliche Regionen; die zweite (c. 105–111) den Süden sowie jene östlichen Gebiete, die in der Bibel und der Alexandersage beschrieben sind. Die häufigen Interventionen des „Hieronymus“ verstärken den Eindruck, dass Aethicus reale, bislang unbekannte Völker und Orte beschreibt. Zugleich fungiert „Hieronymus“ scheinbar als prüfende Instanz, die Fiktionen und unsichere Behauptungen ausschließt und dadurch letztlich größere Freiheit für spekulative Darstellungen jenseits des tradierten geografischen Wissens eröffnet.[72]
Erste Reise (c. 24–104)
Beschreibungen von realen und fiktiven Ländern und Völkern (c. 24–43)
Aethicus beginnt seine Reisen in Taprobane, was von Herren mit einem möglichen Rückgriff auf die Christianiké Topographía des sogenannten Kosmas Indicopleustes in Verbindung gebracht wird, der dort gesegelt sein soll.[73] Im weiteren Verlauf seiner Reise findet man ihn in der Adria (c. 24), von wo aus er nach Westen segelt, wobei er Rom und Gallien ausspart. Stattdessen begibt er sich nach Cádiz, wo er mit den Philosophen Aurelius und Arbocrates in einen intensiven Rätselaustausch tritt (c. 24). Von dort aus setzt er seine Reise durch die Säulen des Herkules fort, um Galicien herum, bis er die sogenannten „Vacetan-Inseln“[74] erreicht, die offenbar an der Mündung der Loire liegen. Anschließend führt ihn seine Reise weiter nach Irland (c. 25), wo er einige Zeit verweilt, um die Schriften der Inselbewohner zu studieren. Doch Aethicus zeigt sich von den irischen Lehrern und ihren Schriften völlig unbeeindruckt, überzieht die Inselbewohner mit Polemik und betrachtet seinen Aufenthalt als vergeudete Zeit.[75]
Von Irland aus setzt der Philosoph seine Reise nach Thule fort, wobei dessen genaue Lokalisierung ungewiss bleibt; in der Forschung ist mitunter angenommen worden, der Autor könnte hier Island gemeint haben.[76] Sein Weg führt ihn weiter zu den Britischen Inseln (c. 26), die er als Brutanica bezeichnet.[77] Zwar begegnet Aethicus den Bewohnern dieser Regionen mit Ablehnung, gesteht jedoch widerwillig ein, dass sie über bemerkenswerte Fertigkeiten verfügen – insbesondere in den Bereichen Kunst und Bergbau. Die Reise führt ihn sodann durch die Hebriden (c. 27) immer weiter nach Norden, ehe er schließlich die Orkney-Inseln erreicht. Dort entdeckt der Philosoph eine Vielzahl von Minen. Hieronymus, der in diesem Zusammenhang wiederholt als kommentierender Begleiter auftritt, berichtet, dass Aethicus seine Beobachtungen über diese Inseln sowohl in einem Werk mit dem Titel Rure artium appellavit („Das Land der Künste“) als auch in seinen Aenigmata festgehalten habe.[78]
Anschließend (c. 28) begibt sich Aethicus auf die nordische Insel Munitia, wo er einem hundsköpfigen Volk begegnet, über das – wie „Hieronymus“ hervorhebt – ausschließlich der Philosoph selbst berichtet habe. Diese Cynokephalen, die durch ihre Hundsköpfe, ihre außergewöhnliche Körpergröße und ihre furchteinflößende Erscheinung gekennzeichnet sind, werden als Angehörige einer primitiven und moralisch verkommenen Gemeinschaft dargestellt, deren Lebensweise von Unreinheit und Sünde geprägt sei. Als besonders abstoßendes Merkmal dieses Volkes wird der beißende Gestank ausgemacht, der von seinen Angehörigen ausgeht und auf das Einreiben des Körpers mit Fett und Öl zurückzuführen sei. Tributeintreiber und Händler aus Germanien besuchten die Insel regelmäßig und bezeichneten ihre Bewohner als „Chananei“. Die Ernährung der Inselbewohner bestehe vorwiegend aus Ungeziefer, etwa Mäusen und Maulwürfen. Ihre Behausungen seien notdürftig, und sie siedelten bevorzugt in abgelegenen, feuchten Gegenden, vor allem in Sümpfen und schwer zugänglichen Gebieten. Ein markanter Aspekt dieser Rasse sei das Fehlen einer organisierten Religion oder eines etablierten Glaubenssystems. Stattdessen verehrten sie Dämonen und deuteten Vorzeichen, um ihre Handlungen zu bestimmen. Weder gebe es einen König, noch eine strukturierte staatliche Ordnung. Zinn diene ihnen als Ersatz für Silber, an den Küsten der Insel sei Gold zu finden. Landwirtschaft betrieben die Bewohner nicht, doch die Fauna der Insel sei reich an Vieh, Wildvögeln und Schafen. Milch sei im Überfluss vorhanden, Honig hingegen nur in geringen Mengen.[79]
Diese Beschreibung der Cynokephali spiegelt deutlich die talmudische Interpolation des Pseudo-Kallisthenes wider, in der Alexander dem Großen zugeschrieben wird, er habe zweiundzwanzig unreine Völker samt ihren Königen hinter den Toren einer als „Brüste des Nordens“ bezeichneten Bergkette eingeschlossen. Die gleiche Interpolation findet sich auch in der Apokalypse des Pseudo-Methodius, wo die Kynokephalen als eines dieser Völker erwähnt werden. Der Kosmograph behält dabei den unreinen Charakter dieses Volkes bei, trennt sie jedoch von der „Einschluss-Erzählung“ und ordnet ihnen einen eigenen Platz in seiner fiktiven Geografie zu. Die Cynokephalen werden vom Kosmographen mit anderen Gruppen zusammengewürfelt, von denen einige real, andere fiktiv sind – darunter Hunnen, Türken, Alanen, Dänen und Friesen. (c. 29).[80]

Anschließend legt „Hieronymus“ dar, dass der Philosoph Beschreibungen von Völkern und Orten, die in der Heiligen Schrift oder in der „Geschichte“ des Josephus (d. h. den Jüdischen Altertümern) enthalten sind, ausgelassen habe (c. 30). Aethicus, so wird betont, habe die Heilige Schrift gelobt und keine Notwendigkeit gesehen, deren Inhalte zu wiederholen. Stattdessen habe er sich der Darstellung der „Taten und Entdeckungen vieler Künste bei den Völkern des Nordens“ gewidmet. Nach Herren[81] verfolgt diese redaktionelle Fiktion einen doppelten Zweck: Erstens dient sie der Legitimation von „Hieronymus’“ Entscheidung, ein heidnisches Werk zu redigieren und zu veröffentlichen – insbesondere vor dem Hintergrund seines anfänglichen Zögerns in c. 1 – und könnte ihn zugleich von dem Gelübde entlasten, das der historische Hieronymus in Epistula 22 abgelegt hatte, keine profane, heidnische Literatur mehr zu lesen. Zweitens erklärt sie, warum „Hieronymus“ bereit ist, viele von Aethicus’ Behauptungen zu akzeptieren: Ein Heide, der die Heilige Schrift verehrt und als Quelle des Gesetzes betrachtet, erscheint kaum als Lügner. Der anonyme Autor nutzt diese Konstellation geschickt, um den fiktiven Hieronymus als einen um seinen Ruf besorgten, gleichzeitig jedoch leichtgläubigen Charakter darzustellen. Die Ironie wird noch dadurch verstärkt, dass „Hieronymus“ später stellenweise große Skepsis gegenüber Aethicus’ Erzählungen äußert.
Der folgende Abschnitt leitet mit dem Titel „Von den Werkzeugen vieler Künste“ ein, woraufhin der Verfasser seine Ausführungen über die Völker und Inseln des Nordens fortsetzt (c. 31). Wieder begegnet eine Vermischung von realen und erfundenen Orten und Völkern. Die Sachsen werden als das dümmste aller Völkerschaften des Nordens beschrieben und mit wilden Tieren wie Straußen, Krokodilen und Skorpionen verglichen. Ihr Siedlungsgebiet wird am Nordmeer verortet – einer Region, die in etwa auch den Türken zugeschrieben wird.
Im nachfolgenden Kapitel (c. 32) wird weiter auf das bereits zuvor erwähnte Volk der Türken eingegangen. Aethicus beschreibt sie – die er als Abkömmlinge von Gog und Magog betrachtet – als monströs, abgöttisch und in sexuellen Exzessen sowie Prostitution versinkend. Der Name dieses Volkes leite sich von truculentus (wild, grimmig, grausam) ab. Es sei von hässlicher Gestalt, mit weit auseinanderstehenden Zähnen. Ihre Ernährung bestehe aus allen möglichen Abscheulichkeiten: abgetriebenen menschlichen Föten, dem Fleisch ihrer eigenen Kinder, Zugtieren, Geiern, Eulen, Hunden und Affen. Ihre Körper seien missgestaltet, und sie badeten nie. Sie verwendeten weder Salz noch Getreide. Festtage hätten sie keine – mit Ausnahme eines Tages zu Ehren des Saturn, den sie Morcholom nennen. Auf der Insel Taraconta, einer riesigen Landmasse im Ozean, besäßen sie eine große und gut befestigte Stadt gleichen Namens. Dieses Volk werde in der Zeit des Antichristen große Zerstörung unter den Menschen anrichten. In c. 33 beschreibt der Kosmograph Alexanders vergeblichen Versuch, die Türken gemeinsam mit den anderen unreinen Völkern einzuschließen, sowie dessen Erkenntnis über die furchtbaren Konsequenzen seines Scheiterns. Die Türken erscheinen auch in anderen Werken der Zeit, darunter die Fredegar-Chronik aus der Mitte des 7. Jh. und bei Pseudo-Kallisthenes, wo ihre Abschlachtung durch Alexander beschrieben wird.[82]
Die Erzählung setzt sich mit der Schilderung weiterer „germanischer Inseln“ fort (c. 34) und leitet anschließend zu den Gadarontischen Inseln und deren Bewohnern über (c. 35). Im Gegensatz zu anderen barbarischen Völkern erscheinen die Gadarontaner in einem positiven Licht. Ihre außergewöhnlichen musikalischen Fähigkeiten werden als so beeindruckend geschildert, dass sie mit den Tönen ihrer Messingflöten selbst die Sirenen in ihren Bann ziehen können. Zudem zeichneten sie sich durch herausragende Fertigkeiten im Bergbau und in der Schifffahrt aus. Ihre prächtigen Schiffe, die sogenannten Birrones, seien besonders schnell und widerstandsfähig, sodass sie selbst den heftigsten Stürmen trotzen können. Daran anschließend folgt die Beschreibung der Maeoparan-Inseln, die sich an den Rändern der beiden Tore zum Nördlichen Ozean befänden (c. 36a). Die Bewohner dieser Inseln (c. 36b–36c) seien insbesondere für ihre Fähigkeit bekannt, Unterseeboote (colimphas) zu konstruieren, die sie für piratische Unternehmungen nutzten (c. 36b). Dabei näherten sie sich unbemerkt fremden Schiffen, durchbohrten deren Rumpf von unten und raubten gewaltsam alles Wertvolle an Bord.
In c. 36c erfährt der Leser, dass Alexander der Große selbst einst diese Inseln besucht habe, um mithilfe eines solchen Unterseeboots die Tiefe des Ozeans sowie den Abstand zwischen der Meeresoberfläche und dem Abgrund zu erkunden. Im Zuge dieser Erkundungen habe Alexander Freundschaft mit den einheimischen Völkern geschlossen und große Altäre auf der Insel errichtet. Diese Passage ist eindeutig Pseudo-Kallisthenes entlehnt.[83]
Die anschließende Passage (37a–c) behandelt die Ripharier, deren Name wohl auf die „Riphaeischen“ Berge zurückgeht. Sie werden für ihre Innovationskraft, handwerkliches Geschick und intellektuelle Schärfe gelobt (c. 37d), zugleich aber für ihren Götzendienst getadelt. Besonders Augenmerk liegt auf ihren militärischen Errungenschaften: das ausgeklügelte Belagerungsgerät Bastarma, der gepanzerte Trucurrus sowie raffinierte Methoden zur Unterminierung von Festungen (c. 37a–b). Trotz ihrer Kriegsstärke herrsche innerhalb der Gemeinschaft Frieden; sie besäßen keinen König, sondern würden von mehreren Fürsten regiert (c. 37d). Ein weiterer Abschnitt beschreibt eine Methode zur Beseitigung der giftigen „Lakedämonier“ (c. 37c). Daran anschließend folgen Darstellungen der Inseln Bizas und Crisolida, die von barbarischen Nachkommen Jafets bewohnt werden. Diese Inselvölker seien töricht, grausam, schmutzig und wild und ernährten sich von rohem Fleisch. Ihre Kriegsführung basiere auf einer Täuschungstaktik: Sie gruben riesige Fallgruben, die so geschickt bedeckt seien, dass Feinde beim Vorrücken einbrechen und von verborgenen Lanzen durchbohrt würden (c. 38). Schließlich berichtet der Kosmograph, dass Alexander versucht habe, auch diese Inselvölker gemeinsam mit den anderen zweiundzwanzig unreinen Völkern hinter den Brüsten des Nordens einzuschließen (c. 39). Dieses Vorhaben sei jedoch erfolglos geblieben. Doch sei es ihm gelungen, große Teile der Insulaner grausam niederzumetzeln.[84]
In c. 40–43 wird die Legende von Alexanders des Großen Einschließung der zweiundzwanzig unreinen Völker dargestellt – eine Erzähltradition, die, wie bereits dargelegt, auch in den Werken des Pseudo-Kallisthenes und Pseudo-Methodius bezeugt ist. Der Text schildert Alexanders Konfrontation mit diesen Völkern, die als Nachkommen von Gog und Magog identifiziert und durch ihre Bestialität sowie ihren Kannibalismus charakterisiert werden. Sie erscheinen als Bedrohung der göttlichen Ordnung, was Alexander in tiefe Verzweiflung stürzt. In seiner Not errichtet er auf dem Berg Chelion Altäre, bringt Gott Opfer dar und betet unablässig um göttliche Führung und Gnade. Schließlich erfährt er göttlichen Beistand in Form eines Erdbebens, das die Gebirgsketten an den sogenannten „Brüsten des Nordens“ zusammenschiebt und so einen geeigneten Ort zur Einkerkerung der Völker schafft. Daraufhin greift Alexander zu einer List: Er täuscht einen Friedensschluss vor, und als sich die Völker in trügerischer Sicherheit wiegen, schließt er sie hinter „Toren von wundersamer Größe“ ein, die mit unvermischtem Bitumen versiegelt werden – einem Material, das als nahezu unzerstörbar beschrieben wird. Die Völker verbleiben in dieser Gefangenschaft bis zur Zeit des Antichristen, in der sie ihre Fesseln sprengen und, als Strafe für die Sünden der Menschheit, Tod und Verderben über die Welt bringen (c. 42).[85] Am Ende der Passage (c. 43) warnt Hieronymus eindringlich davor, Aussagen des Aethicus unkritisch zu übernehmen. Er stellt Aethicus dem Mantuanus[86] gleich und charakterisiert beide als geistige Hindernisse, die der Wahrheit im Weg stehen und den Leser in die Irre führen. Ihre Lehren, so „Hieronymus“, müssen letztlich verworfen werden.[87]

Beschreibung verschiedener Schiffstypen (c. 44–57)
Der Verfasser zeigt ein ausgeprägtes Interesse an den mannigfaltigen Typen von Schiffen und widmet ihnen einen ausgedehnten Exkurs, welcher sich sowohl stilistisch als auch inhaltlich merklich vom narrativen Hauptstrang des Werkes abhebt. Dies erinnert an Homers berühmten Schiffskatalog,[88] wenngleich dieser Exkurs ohne direkten Bezug zur eigentlichen Erzählung verbleibt. Einige der beschriebenen Schiffe entstammen offensichtlich dem Schiffskatalog des Isidor von Sevilla in seiner Etymologiae,[89] während andere augenscheinlich der Phantasie des Verfassers entsprungen sind. Skurril mutet insbesondere der Versuch an, die Trireme als ein Gefährt darzustellen, dessen Name daher rühre, dass sie aus drei durch reichlich Eisen miteinander verbundenen Schiffen bestehe – anstatt die übliche Definition von drei übereinanderliegenden Ruderbänken zu bemühen (c. 47). Die sogenannten Rostratae, oder „Bugschiffe“ (c. 49), beschreibt der Autor als Erfindung eines gewissen Grypho, eines Zauberers und Ingenieurs, welcher von den Heiden unter anderem aufgrund der Fertigung bronzener Greifenbilder verehrt worden sei. Diese Schiffe sollen, so die Kosmographie, in der Ära Alexanders Verwendung gefunden haben. Heutigentags seien sie auch im Nordpolarmeer anzutreffen und überträfen in Höhe und Größe die meisten anderen Schiffe. Weiterhin wird ein Schiff mit dem Namen Chimära oder „Hexenschiff“ beschrieben (c. 50), welches mit vier Köpfen ausgestattet sei und dem Zwecke diene, andere Schiffe zu rammen und zum Sinken zu bringen. Ein anderes Gefährt, das unter dem Namen Cameléque bekannt sei, leite seine Bezeichnung von seiner Ähnlichkeit mit dem Kamele her. Es besitze eine in der Mitte gewölbte Struktur, die einem Höcker gleiche, und sei mit kleinen, schrägen Fenstern versehen, welche dazu dienten, den Wind einzufangen und in eine Kammer zu leiten. In dieser Kammer treffe der Wind auf bespannte Häute, welche, durchströmt, einen ohrenbetäubenden Klang erzeugten, der einem Donner gleich sei. Dieses Schiff, so der Kosmograph, sei von Cecrops auf den friesischen Inseln ersonnen worden (c. 55).[90]
Hetzrede des „Hieronymus“ gegen Häretiker und Heiden (c. 58)
Der Text setzt bei c. 58a fort, eingeleitet durch die Kapitelüberschrift DE INSOLIS GENTIVM PLVIMARVMQUE ARTIVM (Über die Inseln der Heiden und ihre zahlreichen Künste). „Hieronymus“ stellt im einleitenden Abschnitt klar, dass er darauf verzichtet habe, alles wiederzugeben, von dem Aethicus berichtet, aus Furcht, Irrtümer einzuführen. Er tadelt die Schriften der antiken Philosophen und beschuldigt sie, die Heilige Schrift ignoriert, bzw. vernachlässigt zu haben. Daran schließt eine ausgedehnte, ungeordnete Polemik gegen Häretiker, Heiden und falsche Lehrer an (c. 58b–c). Diese beginnt mit einem Verweis auf seine eigene Erfahrung mit „verderblichen Schlägen“, eine klare Anspielung auf den berühmten Traum des Kirchenvaters in Epistula 22. Hier gesteht „Hieronymus“ ein, dass auch er der Verdammnis anheimgefallen wäre, hätten ihn nicht „die Schlüssel Davids“ gerettet – eine Metapher, die er Augustinus zuschiebt, aber offenbar vom Konsmographen selbst erfunden worden ist.[91] „Hieronymus“ stellt weiter fest, dass die Werke der antiken Philosophen zwar auch Weisheiten enthalten, vieles aber unter dem Einfluss des Teufels entstanden sei. Daher sei es erforderlich, die verderblichen Lehren vom reinen Wissen zu trennen.
Es folgt eine leidenschaftliche Abrechnung mit den Häretikern Eunomius, Priszillian sowie der sogenannten „istrischen Häresie“, die – eingeführt durch Arculius, Anfianus, Hircanus und Macedonius[92] – eine Fülle von irreführenden und schädlichen Lehren verbreitet habe. Diese führten nicht zur Erkenntnis, sondern in die Irre und damit letztlich nicht ins ewige Leben, sondern in Tod und Verderben. Ursprünglich in Istrien aufgekommen, seien diese Lehren inzwischen bis ins Zentrum der Christenheit, nach Rom, vorgedrungen. In c. 58d betont „Hieronymus“ erneut, lediglich einen Teil dessen festgehalten zu haben, was Aethicus über Japhet und die Völker des Nordens berichtet, und alles, was ihm zweifelhaft erschien, bewusst ausgelassen zu haben.[93]
Weitere reale und fiktive Länder und Völker (c. 59–65)
In c. 59 beschreibt der Kosmograph das unwirtliche Gebiet der Murini in der Nähe des Berges Taurus und des Flusses Acheron. Diese Region wird als lebensfeindlich charakterisiert: Es steigen giftige Dämpfe auf, die nur zur Mittagszeit nicht tödlich sind. Jenseits der Humar-Berge befinde sich der „Abgrund“. Der Acheron wird als Grenze zur Unterwelt beschrieben: Sein Wasser sei schmutzig und von großer Hitze, Tiere und Vögel mieden ihn, und in den umliegenden Bergen gedeihe nichts. Der Nordwind verbreite einen furchtbaren Gestank und beschleunige den Alterungsprozess aller Lebewesen. An das biblische Motiv der Zerstörung Sodoms angelehnt, schildert der Autor eine chaotische Landschaft, in der Feuer, Rauch und Einsturz die natürliche Ordnung auflösen.
In c. 59c thematisiert der Kosmograph die Wechselwirkung zwischen dem Acheron und dem Ozean. Der Fluss verursache tosende Geräusche und mache das Meer unbefahrbar, was zum Erliegen des Seehandels geführt habe. Die Natur sei lebensfeindlich: Es existierten weder Fische noch Schlangen oder andere Tiere, die Landwirtschaft sei unergiebig, Weinbau und Oliven fehlten vollständig. Die Murini werden als äußerst dumm, hässlich und sehr faul charakterisiert. „Hieronymus“ berichtet, Aethicus sei in die östliche Region dieser Barbaren gereist, um in der einst von Alexander eroberten Stadt Choolismam – offenbar nördlich des Kaspischen Meeres gegen das Nordgebirge gelegen – Gold und Edelsteine zu kaufen. Dort sei Aethicus auf wundersame Kreaturen gestoßen: einäugige Minotauren mit tierischem Hinterleib und menschlichem Vorderkörper. Diese Wesen seien, so Aethicus, wilde Bestien, jedoch kriegstüchtig und im Kampf tödlich (c. 60).[94] Der Text fährt fort mit der Schilderung von Aethicus’ Besuch in der stark befestigten Stadt Trimarchia, die von Mosoc, einem Sohn Japhets, gegründet worden sei. Ihre Bewohner seien hochgewachsen, da von den Riesen abstammend. Die Landwirtschaft sei dürftig, das Wasser bitter, und in den Flüssen fände sich nur Fisch. Dafür gebe es dort reiche Goldminen und schönen Marmor. Die kriegerischen Einwohner seien grausam, mit Zaumzeug vertraut und verfügten über schnelle Pferde, Kamele und Maultiere. Ihre Waffen seien hoch entwickelt (c. 61).[95] In c. 62 beschreibt der Kosmograph weitere barbarische Nachkommen Japhets, deren Frauen schmutzig und moralisch verdorben seien. Es folgt eine Beschreibung der Albaner, deren Siedlungsgebiet sich nicht auf dem Balkan, sondern zwischen dem Kaspischen Meer und dem Nordmeer erstreckt – eine von dichten Wäldern, wilden Tieren und mächtigen Flüssen durchzogene Region. Aethicus zufolge hätten die Bewohner von Geburt an weißes Haar, seien hochgewachsen, kriegerisch und geschickt im Schmieden kunstvoller Waffen. Albania sei reich an Heilpflanzen, goldhaltigem Sand, Kristallen und Edelsteinen, bringe jedoch weder Wein, Öl noch Getreide hervor. Man trinke dort ein starkes alkoholisches Getränk, das mit Honig und Fruchtsaft vermischt werde. Die Hunde der Region seien so kräftig, dass sie selbst Stieren oder Löwen gefährlich werden könnten. Die Albaner seien erfahrene Seefahrer, ihre großen, schwer beladenen Schiffe durchquerten weite Meere (c. 63). In den Bergen habe Aethicus heiße Quellen entdeckt, an deren Ufern bereits zu Zeiten der Giganten uralte Heiligtümer errichtet worden seien. Alexander habe das Volk der Albaner tief verachtet und es beinahe ausgerottet (c. 64).
Die anschließende Schilderung der Gargani (c. 65), deren Siedlungsraum zwischen Albania und dem Kaspischen Tor liegt – langgestreckt, doch schmal und von mächtigen Bergen eingefasst –, konzentriert sich auf deren religiöse Praktiken. Die von beißender Winterkälte geprägte Landschaft sei durchzogen von dunklen Hainen, dichten Wäldern und trügerischen Sümpfen. Die Gargani verehrten Säulen, die Unwesen darstellen, betrieben Weissagung, lauschten Vogelstimmen als Orakel und beteten Sonne und Mond als Götter an. Sie lebten nackt, und ihre Weiber ähnelten jenen der Aethiopier.[96]
„Hieronymus“ als Zensor (c. 66)
In c. 66 (a–d) tritt „Hieronymus“ erneut als Zensor hervor und berichtet, zahlreiche Aussagen über heidnisch-idolatrische Praktiken aus den Schriften des Aethicus getilgt zu haben. Bei der Beschreibung seines Vorgehens schildert „Hieronymus“, dass er den Text mit Anmerkungszeichen und Trennstrichen versehen habe – eine Methode, die offenbar an das Vorgehen des Kirchenvaters bei der Bearbeitung der Heiligen Schrift erinnern soll.[97] Das Endergebnis sei, so „Hieronymus“, eine einheitliche Zusammenstellung – ein einziges Digestum, begleitet von einer Einleitung und Kommentaren. Dabei wird offengelegt, dass Aethicus zwar in griechischen Silben geschrieben, jedoch lateinische Prosodie gebraucht habe. In c. 66b geht „Hieronymus“ auf die Frage ein, ob Fabeln in ein Werk aufgenommen werden sollten, das sich mit „den tiefen, schwierigen und sehr obskuren Themen des Kosmos“ befasst. Seine Argumentation nimmt offenbar Bezug auf Macrobius, der in seinem Kommentar zum Somnium Scipionis ebenfalls die Verwendung von Fabeln problematisiert. Sowohl Macrobius als auch „Hieronymus“ berufen sich auf Platon und Cicero als herausragende Beispiele von Autoren, die Fabeln gezielt nutzen, um tieferliegende Konzepte und Ideen zu vermitteln. Sie und andere heidnische Autoren werden in diesem Abschnitt mit scharfer Polemik überzogen. Gegen Ende der Passage erwähnt „Hieronymus“ Werke mit „Kriegsgesängen“, die farbig illustriert und mit Bildunterschriften versehen sind – möglicherweise eine Anspielung auf ein illustriertes Vergil-Manuskript.
_-_Ausschnitt.png)
Der Monolog des „Hieronymus“ erreicht seinen Höhepunkt in c. 66c, wo der er auf seine eigene Bestrafung – körperliche Züchtigung[98] – für das Vernachlässigen der Heiligen Schrift, seine kurze Affäre mit der Poesie und mit Bewunderung auf seinen Lehrer Donatus zurückblickt. An diesem Punkt ist die Nachahmung des heiligen Hieronymus vollständig ausgeführt. Der Abschnitt endet mit c. 66d, in dem „Hieronymus“ auf das „Alphabet des Aethicus“ verweist und trotz aller vorangegangenen Warnungen Aethicus als einen tiefgründigen, vielseitigen Autor anerkennt. „Hieronymus“ erklärt, aus den umfangreichen Werken des Aethicus ein Kompendium bzw. Exzerpt erstellt zu haben – mit eigenen Erläuterungen, aber in milder Sprache. Sein Ziel sei nicht die blinde Übernahme, sondern die sinnvolle Weitergabe nützlicher Inhalte.[99]
Fortsetzung der Reise (c. 67–101)
Nach dem Eingriff des „Hieronymus“ wendet sich der Text erneut den Reisen des Aethicus zu. Während zuvor die wilden, am Rande der Oikumene lebenden Völker des unbekannten Nordens beschrieben wurden, kehrt der Kosmograph in c. 67 mit der Schilderung der Skythen in bekanntere Gefilde zurück. Die Darstellung der Grenzen Skythiens in c. 67a erscheint jedoch verwirrend, und bereits der Beginn der Schilderung lässt erkennen, dass von einer unmittelbaren Kenntnis dieses Volkes kaum die Rede sein kann. Stattdessen greift der Text auf Topoi zurück, wie sie bereits bei der Darstellung der barbarischen Völker des Nordens verwendet wurden. So werden skythischen Völker etwa als Menschenfleisch verzehrend und Menschenblut trinkend beschrieben; manche Skythenvölker betrieben aber auch Ackerbau. Dies ist besonders bemerkenswert vor dem Hintergrund, dass Aethicus im Werk selbst als Skythe bezeichnet wird.
Es folgt die Schilderung der Greifen, die aus dem hyperboreischen Gebirge stammen und als furchterregende Bestien erscheinen, welche Pferde und Vieh der Skythen reißen und Menschengesichter zerfetzen. Die Skythen hätten jedoch eine ausgeklügelte Methode entwickelt, diese Tiere zu erlegen, was Aethicus, so „Hieronymus“, selbst miterlebt habe (c. 67b). Daran schließt sich eine Beschreibung der Flüsse und des materiellen Reichtums des skythischen Landes an (c. 67c), wobei der Verfasser eine gewisse Eigenständigkeit gegenüber seiner Hauptquelle Isidor erkennen lässt. Der Abschnitt endet mit der Erzählung von Königin Tamaris, die den Perserkönig Darius besiegt habe. Dies bildet den Übergang zu einem längeren Bericht über die Amazonen und ihre Geschichte (c. 67d–68d), der sich weitgehend auf Orosius stützt. Thematisiert werden Herkunft, Wesen, Bewaffnung, Umgang mit Männern, Erziehung der Nachkommen und ihr durch Herkules’ Verrat verursachter Niedergang (c. 68c). Aethicus will selbst die Verstecke der Amazonen besucht haben, wo diese auch Minotauren und Zentauren für den Krieg züchteten. Pseudo-Hieronymus schließt mit dem Hinweis, Aethicus habe mehr über Skythien berichtet als jeder vor ihm (c. 68d).[100]
Aethicus beschreibt sodann die Region Hyrcanien als weitläufig und schwer zugänglich, geprägt von ständigen Erdbeben und gefährlichen Tieren (c. 69). In Armenien habe er sich angeschickt, die Arche wieder aufzubauen, wagte aber nicht, den Berg zu besteigen. Die Gegend sei reich an Gold, Edelsteinen und außergewöhnlichem Wein. Beim Regen auf dem Berg sei ein gewaltiges Dröhnen zu hören. Armenien reiche bis zum Kaspischen Meer. Aethicus erwähnt zerfallene Reiche und lobt einzig Isaurien wegen seines materiellen Wohlstands, guter Gesundheit und fruchtbaren Landes (c. 70). In Kleinasien, so Hieronymus, habe Aethicus illustriertes Pergament entdeckt, das ihn an Werke von Hebion und Mantuanus erinnert hätte (c. 71).[101]
Der längste zusammenhängende Abschnitt des Textes (c. 72–98) ist einer detaillierten Beschreibung Griechenlands gewidmet, einschließlich seiner Festlandsgebiete und Inseln. Aethicus, so Hieronymus, habe das gesamte Land über einen Zeitraum von fünf Jahren bereist und dabei den Austausch mit den Philosophen gesucht. Der geographisch-ethnographischen Darstellung geht eine programmatische Lobrede voraus, die unter dem eigentümlichen Titel „Väterliche Lenden, mütterliche Brüste“ steht. In dichterischer Form entfaltet sich darin ein kulturgeschichtliches Modell, das den Aufstieg und Niedergang Griechenlands in moralphilosophischer Perspektive interpretiert: Die Anfänge sind von Unschuld und Tugend geprägt; Mut und Opferbereitschaft führen zur Größe; letztlich jedoch beschleunigen Habgier und eigennütziges Gehabe den Verfall einer einst so überaus hochstehenden Zivilisation (c. 72, 79). In c. 72b greift „Hieronymus“ erneut in den Text ein und tadelt die antiken Griechen, da sie der heilenden Medizin des Samaritanus noch nicht teilhaft geworden seien. Anschließend (c. 73) folgen kosmographische Motive: Thematisiert werden die Inseln und Berge des „Großen Meeres“, das metaphorisch als Pflanze, Spross, königliches Fischbecken und Mark erscheint – eine Substanz, die die Welt dreifach durchdringe und teile. Aethicus habe durch Zeichen und Wunder erkannt, dass das große Meer ein Abfluss des Abgrunds sei.
In Doppelfersen gekleidet und mittels einer eigens entwickelten Schrift verschlüsselt, habe der Philosoph anschließend seine größte Ingenieursleistung gepriesen: eine zwischen Ionien und Afrika gespannte Brücke, die auf ewigen Bestand ausgelegt sei. Die Passage spielt offensichtlich auf das Alphabet am Ende des Werkes an.[102] In c. 74–75 erfolgt eine Darstellung der geographischen Lage und politischen Zugehörigkeit Griechenlands, Dalmatiens und Galatiens. Daran schließt sich eine Schilderung vulkanischer Bedrohungen an, die von Bergen wie Chimaira, Ätna und Thera ausgehen. Deren schwefelhaltige Ausbrüche werden als fürchterliche Naturgewalten beschrieben, die sowohl das Meer als auch die angrenzenden Küsten heimsuchen. Der Kosmograph liefert eine verquaste Erklärung dafür, weshalb vulkanisches Feuer im Meer nicht erlischt.[103] Die Kapitel 76–78 bieten eine knappe Übersicht über verschiedene Regionen Griechenlands, wobei der Blick zuletzt auf Athen gelenkt wird. Kapitel 79 beginnt mit einem pathetischen Lob der Stadt als Zentrum geistiger Größe, politischer Bedeutung und kultureller Ausstrahlung, verweist jedoch auch kritisch auf das viele in ihrer Geschichte vergossene Blut. Aethicus habe fünf Jahre in Athen zugebracht und dort philosophische Streitgespräche mit einem gewissen Fabius geführt, der als herausragender Denker geschildert wird. Den Abschluss bildet eine kryptische, orakelhafte Passage, in der Aethicus auf einen Aufstand der Istrier gegen ihre ionischen Herren anspielt – möglicherweise eine versteckte Kritik des Kosmographen an der intellektuellen Selbstüberhöhung der Griechen seiner Zeit.[104]

In der daran anschließenden Passage wird Antronia in Böotien beschrieben. Zwar sei die Landschaft fruchtbar, doch ein geheimnisvolles Ungeheuer verursache dort vor allem nachts schwere Erdbeben. In unmittelbarer Nähe liege Theben, berühmt durch seine zahlreichen Kriege, inneren Zwistigkeiten und ausgeprägten Totenkulte. Dort seien Herakles, der als überheblich, raubgierig und gewalttätig beschrieben wird, sowie Apollon, ebenfalls als Räuber charakterisiert, zur Welt gekommen. Zentral stehe die Erzählung vom Mord an einem skythischen Heerführer, der bei einem Gastmahl durch Herakles erschlagen worden sei; dieses trügerische Mahl habe zugleich den Untergang der Skythen besiegelt. Der Text brandmarkt Treubruch und Verrat unter Freunden und erklärt, die finsteren Taten von Herakles und Apollon seien derart scheußlich und abstoßend, dass sie nicht weiter erörtert werden dürften (c. 80).[105] Darauf folgt die Darstellung Thessaliens als Wiege des Pferdezähmens (c. 81).
Nach diesem Abschnitt folgt ein langer Lobpreis auf Makedonien und Alexander den Großen (c. 82a–84b), wobei der Kosmograph offenkundig auf Julius‘ Valerius Res gestae Alexandri Macedonis zurückgreift:[106]
König Philipp sei beunruhigt gewesen ob der wunderbaren Zeichen, die Geburt und Kindheit Alexanders begleitet hätten, und habe zunächst Dichter und Philosophen seines Hofes um Deutung ersucht. Erst die Sibylle habe ihm jedoch Aufschluss geben können: Ein göttlicher Widder habe in nächtlicher Stunde der noch unberührten Königin beigewohnt, woraus der Knabe hervorgegangen sei – ausersehen zur Herrschaft, furchtlos wie ein Löwe und weise wie die Tiefen der Unterwelt. Ihm sei bestimmt, Meere zu durchqueren, Städte zu unterwerfen, Könige und Tyrannen zu stürzen und wie ein Elefant zu zerschmettern. Der Ruhm dieses Kindes werde den Olymp überstrahlen; sein Wissen umfasse das Gewesene, das Gegenwärtige und das Kommende. Überraschend sei sein Schlag, unaufhaltsam sein Zug – ein Krieger göttlicher Art, dem kein Widerstand bleibe. Nach dem Preisgesang in c. 84a hebt c. 84b mit mahnendem Ruf an den großen Helden an, er möge zum Berge Zion zurückkehren. Denn die Völker des Ostens, einst durch seine Macht bezwungen und gebändigt, seien aufs Neue aufgebrochen – auf ihren Dromedaren heimgekehrt – und fluteten nun die Gestade des Mittelmeers. Die Welt bedürfe eines Retters.[107]
Hieronymus berichtet weiter, Aethicus leite den Namen Griechenland nicht von König Graecus ab, sondern von gratificam, in Anspielung auf Fruchtbarkeit und Anmut des Landes (c. 85). Es schließen sich umfangreiche Lobreden auf Zypern (c. 90)[108] und Kreta (c. 91) an; letzteres erscheine als Haupt und Ruhm Griechenlands, frei von Raubtieren und schädlichem Getier wie Wölfen, Bären, Füchsen, Drachen, Löwen, Halbeseln oder Nachteulen. In Kapitel 92 wendet sich der Text der Insel Abidos zu, die nahe bei Kreta oberhalb des Hellesponts liege, wo Xerxes seine Schiffsbrücke errichtet habe. Aethicus habe, so der Kosmograph, behauptet, er könne an eben dieser Stelle – im Unterschied zum Perserkönig – eine dauerhaft tragfähige Brücke erbauen; seine Schüler jedoch hätten die Ausführung verweigert. Daran anschließend folgt die Beschreibung der Insel Kos (c. 93), bekannt durch ihre heilkräftigen Kräuter und Hippokrates’ medizinische Errungenschaften. Hervorgehoben wird zudem ihre Textilkunst, insbesondere die Verarbeitung von Wolle und Leinen. Im Weiteren ist von den Zykladen mit der Hauptstadt Rhodos die Rede (c. 94), deren Inseln eine reiche Vielfalt an Früchten böten. Besonderes Lob erfährt die Schiffsbautechnik der Insel Karpathos (c. 95), die schnelle, mächtige und widerstandsfähige „Palastschiffe“ hervorgebracht habe, ausgestattet mit vielfältigen Waffen.[109] Es folgen Beschreibungen von Kythera und Ikaria (c. 96) sowie von Naxos und Melos (c. 97). In c. 98 preist Aethicus Samos als Geburtsort der Juno, der Samischen Sibylle und des Philosophen Pythagoras. Nach den Zykladen wendet sich der Text Sizilien zu (c. 99), das als fruchtbare, goldreiche Insel geschildert wird.
Im Zentrum der Beschreibung (c. 100) stehe der Ätna, dessen Rauch- und Feuerausbrüche nicht etwa auf eine „brennende Wurzel“, sondern – wie das Feuer des Bergs Chimaira – auf Winde und Schwefel zurückzuführen seien. In der nahegelegenen Meerenge befänden sich die gefährlichen Strudel Skylla und Charybdis, die große Schiffe zerschmetterten. Sizilien sei ein Hort der Tyrannen, die Hauptstadt sei Syrakus. Das sizilische Meer spüle schöne Korallen an, die Flüsse führten Edelsteine.[110] Aethicus wirft den ihm vorausgegangenen Philosophen vor, sich in der Deutung der Ursachen des Vulkanismus geirrt zu haben. Die wahre Wurzel vulkanischer Aktivität liege im Aufsteigen schwefelhaltiger Gase aus einer tiefen Zone zwischen Meer und Abgrund. Dort befänden sich die sogenannten sulphoria baratra – schwefelreiche Spalten oder Hohlräume –, die sich unter zunehmender Hitze wie Schildbuckel wölbten. Steige der Druck infolge innerer Wärme und eindringenden Wassers, bildeten sich Gasblasen. Äußere Winde destabilisierten des Systems zusätzlich. Entzündeten sich die Gase an glühender, schwefelhaltiger Materie, entstünden glutflüssige Massen, weich wie geschmolzenes Blei, die auf festes Gestein träfen. Daraus resultierten gewaltige Explosionen, Aschefontänen sowie ein anhaltender Ausstoß von Rauch, Hitze und tosendem Lärm.[111] Zuletzt (c. 101) schildert der Text mehrere Mittelmeerinseln, darunter Sardinien, die Inseln von Marseille, Korsika, Ibiza und die Balearen. Sardinien sei fruchtbar und frei von gefährlichen Tieren, Korsika zerklüftet, aber reich an Nahrungsmitteln und Mineralien.[112]
Römische Tyrannen auf dem Balkan und die Leiden des Aethicus (c. 102–104)
In c. 102–103 rückt die Balkanregion, konkret Istrien und Albanien, ins Zentrum des Geschehens. Der Kosmograph schildert hier Konflikte zwischen Rom und den Balkanvölkern, wobei das römische Imperium in einem durchweg düsteren Licht erscheint. Vertreten durch Figuren wie Tarquinius Priscus Superbus (!), Romulus, Remus und Numitor, zeigt sich Rom nicht als zivilisierende Kraft, sondern als Quelle von Unterdrückung, Willkür und Gewalt. Ihnen gegenüber stehen die Figuren Francus und Vassus, die sich mit den sogenannten „Albanern“[113] verbünden, jedoch letztlich Romulus unterliegen. Nach dieser Niederlage ziehen die beiden Stammväter über Rhaetien nach Germanien.
Dieser Sieg führt Romulus dazu, seinen Eroberungsfeldzug nach Istrien fortzusetzen, wo er an den Ufern der Donau eine entscheidende Schlacht schlägt, jedoch unter Verlust eines Großteils seiner Armee. Die Passage endet mit einem bewegenden Bericht des Aethicus, der von den Leiden seiner eigenen Familie erzählt, die infolge von Deportationen auf die ionischen Inseln großes Unheil erfahren habe.[114]
Weitere geglückte und misslungene Reisen (Kap. 105–110)
Die Kapitel 105–110 erwecken den Eindruck einer eigenständigen Reise in den Osten. Es wird ein zweiter vergeblicher Versuch des Aethicus geschildert, gemeinsam mit seinen Gefährten die Arche auf dem Gipfel des Berges (!) Kaukasus zu reparieren, mit dem Ziel, einen Teil seiner Gefährten („Brüder“) vor einer möglichen neuen Sintflut zu retten. Doch Aethicus und seine Begleiter scheitern daran, das gesuchte Objekt überhaupt zu finden. Diese Niederlage stürzt Aethicus in eine tiefe Depression, der er schließlich durch übermäßigen Alkoholgenuss zu entkommen sucht. Nächtelang wachen er und seine Gefährten in Armenien – im flackernden Licht von Fackeln, bangend und auf der Hut vor Angriffen der Greifen, Schlangen, Strauße, wilden Ameisen und andere Kreaturen, die den „Schatz der Goldenen Berge“ bewachen.[115]
In c. 106 setzt die Gruppe ihre Reise gen Indien fort und erreicht schließlich eine Region nahe dem Ganges. Dort werden sie von König Ferezis mit großer Gastfreundschaft empfangen.[116] Aethicus und seine Begleiter erhalten Einblick in die Reichtümer des Königs und werden großzügig bewirtet. Auf ihrer weiteren Fahrt auf dem Ganges werden sie von Flusspferden attackiert, die sie jedoch unter dem Einsatz von Wurfgeschossen und durch die Widerstandskraft ihrer Schiffe abwehren können. Aethicus liefert detaillierte Beschreibungen des materiellen Wohlstands sowie der vielfältigen Fauna des Landes – darunter Elefanten, Einhörner, große Vögel und Papageien, die wie Menschen sprechen. Die darauffolgenden Abschnitte (c. 107–110), die unter anderem Parthien, Arabien, Ägypten, Libyen und Samarien thematisieren, zeichnen sich durch eine deutlich reduzierte inhaltliche Tiefe aus. Für Aethiopien weiß der Skythe von Basilisken und Drachen, aus deren Köpfen wertvolle Edelsteine gewonnen werden. In c. 111 setzt ein Kommentar von „Hieronymus“ ein, welcher erläutert, dass Aethicus‘ Reise nicht entsprechend der Schiffsroute um den Ozean angeordnet werden konnte, da manche der beschriebenen Orte auf dem Seeweg nicht erreichbar seien.[117]
Kosmographischer Exkurs (c. 112)
Kapitel 112 beginnt mit der Kapitelüberschrift DE TERRA ET FLATU VENTORUM VENISQUE AQUARUM PARVAM MENTIONEM FECIT (Über die Erde, den Hauch der Winde und die Ströme der Gewässer machte er eine kurze Bemerkung). In diesem kosmographischen Exkurs, der nicht zuletzt durch diese Überschrift zunächst den Anschein erweckt, als sollte er an den Anfang des Werks gesetzt werden. Wie bereits in Ansätzen in der Passage über Sizilien und die Entstehung von Vulkanismus geschehen (c. 99), legt die Figur des Aethicus ihre Vorstellung von der Gestalt des Inneren der Erde dar. Hier wird nun beschrieben, dass nicht nur Sizilien, sondern das ganze Innere der Erde durch ein weit verzweigtes Netzwerk von miteinander verbundenen Tunneln durchzogen sei – eine Idee, die auch bei Pseudo-Augustinus zu finden ist. Dies sei so, weil sich die Erde unter dem Einfluss der Winde wie Teig hebe und senke. Die Winde treiben Meerwasser in die so entstandenen Höhlen, wo es beim Kontakt mit dem feuchten Boden und dem Felsen seine Bitterkeit verlöre. Auch Regenwasser dringt in diese Höhlen ein. Im weiteren Prozess wird das Wasser in der Erde durch die Winde, ähnlich wie bei einem Schwamm, in Bewegung gesetzt und herausgedrückt, wodurch sowohl das Grundwasser als auch oberirdische Quellen gespeist werden. Es wird dabei zwischen den durch diesen Prozess entstandenen Wasserbewegungen und den Gezeiten unterschieden, welche als das „Atmen der Welt“ (c. 100) aufgefasst werden.[118]
Epilog und Alphabet des Aethicus (c. 113)
_-_Ausschnitt.jpg)
Das Werk schließt mit den Worten: „Hier endet das Buch von Aethicus, dem Philosophen und Kosmographen, einem Skythen von Nationalität und Abkomme edler Eltern. Die ethische Philosophie hat bei ihm ihren Ursprung und kam von ihm zu anderen Philosophen.“[119] In mehreren Handschriften geht dem Schlusssatz das sogenannte „Alphabet des Aethicus“ voraus,[120] ein angeblich von Aethicus erfundenes Geheimalphabet, das im Text verschiedentlich erwähnt wird und laut der Figur in Kapitel 66d weder mit den Buchstaben des Hebräischen, Griechischen, Lateinischen, Syrischen, Chaldäischen noch des Ägyptischen übereinstimmt. Dieses Alphabet ist möglicherweise die Ursache für die Legende, Hieronymus habe die altslawische Schrift erfunden.[121]
Der Kosmograph berichtet, dass der Philosophus zu seinen Ehren einen Bericht über den Bau einer Brücke von Ionien nach Afrika in die Form eines Gedichts gekleidet und so verfasst habe, dass die hebräischen Buchstaben zurückgebogen, die griechischen gekrümmt und die lateinischen verdoppelt sowie in kreisförmige Strukturen überführt worden seien, während er in der Mitte dieses Systems die von ihm selbst geschaffenen Zeichen positionierte. Keiner der Gelehrten Griechenlands, die zu jener Zeit für die Lösung verschiedener Rätsel berühmt gewesen seien, habe es daraufhin vermocht, seine Erfindung zu entschlüsseln (c. 73).[122] Pertz[123] hat versucht, eine Verbindung der Zeichen zum glagolitischen Alphabet herzustellen.[124] Hillkowitz[125] hat diese Deutung aufgrund methodischer Schwächen und mangelnder Ähnlichkeit abgelehnt und in seinem zweiten Band eine alternative Erklärung vorgeschlagen. Darin gelangt Hillkowitz – welcher den Kosmographen in seiner Dissertation noch zu einem „Spottvogel“[126] erklärt hatte – nach eingehender philologischer und hermeneutischer Analyse, dem Rückgriff auf umfangreiches Vergleichsmaterial, der Auswertung großer Mengen Literatur und dem Aufbringen höchster Gelehrsamkeit zu dem Schluss, dass die Symbole des Geheimalphabets in engem Zusammenhang mit mystisch-alchemistischen Zauberformeln stehen.[127] Doch gesteht er, mit einer gewissen Besorgnis, „so ganz das ungute Gefühl nicht los[zu]werden, am Ende nur einem Schalk aufgesessen zu sein.“[128] Löwe[129] gelangt in seiner Analyse hingegen zu dem Schluss, dass das Aethicus-Alphabet in einer Beziehung zu den türkischen Runen und einer von Salzburg aus geplanten, aber nichtmehr durchgeführten Avaren-Missionierung steht, welche an die Karantanenmission hätte anschließen sollen. Prinz schließt aufgrund des regen Interesses des Autors an den Türken eine solche Verbindung zu den alttürkischen Runen nicht völlig aus, möchte sie aber höchstens als Inspirationsquelle werten.[130]
Klar ist, dass das Alphabet schon früh einige Beachtung fand, wie der zwischen 779 und 797 in der Abtei von Fleury entstandene Corpus Grammaticorum Latinorum[131] zeigt, was nach Prinz zugleich auch Stelzers Versuch[132] der Wiederbelebung der Virgil-These von Löwe mit Hilfe eines in Admont entdeckten und in Salzburg verfassten Fragmentes der Kosmographie, in dem ebenfalls das Alphabet enthalten ist, widerlegt.[133]
Die Buchstaben sind mit eigentümlichen Bezeichnungen versehen, deren Anfangsbuchstaben bis zum O der lateinischen Alphabetfolge entsprechen. Ab diesem Punkt tritt eine markante Abweichung auf, die von Prinz in Verbindung mit dem griechischen Alphabet gebracht wird, konkret mit dem Buchstaben Xi (Ξ, ξ), der etwa an der entsprechenden Position des griechischen Alphabets zu finden ist und im Gegensatz zu den vorausgegangenen Buchstaben des Alphabets erheblich von seinem lateinischen Pendant auf dieser Höhe abweicht.[134] Auffällig ist, dass zahlreiche der Buchstabennamen kunstvoll gebildete Neologismen darstellen, die morphologische Elemente griechischer und hebräischer Buchstabennomen, die hebräische Pluralendung -th- sowie auslautende Formen wie -y (u) oder -ou kombinieren. Vor diesem Hintergrund erscheint die Angabe, es handle sich um eine eigenständige Neuschöpfung auf Grundlage der im Werk geltend gemachten Einflüsse, durchaus plausibel.[135]
Quellen und deren Auswertung
In der Forschungsgeschichte zur sogenannten „Aethicusfrage“ hat sich kein Thema so nachhaltig in den Vordergrund gedrängt wie die Frage nach den verwendeten Quellen.[136] Bereits die beiden frühesten Editoren, d’Avezac[137] und Wuttke,[138] welche noch von einer Abfassung durch Hieronymus ausgingen, widmeten diesem Aspekt wesentliche Abschnitte ihres kritischen Apparats. Allerdings erkannten sie die Hauptquellen nicht und gelangten deshalb zu grundlegend falschen Schlussfolgerungen. Ebenso behandelte Karl Pertz[139] die Quellenfrage eingehend in seinem Forschungsbeitrag. Der Durchbruch in der Quellenforschung gelang Karl Ludwig Roth,[140] welcher nachwies, dass die Kosmographie in erheblichem Maße aus Isidors Etymologiae schöpft. Damit wurde endgültig die schon von Kunstmann[141] mit gewichtigen Argumenten infrage gestellte Vorstellung verworfen, der Kirchenvater Hieronymus könnte als Autor in Betracht kommen. Eine Folge dieser Einsicht war die Erkenntnis, dass auch die griechische Vorlage eine Erfindung sein müsse. Somit stellte sich also heraus, dass das Werk eine „doppelte Fiktion“[142] darstellt: d. h. die Textpassagen des „Aethicus“ stammen von demselben frühmittelalterlichen Verfasser wie diejenigen des „Hieronymus“ (siehe dazu den Abschnitt Forschungsgeschichte und Debatte um Herkunft und Verfasserschaft).[143]
Ein weiterer entscheidender Fortschritt in der Erforschung der Quellen konnte durch Bruno Krusch erzielt werden,[144] der überzeugend für eine Verbindung zur fränkischen Hofgeschichtsschreibung argumentierte.[145] Im Fokus dieser Beziehung stehen heute insbesondere der Liber historiae Francorum, der Fredegar-Komplex in der von Pippins Oheim Hildebrand veranlassten überarbeiteten Fassung und die Historia Daretis, ein vorgeblicher Augenzeugenbericht des Trojanischen Krieges, der nur in der Handschriftengruppe IV der Fredegarchronik in die laufende Erzählung eingefügt ist.[146] Hillkowitzens zweibändiges Werk[147] brachte die Quellenforschung weiter voran, wenngleich heute weitgehend Einigkeit darüber besteht, dass insbesondere der zweite Band, der viele Jahre nach dem ersten erschienen ist, zu einem wesentlichen Teil spekulative Ansätze verfolgte. Hillkowitz führt in diesem etwa 100 Werke von etwa 70 Autoren als angebliche Quellen der Kosmographie an, wobei er von der Annahme ausgeht, dass der Autor eine große Zahl antiker und frühmittelalterlicher Werke „in ungeheurer Belesenheit“[148] durchgearbeitet hätte, wobei er dem Autor der Kosmographie aufgrund der Vielfalt in den Sprachen der vermeintlich verwendeten Werke eine „geradezu ‚polyglottenhafte‘ Begabung“[149] attestiert. Prinz verweist dementgegen auf den Umstand, dass es sich bei den Parallelstellen in den „meisten Fällen um formale Zufälligkeiten“ handelt, „die gerade bei schwierigen Stellen oder problematischen Wortbildungen wenig oder nichts hergeben“, und erklärt folgerichtig die Konzeption des Werkes für „völlig verfehlt“ – „[l]etzten Endes komm[e] es nur zu einem Herumraten an Hand von Lexika.“[150] Dabei hält Prinz es schon aufgrund der Kriegswirren in der 1. Hälfte des 8. Jh. für ausgeschlossen, dass der Autor in irgendeiner Bibliothek im Frankenreich eine solche Masse und Vielfalt an Literatur habe auffinden können, wie Hillkowitz sie annimmt.[151]
Der Kosmograph zitiert, abgesehen von der Bibel – von deren Sprache das Werk geprägt ist – nur zwei antike Autoren wörtlich. So verweist er auf Lukan,[152] um exotische Tiernamen zu belegen, während er auf Augustinus[153] als Gewährsmann zurückgreift, um den von ihm selbst erfundenen Begriff fissorcha zu erklären. Diese Zitate erweisen sich dabei als Fälschungen.[154] Authentisch ist hingegen die Bezugnahme auf Alcimus Avitus,[155] wobei es sich vermutlich um eine Verwechslung mit den in den Epistulae genannten Aviti handelt.[156]
Weitere antike Autoren wie Mantuanus,[157] Platon, Tullius und (!) Cicero,[158] Josephus[159] und Donat[160] werden zwar namentlich erwähnt, es lässt sich jedoch, wie bei Lukan und Augustinus, keine direkte Verwendung ihrer Werke nachweisen.[161] Daneben erwähnt der Kosmograph eine Vielzahl unbekannter Gelehrter und Häretiker, bei denen es sich mit hoher Wahrscheinlichkeit um Phantasiegestalten handelt, wohl in dem Bemühen, die tatsächlichen Quellen zu verschleiern.[162]
Dieser Versuch der Verschleierung wird besonders deutlich in der Art und Weise, wie er die Entlehnungen aus Isidors Etymologiae – zweifelsfrei seine Hauptquelle – behandelt, indem er Passagen nicht einfach nur übernimmt, sondern inhaltlich erweitert, kürzt oder umdeutet und im Stil verändert. Besonders in den Abschnitten über entlegene Völker und geografische Regionen greift er auf ihren Inhalt zurück, wobei er zu weiten Teilen auch die Reihenfolge der Vorlage beibehält. Auch die Sententiae haben Verwendung gefunden, der Gebrauch des De rerum natura ist hingegen nicht gesichert.[163]
Eine weitere wichtige Quelle ist offenbar die um 700 entstandene lateinische Übersetzung der Revelationes des Pseudo-Methodius, die im Kontext der frühmittelalterlichen Bedrohung durch die Araber und aufgrund ihrer optimistischen Zukunftsaussichten in Europa schnell große Verbreitung finden konnte. Das Werk wird dabei insbesondere im Abschnitt über die Errichtung der Kaspischen Pforten verwendet.[164] Darüber hinaus zeigt sich ein starker Rückgriff auf Orosius, besonders in der Beschreibung Zyperns und den Gebräuchen und den Feldzügen der Amazonen,[165] sowie auf Hieronymus, wobei hier der genaue Umfang etwas unklar bleibt. Neben den Epistulae hat der Kosmograph offenbar auch seine Abhandlung über die hebräische Namen und womöglich auch seine Bibelkommentare gebraucht.[166] Auch Macrobius’ Commentarii in somnium Scipionis scheinen verwendet worden zu sein. Zwar war die Kenntnis dieses Kommentars im 7. und 8. Jh. selten, doch konnten in Bobbio aus dem 8. Jh. stammende Auszüge aus dem ersten Buch des Werks nachgewiesen werden. Nach Herren lasse dies Rückschlüsse auf den möglichen Abfassungsort des Textes zu.[167]
Als weitere Quellen kommen Gregor von Tours,[168] Servius[169] der Liber generationis und der Liber genealogus[170] infrage. Möglich sind Berührungen mit Vergil, Ovid, Silius und Valerius Flaccus, Prudentius, Celsus und Columella sowie Mela, Plinius, Solin und Chalcidius, der Hisparica famina und Virgilius Maro, was sich möglicherweise im Stil und in der Übernahme poetischer Floskeln niedergeschlagen hat.[171] Sicher ist die Verwendung des Werkes des Augustinus Hibernicus in den Passagen über die Schöpfung der Welt.[172] Eine weitere bedeutsame Quelle bilden Glossarien, über deren genaue Abhängigkeitsverhältnisse bisher jedoch nur unzureichende Kenntnisse vorliegen. Der Gebrauch erklärt dabei vor allem den häufigen Einsatz seltener und ungewöhnlicher Worte.[173]
Die Bezüge zu griechischen Autoren sind spärlich und beschränken sich auf wenige Übereinstimmungen, insbesondere mit Aristoteles.[174] Nach Herren könnte der Kosmograph – aufgrund der konzeptuellen Ähnlichkeit – Anleihen an der Christianiké Topographía des sogenannten Kosmas Indicopleustes[175] und Philostrats Vita Apollonii[176] genommen haben.[177] Er sieht weiterhin eine Anspielung auf Pseudo-Kallisthenes, wobei sich daraus noch nicht ergebe, dass der Autor auch des Griechischen mächtig war. Vielmehr nimmt Herren an, dass der Kosmograph diese Werke aus lateinischen Übersetzungen gekannt haben könnte.[178] Insgesamt bleibt die Anzahl der nachweisbaren Quellen gemessen am Umfang des Werkes eher gering. Der Hauptgrund hierfür ist nach Prinz dabei weniger in den schwierigen Bibliotheksverhältnissen des Frankenreiches im 8. Jh. zu suchen, als vielmehr in der literarischen Eigenständigkeit des Verfassers.[179] Auf Basis der verwendeten Quellen und unter Rückgriff auf den Bibliothekskatalog aus dem 9. oder 10. Jh.[180] hat Herren eine Entstehung des Werks in Bobbio rekonstruiert.[181]
Sprache
Die Sprache der Kosmographie ist stark von der Vulgata geprägt und spiegelt deutlich die großen Umwälzungen wider, die das Lateinische seit den Zeiten des Heiligen Hieronymus erlebt hatte. Im 7. Jh. war das Latein, wie es im Frankenreich in Urkunden und Chroniken verwendet wurde, an einem Tiefpunkt angelangt. Vor diesem Hintergrund sieht Prinz in der Kosmographie bereits erste Anzeichen einer langsamen sprachlichen Erholung.[182]
Die Schrift besticht durch eine ungewöhnlich vielfältige Orthographie und zahlreiche grammatische Unregelmäßigkeiten. Insgesamt zählt die Kosmographie wegen des eigenwilligen Umgangs mit dem Lateinischen „zum Schwierigsten, was es in lateinischer Sprache gibt“.[183] Häufig entsteht der wohl durchaus nicht unberechtigte Eindruck, der Kosmograph habe bewusst Morphologie und Syntax verkompliziert, um den Text absichtlich unzugänglich zu gestalten. Diese Tendenz zur Verwirrung ist besonders in den Passagen ausgeprägt, die vorgeblich wörtliche Übersetzungen aus dem Werk des Aethicus darstellen. Hier verwendet der Autor ein besonders verworrenes und schwülstig-pathetisches Latein, wobei „Hieronymus“ die Schuld der fiktiven Vorlage zuschiebt.[184] Der Hauptteil des Werks besteht aus angeblichen Paraphrasen und Kommentaren von „Hieronymus“. Diese sind zwar im Stil an den Kirchenvater – insbesondere seine Briefe – angelehnt, doch ihr Latein ist weit entfernt von deren Eleganz.[185]
Zu den Wirrungen in Morphologie und Syntax treten individuelle Eigenheiten, Nachlässigkeiten und ein deutlicher Wille zur Verunklärung. Zahlreiche Neologismen – teils aus griechischen[186] oder semitischen Wurzeln, teils reine Erfindungen – erwecken den Anschein geheimer Gelehrsamkeit. Gelegentlich zeigt der Autor skurrilen Humor, etwa durch Namensspielereien oder im maßlosen, offensichtlich karikierenden Gebrauch des Stilmittels der Alliteration.[187]
Auffällig in der Sprache der Kosmographie sind Vokalveränderungen, die insbesondere in unbetonter Silbe auftreten. Häufig ist dabei der Vertausch von e und i sowie von o und u. Eigentümlichkeiten lassen sich auch im Bereich des Konsonantismus feststellen. Besonders griechische Lehnwörter sind oft von einer falschen Aspiration betroffen. Auffallend ist zudem die recht konsequente Verwechslung von æ mit e, während y häufig durch i ersetzt wird. Die Konfusion von Tenues und Mediae tritt ebenfalls auf, ist jedoch vergleichsweise selten.
Die Morphologie der Kosmographie ist durch Flexionsmischungen gekennzeichnet. So wird der Akkusativ Plural der zweiten Deklination häufig auf -us statt -os gebildet. Hinzu kommen Übergänge zwischen den Deklinationen, die auf die Unsicherheit im Umgang mit den klassischen Endungen hinweisen.
Auch die Syntax ist von Unregelmäßigkeiten geprägt. Kongruenzfehler und der häufige Wechsel der Tempora erschweren die Verständlichkeit des Textes. Zudem finden sich häufig pleonastische Ausdrücke.[188]
Der Wortschatz der Kosmographie ist im Wesentlichen von der Bibel geprägt[189] und bemerkenswert vielfältig und kreativ. Der Autor erfindet eine Reihe von Neologismen, die nach den Regeln des klassischen Lateins gebildet sind, wie cruentator oder contignatia, aber auch weniger systematische Formen wie brumericum oder torradica. Einige Begriffe lassen sich auf semitische Sprachen zurückführen, während die wenigen Wörter germanischen Ursprungs durch romanische Vermittlung in den Text gelangt sind.[190] Hibernismen sind nicht nachweisbar,[191] dafür finden sich deutliche galloromanische Elemente.[192]
Der Autor des Textes bemüht sich darüber hinaus, durch die extensive Verwendung griechischer und griechischstämmiger Wörter den Anschein zu erwecken, Aethicus sei ein des Griechischen kundiger Philosoph, dessen Werk vom heiligen Hieronymus entdeckt, paraphrasiert, stellenweise übersetzt und herausgegeben worden sei. Dabei lassen sich zwei Hauptgruppen des griechischen Vokabulars unterscheiden: zum einen Begriffe, die auch in anderen lateinischen Texten belegt sind, zum anderen solche, die entweder ausschließlich in Glossaren erscheinen oder als Neuschöpfungen anzusehen sind. Die erste Gruppe umfasst vornehmlich philosophische, christliche, grammatische und mythologische Termini. Hinzu treten zahlreiche Bezeichnungen für Gesteine, Mineralien und Pflanzen, die anhand ihrer griechischen Namen identifiziert werden können und nahezu ausnahmslos auf Isidors Etymologiae zurückgehen. Zur zweiten Gruppe zählen selten belegte oder in ihrer Bedeutung verschobene Wörter sowie Neologismen, darunter zahlreiche griechisch-lateinische Hybride. Einige dieser Lexeme deuten auf Einflüsse des frühbyzantinischen Griechisch hin und dürften aus den griechischen Dialekten Süditaliens stammen. Neben diesen finden sich auch künstlich gebildete Wörter, von denen manche rein griechischen Ursprungs sind, andere hingegen griechisch-lateinische Mischformen darstellen, etwa archochyram, ideomochus, pachachomis oder termofiles. Einige dieser Formen lassen bewusste sprachspielerische Verfremdungen erkennen, andere verweisen auf ein rein glossarisch vermitteltes Wissen. Ob der Verfasser tatsächlich über aktive Griechischkenntnisse verfügte, bleibt letztlich unklar. Zwar enthält der Text gelegentlich korrekte griechische Formen und grammatische Strukturen, jedoch ebenso zahlreiche Fehler und Missverständnisse. Ein im schulischen Kontext erworbener Teil des Wortschatzes lässt – so Herren – auf die Vermittlung durch einen sprechenden Lehrer schließen. Es könne nicht ausgeschlossen werden, dass der Autor einfache griechische Texte lesen konnte, möglicherweise mit Unterstützung eines Lehrers sowie geeigneter lexikalischer Hilfsmittel. Der Zweck der häufig willkürlichen Verwendung griechischer und griechisch inspirierter Wörter im Text besteht aber offenbar allein darin, den Anschein gelehrter Sprachbeherrschung zu erwecken, ohne dass eine solche tatsächlich vorliegt.[193]
Forschungsgeschichte und Debatte um Herkunft und Verfasserschaft
Frühe Forschungen

Die Rezeption der Kosmographie während des Mittelalters bleibt weitgehend im Dunkeln.[194] Im Mittelalter und der frühen Neuzeit wurde das Werk dann Opfer von Wirrungen,[195] wobei erst durch die Edition von Armand Pascal d’Avezac aus dem Jahr 1852 einige Klarheit in die komplexen Überlieferungszusammenhänge gebracht werden konnte. D’Avezac konstatierte, dass der ursprüngliche Text, der unter dem Verfassernamen des Aethicus firmierte, ab dem Hochmittelalter und insbesondere in der Frühen Neuzeit mit mehreren anderen kosmographischen Werken, darunter auch die anonyme Kosmographie des Julius Honorius und verwandten Werken verschmolz.[196] Diese Konfusion manifestierte sich so umfassend, dass die 1575 in Basel veröffentlichte Editio princeps einer anonymen frühmittelalterlichen Cosmografia, welche eine Kompilation aus der Kosmographie des Julius Honorius und den Historiae des Orosius darstellt, unter dem Titel Aethici Cosmographia erschien.[197] Der Herausgeber Josias Simler hatte dabei offenbar lediglich eine rudimentäre Vorstellung von dem eigentlichen Werk.[198] Diese falsche Zuschreibung wurde auch in den Nachdrucken bis 1684 nicht bemerkt.[199]
Obgleich die Kosmographie des Aethicus zur Zeit der Humanisten und auch in der Zeit danach bis Mitte des 19. Jh. nie gedruckt wurde, blieb sie dennoch präsent, wenn auch kaum rezipiert. In der modernen Forschung ist es im Übrigen üblich geworden, den Verfasser jener bereits erwähnten anonymen Cosmografia, welche in der Vergangenheit häufig mit Aethicus, bzw. Pseudo-Hieronymus aber auch dem Autor der Kosmographie des Julius Honorius verwechselt wurde, unter der Bezeichnung des Pseudo-Aethicus zu führen.[200]
Wenngleich d’Avezac in seiner auf jüngeren Codices basierenden Edition den Text eingehend untersucht hatte, so kamen ihm dabei keine Zweifel an der Autorschaft des Hieronymus oder der Authentizität einer griechischen Vorlage eines skythischen Philosophen Aitikos. Im darauffolgenden Jahr griff Karl A.F. Pertz, basierend auf d’Avezacs Edition, das Thema auf und leistete insbesondere durch seine systematische Erfassung und Analyse der Handschriften einen bedeutenden Beitrag zur Forschung. Auch Pertz vertrat vehement die These, der Heilige Hieronymus sei der Autor der lateinischen Fassung, und identifizierte darüber hinaus den Verfasser der griechischen Vorlage als einen slawischen Gelehrten, insbesondere aufgrund des vermeintlich glagolitischen Alphabets am Ende des Werkes.[201]
Fast zeitgleich präsentierte Heinrich Wuttke eine auf einer soliden handschriftlichen Grundlage beruhende, insbesondere auf drei Codices aus dem ausgehenden 8. bzw. beginnenden 9. Jh. basierende textkritische Edition.[202] Wuttke konnte dabei auf die Erkenntnisse von d’Avezac zurückgreifen, welche er in seinen kritischen Apparat integrierte. In der ausführlichen Einleitung versuchte er eine geographisch orientierte Exegese des komplexen lateinischen Textes und hielt an der Annahme fest, dass Hieronymus als Übersetzer und Bearbeiter einer griechischen Vorlage wirkte. Die Existenz des Philosophen Aethicus und dessen Reise stellte er nicht infrage. Aufgrund der Einbeziehung älterer Codices in seine Edition erhielt der Text jedoch im Vergleich zur Edition von d’Avezac ein deutlich vulgärsprachliches Gepräge, was die Frage nach der stilistischen Übereinstimmung mit Hieronymus’ gepflegtem Latein als problematisch erscheinen ließ. Wuttkes Versuche, diese sprachliche Diskrepanz zu erklären, führten zu konstruierten Interpretationen, die bisweilen ins Absurde abglitten.[203] So erklärte er etwa: „Um das Jahr 400 sprach und schrieb man also schon ein Latein, welches von der Sprache der goldenen Zeit weit abwich. Ein und derselbe Mann mochte jetzt besser, jetzt schlechter schreiben: denn schlecht, sehr schlecht war im allgemeinen die gangbare Ausdrucksweise […] Hieronymus aber arbeitete rasch fort und nahm es in seiner Eilfertigkeit, da wo er sich nicht in die Brust werfen wollte oder wo die Heiligkeit des Gegenstandes ihn nicht ernster stimmte, mit seinen Ausdrücken nicht sonderlich genau.“[204]
Widerlegung der Hieronymus-Zuschreibung
Im Jahr nach der Veröffentlichung der Edition von Wuttke wurde durch die Untersuchung von Friedrich Kunstmann ein bedeutender Fortschritt in der Aethicus-Forschung erzielt. In einer ausführlichen Rezension der Ausgaben von d’Avezac und Wuttke sowie der Arbeit von Pertz stellte dieser fest, dass das Werk nicht dem Kirchenvater Hieronymus zugeschrieben werden könne, indem er darauf hinwies, dass die Kosmographie wörtliche Zitate von Alcimus Avitus, dem mehr als einhundert Jahre jüngeren Bischof von Vienne, enthalte.[205] Wuttke vermochte in seiner „mehr verbissenen als überzeugenden“[206] Erwiderung[207] Darin verwies er auf signifikante stilistische Abweichungen gegenüber der Sprache Hieronymi und kam zu dem Schluss, dass das Werk mit diesem keinerlei Gemeinsamkeit aufweise. Die Sprachgestalt der Kosmographie erinnere vielmehr unverkennbar an merowingische Urkunden. Zudem konstatierte Roth eine deutliche Abhängigkeit des anonymen Verfassers von Isidor.[208] Infolge dieser Erkenntnis ergaben sich zwangsweise Fragen nach der wahren Autorschaft, dem Ursprungsort, insbesondere aber nach der Zielsetzung des Werkes.[209]
Das Werk und die fränkischen Hofgeschichtsschreibung
In der Folgezeit fand das sogenannte Aethicus-Problem zunächst nur noch selten Beachtung in der Forschung. Erwähnenswert scheint ein offenbar unfertiger, postum erschienener Aufsatz von Alfred von Gutschmid,[210] in dem die These aufgestellt wird, die Kosmographie stelle eine mit der Genesis konforme Weltbeschreibung dar, die zwischen 630 und 640 im Frankenreich entstanden sei. Gutschmid nahm jedoch, wie auch Kunstmann,[211] fälschlich an, dass der Autor der Fredegarchronik Inhalte aus der Kosmographie übernommen habe.[212]
Einen Anstoß erhielt die Aethicus-Forschung erst zu Beginn des 20. Jahrhunderts durch Bruno Krusch, der in seiner Einleitung zur Teiledition der Origo Francorum, der fränkischen Stammesgeschichte, eine Anbindung der Kosmographie an die fränkische Hofhistoriographie herausarbeitete. Diese Beobachtung führte ihn zu der Annahme, das Werk in das frühe 8. Jh. datieren zu können. Krusch argumentiert darüber hinaus, dass die von „Hieronymus“ angegebene Herkunft des Aethicus aus Istrien auch auf die Herkunft des Kosmographen selbst hinweise, was er auch mit dem auffälligen Interesse des Kosmographen an den in dieser Region verbreiteten Häresien begründet. Dies passe nicht zuletzt auch gut in den theologischen und kirchenpolitischen Kontext der damaligen Zeit.[213]
Andere Schriften aus dieser Zeit, die sich mit dem Aethicus-Problem auseinandergesetzt haben, brachten nur wenig Neues in die Diskussion ein. Erwähnenswert, weil regelrecht albern[214] scheinen höchstens ein Beitrag von Franz Jostes,[215] welcher die Kosmographie in die „Reihe der hermetischen Götterschriften“[216] einzuordnen sucht und Aethicus für einen Beinamen des Herakles-Saturn hält. Die Heimat des Verfassers verortet er bei den Angelsachsen.
Einen methodisch wichtigeren Beitrag leistete Kurt Hillkowitz mit seiner Dissertation von 1934, die für die weitere Quellenforschung zentral werden sollte. Die Verfasserfrage behandelte er jedoch lediglich am Rande.[217] Der Autor sei ein „Spottvogel […], der eine Parodie auf Erdbeschreibungen verfassen wollte.“[218] Es handle sich beim Verfasser um einen Geistlichen und seine Herkunft sei ins Frankenreich zu verorten. Von dieser Position ist Hillkowitz später abgerückt.
Heinz Löwes Virgil-These
.jpg)
Im Jahr 1951 erhielt die Forschung zu diesem Thema durch einen vielbeachteten Aufsatz von Heinz Löwe einen entscheidenden Impuls, der eine regelrechte Flut an Veröffentlichungen zur Thematik des Zwecks und der Verfasserschaft der Kosmographie lostrat. Er vertrat die These, der Heilige Virgil von Salzburg (um 700–784) sei der Autor der Schrift, und stützte dies auf mehrere Argumente, die im Folgenden näher erläutert werden sollen. Nach Löwe ist die Kosmographie im Kontext einer Klage des Bonifatius beim Papst wegen angeblicher Häresie Virgils zu lesen: Virgil habe – gestützt auf Hieronymus’ Autorität – die Reisebeschreibung als Gegenschrift verfasst, um sich so „späte Genugtuung“ für die durch Bonifatius erlittene Demütigung zu verschaffen.
Der Ire Virgil, welcher womöglich eine Ausbildung im Kloster Iona in Alba erfahren hatte,[219] war wie viele seiner Landsleute, dem Ruf Gottes, die Fremde aufzusuchen gefolgt, und war so 743 in das Frankenreich und von dort aus Ende 745 oder Anfang 746 auf Anweisung des Hausmeiers Pippin (714/15–68) weiter in das Stammesherzogtum Baiern gelangt, wo er nach dem Tod des Bischofs Johannes von Salzburg im Jahre 747 von Herzog Odilo (✝ 748) mit der Leitung des Bistums und der Abtei St. Peter betraut wurde.[220] Da Virgil zunächst die notwendige Weihe entbehrte, übte bis 749 vorübergehend sein ebenfalls aus Irland stammender Begleiter Dobdagrecus[221] das Bischofsamt aus.[222] Unter Virgils, fast 40 Jahre andauernder Leitung der Diözese, gelangte das Bistum Salzburg zu geistiger und kultureller Blüte, zudem konnten Erfolge bei der Missionierung der heidnischen Alpenslaven Karantaniens verbucht werden.[223] Schon bald nach seiner Ankunft in Salzburg geriet Virgil jedoch in einen Konflikt mit dem Angelsachsen und päpstlichen Gesandten und Bevollmächtigten Bonifatius (673–754/755), welcher seit 739 mit dem Aufbau der bairischen Kirchenorganisation betraut war. Konkret ging es bei diesen Auseinandersetzungen um die Gültigkeit grammatikalisch falscher Taufformeln zweier des Latein unkundigen Priester,[224] sowie um eine Lehre des Virgil, wonach eine „andere Welt und andere Menschen unter der Erde seien“, was ihm später häufig als Antipodenlehre ausgelegt wurde[225] – will man Heinz Löwe glauben, so ist nun diese Auseinandersetzung der Grund für die Abfassung die anonymen Reise- bzw. Weltbeschreibung gewesen.
In seinem viel beachteten Aufsatz versuchte Löwe zunächst eine Beziehung zu Glossaren des 8. Jh.[226] nachzuweisen und eine Verbindung zu Baiern,[227] genauer zur Schreibschule des Arbeo von Freising (✝ 784) nachzuweisen, wobei er davon ausging, dass die in Freising verfasste und nun in Leipzig befindliche Aethicus-Handschrift[228] noch unter seinem Episkopat entstanden ist.[229] Eine Abfassung durch Arbeo selbst hielt er jedoch aufgrund „gewisser Eigenheiten in der Glossarbenutzung sowie dem Lautstand seines Lateins“[230] für unwahrscheinlich. Arbeos Latein trüge einen deutlichen italienischen Einschlag,[231] wohingegen sich in der Kosmographie deutliche Spuren hibernischer Orthographie fänden.[232] Zudem orientiere sich der Stil des Werkes stark an Virgilius Maro, dessen Werke insbesondere unter den Iren beliebt gewesen seien.[233] Schließlich sah Löwe in den spärlichen biographischen Angaben zur Figur des Aethicus, in der er den Verfasser selbst zu erblicken glaubt, trotz des Versuchs des Autors „seine eigene Person in undurchdringliches Dunkel [zu] hüllen“, eine Bestätigung seiner These. Demnach sei die Selbstbezeichnung des Aethicus als „Skythe“ eigentlich als „Schotte“ zu lesen. Darüber hinaus könne der Name Aethicus als ein Hinweis auf die Herkunft des Verfassers aus dem Kloster Iona, bei der Insel Tiree, der Ethica insula, an der Westküste Albas oder auf den irischen Namen Etich gedeutet werden.[234] Löwe wies hier außerdem darauf hin, dass „Aethicus Istrien mit dem alten Namen für die Donau, Hister, in Zusammenhang brachte und Histria als Land an der Donau auffaßte“.[235] In diesem Zusammenhang verwies er auch auf eine in der Diözese Augsburg verfassten Handschrift aus dem 9. Jh., in welcher Istria eine Gleichsetzung mit Baiern erfährt. Löwe schloss daraus, dass „[a]ngesichts der Tatsache, daß wir schon auf Grund des Überlieferungsbildes die Entstehung der Kosmographie in Bayern vermuteten, […] dieser Gleichsetzung von Istrien und Bayern doppelte Bedeutung zu[kommte]“.[236] Auf Grundlage dieser Argumente sah Löwe in der Kosmographie den Versuch des Virgil, mithilfe der Autorität des hl. Hieronymus „unerhörte und unbegründete Phantasien“[237] in der Welt zu verbreiten, um damit Vergeltung für die Ablehnung seiner wissenschaftlichen Betätigung zu üben. Gleichzeitig habe die Kosmographie den Zweck verfolgt, „dem ‚Neuen’, ‚Unerhörten’ im geistigen Schaffen entgegen dem üblichen Traditionalismus der Zeit seinen obschon begrenzten Platz zu sichern“.[238] In ihr liege also die Forderung nach einem freieren Umgang mit dem überlieferten antiken Wissen und neuen Erkenntnissen, sowie nach einer Abkehr von enzyklopädischem Gelehrsamkeit und grammatikalischer Pedanterie, als deren Repräsentant Bonifatius erscheinen konnte.[239] Die Belege seien darüber hinaus hinreichend, um die Kosmographie aufgrund ihres irischen Verfassers der „irischen Literatur der Reisebeschreibungen“[240] zuzuordnen.
Frühe Kritik an der Virgil-These und alternative Ansätze
Löwes These fand zunächst breite Zustimmung unter Fachkollegen, stieß jedoch bald auch auf Widerspruch. So wiesen etwa Maartje Draak und Franz Brunhölzl die Annahme zurück, die Kosmographie habe fränkische Geschichtsquellen verwendet, da hierfür keine stichfesten Belege vorlägen. Beide plädieren stattdessen für eine frühere Entstehung des Werkes.[241] In einem bemerkenswert gehässigen[242] Aufsatz vertrat Draak zudem die Auffassung, dass die Kosmographie weder als Täuschung noch als Parodie intendiert gewesen sei. Auch handle es sich bei der Gleichsetzung von Scithae und Scotti um eine moderne Deutung, die dem mittelalterlichen Denken ganz und gar fremd gewesen sei.[243] Das Gleiche gelte auch für die Gleichsetzung von Ethicus mit Etich.[244] Darüber hinaus passe die Abfassung einer solch absonderlichen Spottschrift nicht zum Überlieferten Bild von Virgil als weißen Gelehrten.[245] Im Gegensatz zu Draak wagte Brunhölzl auch eine Neudatierung des Werkes. Ihm zufolge sei das Werk wohl in die frühe 2. Hälfte des 7. Jh. zu datieren, wobei als frühester Zeitpunkt der Abfassung das Todesjahr des Isidor von Sevilla – 636 – infrage komme, da dem Verfasser die Etymologiae ohne Zweifel bekannt gewesen sein müssen.[246] Die Entstehung des Werkes vermutete Brunhölzl im Gebiet des Patriarchats von Aglar, wobei er dabei vage Hinweise auf den Dreikapitelstreit im Passus über Histria[247] und das Auftreten der ältesten Handschrift im damals noch zu diesem Patriarchat gehörigen Freising als Argumente anführte.[248] Gegen die Verfasserschaft eines Iren hat er zudem die fehlenden für Iren typischen Kürzungen und Stilmerkmale sowie die wenigen Zeilen über Hibernia und die darin zu findenden abfälligen Äußerungen[249] betreffend die Inselbewohner geltend gemacht.[250] Die Herkunft des Autors vermutete er schließlich am Unterlauf der Donau, wobei er hierbei – wie auch Löwe – davon ausging, dass der Autor die Gestalt des Aethicus nach sich selbst geformt hat.[251] Träfe dies tatsächlich zu, so wäre die Kosmographie das einzige Werk eines aus Rumänien stammenden Autors des frühen Mittelalters.[252] Möglicherweise habe literarischer Ehrgeiz, das Bedürfnis nach Anerkennung, verletzter Stolz oder ein ähnliches Motiv den weitgereisten Verfasser zu der Niederschrift seines Werkes bewogen, deren Zweck demnach darin liege, den „Unwissenden“, welche seinen Geschichten von der fernen Welt mit Skepsis oder Ablehnung begegnet waren, eine erstaunliche Geschichte zu präsentieren, in welcher er die sonderbaren und unglaublichen Dinge, welche er auf seiner weiten Reise erfahren, erlebt und gesehen hatte „unter dem Deckmantel eines fabelhaften Gelehrten“[253] ins Grenzenlose gesteigert präsentierte. Hillkowitz hat im zweiten Teil seiner für die Quellenfrage unabdingbaren Untersuchung zur Kosmographie von 1973 dementgegen versucht, eine Verbindung zu Theodulfus‘ Carmina nachzuweisen und so eine spätere Entstehung des Werkes um das Ende des 8. Jh. plausibel zu machen.[254] In dem Verfasser glaubte er nun einen Bewohner der Halbinsel Istrien erkennen zu können, welchem schließlich „das ‚bayerische’ Istrien zu seiner […] Wahlheimat wurde.“[255]
Verteidigung der Virgil-These durch Löwe

Löwe verteidigte seine Thesen daraufhin in mehreren Aufsätzen[257] gegen diese unterschiedlichen Einwände und wies dabei sowohl eine Früh- als auch eine Spätdatierung des Werks zurück. Er argumentierte, dass die Kosmographie in der Zeit zwischen 714 und 768 entstanden sein müsse – ein Zeitraum, in dem der Name „Vasconia“ zeitweise auch auf Aquitanien angewendet wurde, was auch in den Salzburger Annalen Niederschlag gefunden hätte.[258] Eine Entstehung in Italien oder im Donauraum sei, insbesondere im Zusammenhang mit einer Frühdatierung, gänzlich unwahrscheinlich, da im Werk Hinweise auf Vasallität und Lehnswesen bestünden[259] – Phänomene, die jedoch erst nach der karolingischen Eroberung ab 774 in Italien Verbreitung fanden.[260]
Die von Hillkowitz vorgeschlagene Verbindung zu Theodulfs Carmina wies Löwe unter Hinweis auf die tatsächlichen Quellen Theodulfus als wenig überzeugend zurück.[261] Seine Annahme eines irischen Ursprungs untermauerte er mit einer Liste mutmaßlich irischer Begriffe und kam erneut zu dem Schluss, dass das Werk dem Genre der irischen Reiseliteratur zuzurechnen sei.[262] In diesen Aufsätzen betonte erneut den Antagonismus zwischen Aethicus und Hieronymus, in dem er Virgil und Bonifatius verkörpert sah,[263] verband das Aethicus-Alphabet mit der Karantanenmission und einer nicht mehr erfolgten Avarenmission[264] – und erklärte schließlich das Rätsel um den Verfasser der Kosmographie für endgültig gelöst.[265]
Weitere Theorien zu Verfasserschaft, Datierung und Abfassungsort
Auch die Verteidigung Löwes sollte nicht ohne Widerspruch bleiben. Bemerkenswert erscheint insbesondere der Einwand von H.L.C. Tristram, wonach der große zeitliche Abstand zwischen dem Streit und dem von Löwe postulierten Abfassungszeitraum der Kosmographie gegen eine Abfassung durch Virgil spricht.[266] Zudem verwies sie auf den eigentümlichen Umstand, dass die Kosmographie (trotz der Nutzung der Etymologiae) keine sphärische Erde beschreibt.[267] Es sei nicht erklärlich, weswegen Virgil seinen Aethicus eine scheibenförmige Welt präsentieren lasse, obgleich er selbst an eine mit Antipoden bevölkerte und damit zwangsweise kugelförmige Welt glaube.[268] Auch wies Tristram die Zuordnung zur irischen Reiseliteratur u. a. mit dem Hinweis auf das Fehlen des typologischen Motives der Suche deutlich zurück[269] und äußerte weiterhin scharfe Kritik an den von Löwe aufgeführten Hibernismen und seiner Methodik.[270] Erneut verwies sie auf den bereits von Brunhölzl geäußerten Einwand, dass ein Ire sich wohl kaum in derart polemischer Weise über seine Heimat geäußert hätte. Auch hinsichtlich der Datierung folgte sie Brunhölzl und verortete das Werk in das 7. Jh. Bei dem Werk handle es sich letztlich um eine zu dieser Zeit populäre Mischform aus Monstrenliteratur, Reisebericht und geografischer Darstellung.[271]
In dieselbe Kerbe schlug auch Otto Prinz in seinem Aufsatz aus dem Jahr 1981[272] und dem Vorwort seiner Edition von 1993.[273] Wie Tristram erkannte auch Prinz in der Sprache der Kosmographie keine Anhaltspunkte für eine irische Herkunft des Verfassers.[274] Stattdessen hielt er es für denkbar, dass der Autor ein Angehöriger des byzantinischen Adels gewesen sei, der dem geistlichen Stand angehört und aus der Region Istrien im weiteren Sinne gestammt habe.[275] Erst später sei er womöglich in das Frankenreich gelangt, wo er bald in Kontakt mit der fränkischen Hofgeschichtsschreibung geriet. Möglicherweise habe der Kosmograph hier schon vor dem Abschluss der dritten Fortsetzung der Fredegarfortsetzung Einblicke in das noch unvollendete Werk erhalten. Nach Prinz sei in der Kosmographie auch eine Tiefe Verachtung des Verfassers für die Bewohner des Westens, seien es die Iren, Angelsachsen oder Franken, gespiegelt. Die Abfassung des Werks habe dem Verfasser eine willkommene Gelegenheit geboten – gestützt auf die Autorität des Hieronymus – diese Völker aufs Schlimmste zu diffamieren und zu beleidigen.[276] Der eigentliche Zweck der Kosmographie liege schlicht darin, den Leser durch einen abwechslungsreichen Abenteuerroman zu unterhalten.[277] Da der Verfasser der Kosmographie aus einem – gemessen an den Bibliotheksverhältnissen der Zeit – umfangreichen Fundus literarischer Quellen schöpft, der die Kapazitäten der Salzburger Klosterbibliothek vermutlich überstieg, sei nach Prinz die Entstehung im dortigen Skriptorium unwahrscheinlich.[278] Stattdessen verortete er sie in das Stift St. Gallen. Die Größe der Abtei hätte es dem Kosmographen auch ermöglicht, sein Tun und Treiben unentdeckt zu lassen, was einerseits wegen der Bezugnahme auf Hieronymus, dessen Autorität sich Virgil angesichts seines hohen geistlichen Amtes wohl kaum bedient hätte,[279] und andererseits wegen seiner Ansichten über Himmel und Hölle, die leicht als Heterodoxie abgestempelt werden konnten, notwendig war[280] – letztlich sei das Werk wohl in die Mitte das 8. Jh. zu datieren[281] und in das Umfeld der fränkischen Hofgeschichtsschreibung zu verorten,[282] der Verfasser selbst müsse aber weiterhin „in geheimnisvolles Dunkel gehüllt bleiben.“[283]
Gab es Aethicus doch? Vittorio Peris Theorie der doppelten Autorschaft
Im Jahr 1984 hat der italienische Historiker und Scriptor Graecus an der Vatikanischen Apostolischen Bibliothek, Vittorio Peri, den originellen Versuch unternommen, die seit Mitte des 19. Jh. als widerlegt geltende These einer doppelten Autorschaft und der Existenz einer antiken Vorlage der Cosmografia zu rehabilitieren.[284] In seinem Aufsatz postulierte Peri, dass die Cosmografia auf die Reiseberichte eines ansonsten unbekannten Autors zurückzuführen sei, den er als „Anonymen Danubianus“ bezeichnet und dessen Herkunft er, ähnlich wie Brunhölzl, in die Region um das Schwarze Meer, konkret an die Dobrudscha, verortete. Dieses ursprüngliche Werk sei in Form eines spätantiken Breviariums überliefert worden und habe einem unbekannten mittelalterlichen Exzerptor als Grundlage für die erhaltene Cosmografia gedient. Darüber hinaus argumentierte Peri, dass sich auch Isidor von Sevilla in seinen Etymologiae auf diese ältere Vorlage gestützt habe. Die Annahme, der mittelalterliche Kompilator habe bewusst die Autorität des heiligen Hieronymus zur Legitimation seines Werkes genutzt, lehnte Peri hingegen ab. Zudem stellte er erneut eine Verbindung zwischen dem glagolitischen Alphabet und dem sogenannten Aethicus-Alphabet am Ende des Werkes her.
Patrick Gautier Dalché[285] hat dieser These noch im Jahr ihrer Veröffentlichung auf überzeugende Weise widersprochen. In seiner Studie zeigte er zunächst erneut auf, dass die überlieferte Cosmografia in hohem Maße von Isidor von Sevillas Etymologiae abhängt, was durch zahlreiche wörtliche Übernahmen und strukturelle Parallelen belegt wird. Dalché wies außerdem nach, dass die von Peri angeführten Textstellen bei Isidor, die angeblich auf eine frühere, unabhängige Cosmografia verweisen, tatsächlich auf andere Quellen wie eine lateinische Übersetzung von Flavius Josephus’ Historia Bezug nehmen. Damit entkräftete er Peris Argumente, Isidor habe eine ältere Version der Cosmografia gekannt.
Dalché widersprach auch deutlich dem Argument Peris, der Verfasser wolle sich nicht als der hl. Hieronymus inszenieren, und zeigte anhand mehrerer Textstellen auf, dass dieser bewusst die Autorität des Kirchenvaters nutzte, um dem Werk Glaubwürdigkeit zu verleihen – etwa durch indirekten Verweise auf dessen Briefe und eine imitatio Hieronymi im Umgang mit heidnischer Philosophie. Zudem kritisierte Dalché Peris geographische Deutungen als spekulativ, da Begriffe wie Histria in der Cosmographia mehrdeutig seien und daher, so Dalché, keine präzise Lokalisierung erlaubten.[286]
Rehabilitationsversuche der Virgil-These
Michael Richter[287] hat hingegen den Versuch unternommen, durch einen Vergleich von hiberno-lateinischen Texten mit der Kosmographie den Nachweis einer Verbindung zwischen der Reisebeschreibung und der irischen Insel zu erbringen.
In seinem Aufsatz stellte er sich klar gegen die Ergebnisse von H.L.C. Tristram und Otto Prinz, die in ihren Untersuchungen der von Löwe aufgeführten Hibernismen zu dem Befund gelangt waren, in der Cosmographia fänden sich keine Anhaltspunkte für eine Herkunft aus Irland. Richter stellte fünf Hibernismen[288] sowie eine Reihe von Wörtern zusammen, die zwar auch außerhalb Irlands vorkommen, dort aber besonders häufig seien. Auf die Orthographie wurde dabei bewusst nicht geachtet.[289] Insgesamt bewertete Richter die Hinweise als ausreichend, die Cosmographia dem hibernischen Kulturkreis zuzuordnen, wies jedoch zugleich darauf hin, „daß damit die Autorschaft Virgils von Salzburg nicht positiv nachgewiesen“[290] sei. Prinz folgend musste dieser Versuch, eine Verbindung nach Irland herzustellen, schon aufgrund seiner methodischen Oberflächlichkeit als gescheitert gelten.[291]
_-_Ausschnitt_2.png)
Im Todesjahr Heinz Löwes 1991, vier Jahrzehnte nach der erstmaligen Formulierung der These in seinem Aufsatz, wonach die Kosmographie vom Iren Virgil verfasst wurde, um eine Polemik gegen Bonifatius zu führen, hat diese viel diskutierte, vornehmlich aber kritisierte These ihren vorerst letzten ernstzunehmenden Versuch der Rehabilitation erfahren. Konkret äußerte sich die Altphilologin Michaela Zelzer in ihrem Aufsatz mit dem programmatischen Titel „‚Quicumque aut quilibet sapiens Aethicum aut Mantuanum legerit’ – Muß der Name des Verfassers der Kosmographie wirklich ‚in geheimnisvolles Dunkel gehüllt bleiben’?“ betreffend die Herkunft des Autors der Kosmographie. In diesem Aufsatz versuchte sie glaubhaft zu machen, dass der im Grunde völlig banale Streit um die fehlerhafte Taufformel der beiden Priester[292] als der eigentliche Grund für die Abfassung der Kosmographie durch Virgil gesehen werden müsse. Der Ire Virgil wollte demnach „dem engstirnigen Grammatiklehrer Bonifatius zeigen, daß es vom Inhalt und nicht von der Sprachform abhängt, ob ein Werk Anklang und Verbreitung findet“.[293] Hierin erblickte Zelzer auch den „Schlüssel zum Verständnis der auffallenden sprachlichen Form seines Werkes“ entdeckt zu haben.[294] Neben dieser ohnehin schon höchst gewagten These vertrat Zelzer die Auffassung einer Entstehung des Werkes in zwei Stufen. Einen Teil des Werkes, welcher identisch mit den Codices aus St. Gallen und Wolfenbüttel[295] sei (beide Codices enthalten nur etwa ein Drittel des Gesamtwerkes und sind auch sonst eng verwandt; siehe Abschnitt Überlieferung oben), habe Bischof Virgil bereits zu Lebzeiten des Bonifatius publiziert, wobei ihm die Abfassung des Werkes „so viel Spaß“[296] bereitet habe, dass er sich schließlich dazu entschlossen hätte, „es später, nach dem Tod des ‚Adressaten’, noch wesentlich zu erweitern.“[297] Zelzer griff erneut Löwes These auf, wonach die Scithae mit den Scotti gleichzusetzen seien und der in der Kosmographie verschiedentlich erwähnte Dichter Vergil mit dem Verfasser identisch sei, der bewusst in Opposition zu Hieronymus, dem Repräsentanten Bonifatius’, stehe. So gebe der Verfasser seine Identität preis, da der Ire Fergal seinen Namen ja in Anlehnung an diesen latinisiert habe.[298] Ferner versuchte Zelzer, wenngleich wenig überzeugend, die Feststellung zu entkräften, dass der Autor der Kosmographie an eine flache Erde geglaubt habe, in der Antipoden folglich gar keine Rolle spielen können. Sie argumentierte dabei, die verworrene Erklärung der Mondfinsternisse in c. 15 belege, dass der Autor nur den Anschein erweckte, an eine flache Erde zu glauben.[299] Unterstützung hat Zelzer neben ihrem Ehemann[300] vor allem durch W. Stelzer,[301] erfahren.
Otto Prinz hat ihre Thesen hingegen als unhaltbar zurückgewiesen und überzeugend zeigen können, dass die Auffassung einer zweiteiligen Abfassung über zwei Jahrzehnte als unmöglich betrachtet werden muss, da die Überlieferung der Behauptung eines höheren Alters der Teilausgaben entgegensteht.[302] Zudem könne der These[303] eines „intellektuellen Gefälles“ zugunsten Virgils gegenüber dem vermeintlich verbohrten Bonifatius leicht das literarische Werk Bonifatius’ entgegengesetzt werden. Für Virgil könne hingegen kein schriftlicher Niederschlag seiner – zweifelsfrei durchaus vorhandenen – Gelehrsamkeit geltend gemacht werden.[304]
Zudem verwies er auf die verbreitete Nachlässigkeit beim Umgang mit bestimmten Textstellen, so sei es im Grunde ausgeschlossen, dass mit Vergil in Wirklichkeit Virgil gemeint sei, da der Kosmograph diesen stets „in Verbindung mit anderen Personen negativ als Exempel für Unglaubwürdigkeit“[305] anführe.[306] Ganz grundsätzlich spreche wenig dafür, dass es sich bei dem Werk um eine Polemik handle, schließlich müsste eine solche so angelegt sein, „daß der Sachverhalt klar erkenntlich ist und nicht so vage angedeutet wird, daß ihn der Opponent kaum und der Leser gar nicht versteht, vielmehr erst die moderne Forschung in subtiler Kleinarbeit ihn zu eruieren versuchen muß, wobei dann das Werk als Ganzes aus dem Auge verloren werden kann.“[307]
Jüngere Forschungstendenzen

In jüngerer Zeit wird der Diskurs um die Verfasserschaft der Kosmographie vor allem durch den kanadischen Historiker Michael W. Herren bestimmt, der 2011 eine kommentierte Edition des Werkes vorgelegt hat.[308] Diese stützt auf die Edition Otto Prinz’ sowie auf die von ihm herangezogenen Handschriften. Herrens Arbeiten zur Kosmographie waren über die Jahre hinweg von mehrfachen Positionswechseln hinsichtlich ihrer Datierung und Verfasserschaft gekennzeichnet.[309] In einem Beitrag von 1994 vertrat Herren zunächst die These, Virgilius Maro habe aus der Kosmographie geschöpft und nicht umgekehrt, woraus eine Entstehung des Werkes nicht später als 658 zu folgen gehabt hätte.[310] Von dieser Frühdatierung rückte er jedoch sukzessive ab[311] und datierte das Werk schließlich in das frühe 8. Jh. Als Belege führt er unter anderem eine mögliche Anspielung auf das um 674 entwickelte Griechische Feuer,[312] die Einführung der doppelten Tributpflicht Zyperns 688,[313] Hinweise auf ketzerische Umtriebe in Istrien[314] sowie die Verwendung des 727 fertiggestellten Liber Historiae Francorum an.[315]
In einem Aufsatz aus dem Jahr 2004 wies Herren die von Otto Prinz vertretene Hypothese zurück, der Verfasser sei ein Angehöriger der byzantinischen Grenzregionen auf dem Balkan gewesen.[316] Diese Annahme erachtete er als nicht tragfähig, da sich im Text keinerlei eindeutige Anhaltspunkte für die Nutzung griechischer Quellen nachweisen ließen. Stattdessen plädierte Herren für eine Identifikation des Autors als gebildeten Franken, der lediglich im Rahmen seiner Ausbildung mit der griechischen Sprache in Berührung gekommen sei.[317] In einer späteren Neubewertung revidierte er jedoch diese Position, indem er einräumte, dass insbesondere die Passage über Istrien[318] auf Erfahrungen mit der byzantinischen Deportationspolitik hindeuten könnte.[319]
Ausgehend von diesen Überlegungen rekonstruierte Herren einen hypothetischen Lebensweg des Kosmographen: Demnach sei dieser um 660 entweder in Istrien oder als Sohn deportierter Istrier geboren worden. Als junger Mann sei er ins Frankenreich gelangt, wo er eine monastische Ausbildung erhalten habe. In den 680er Jahren habe er Reisen nach England – insbesondere nach Malmesbury und Canterbury – sowie nach Irland unternommen. Für diese These beruft sich Herren unter anderem auf einen möglichen Rückgriff auf Werke des Virgilius Maro, der Topographia Christiana und der Hisperica Famina, sowie auf die Angabe, Aethicus habe die Bücher der Iren studiert.[320] Später habe sich der Verfasser in Bobbio[321] niedergelassen, wo ihm auch Literatur aus Bayern und dem Bodenseeraum zugänglich gewesen sei. Dort sei er schließlich um 740 verstorben. Die Abfassung der Cosmographia datiert Herren auf etwa 727, also in das Jahr der Fertigstellung des Liber Historiae Francorum.[322]
Bei dem Werk handelt es sich, so Herren, letztlich um eine satirische Auseinandersetzung mit der Weltbeschreibung des Kosmas Indikopleustes aus dem 6. Jh. und wörtlichen Auslegung der Heiligen Schrift. Wobei der Kosmograph diese Weltbeschreibung über Theodor von Canterbury kennengelernt habe.[323] Die Cosmographia richte sich primär an eine gebildete, internationale Leserschaft, „engaged in the study of Greek, and sensitive to differences in the exegesis of the Bible“.[324]
Editionen
D’Avezac stützte seine Edition auf jüngere Handschriften, insbesondere auf vier Pariser Manuskripte aus dem 11. und 12. Jh. In der Annahme, es handle sich bei dem Text um eine Übersetzung aus dem 4. Jh., bevorzugte er fast durchweg die klassizistischen Korrekturen der späteren Überlieferung und nahm zahlreiche editorische Eingriffe vor. Auch Wuttke intervenierte umfassend im Textbestand und tendierte ebenfalls zu einer klassizistischen Gestaltung. Demgegenüber beschränkte sich Prinz auf minimale Eingriffe in Orthographie und Interpunktion, ließ jedoch zahlreiche Passagen unbeachtet, bei denen einfache Konjekturen den Sinn deutlich hätten klären können. Herren schließlich bewahrte weitgehend die originale Orthographie, griff jedoch systematisch in die Interpunktion ein und nahm häufiger emendatorische Korrekturen unter Berücksichtigung des Sinnzusammenhangs vor.[325]
- Marie Armand Pascal d’ Avezac: Mémoire sur Éthicus et sur les ouvrages cosmographiques intitulés de ce nom. In: Mémoires présentés par divers savants à l’Académie des inscriptions et belles-lettres. Première série, Ser. 1, Bd. 2 (1852), S. 455–551.
- Heinrich Wuttke: Die Kosmographie des Istrier Aithikos, Leipzig 1853.
- Bruno Krusch: Origo Francorum Duplex. Aethici Istri Cosmographi et Codicis Bonnensis Legis Salicae. In: MGH. Scriptores rerum Merovingicarum, Bd. 7, hrsg. v. dems./Wilhelm Levison, Hannover/Leipzig 1920, S. 524–28 [Teilausgabe, entspricht Cosmografia c. 102–104 ed. Wuttke/Herren].
- Otto Prinz: Die Kosmographie des Aethicus (= MGH, Quellen zur Geistesgeschichte des Mittelalters 14), München 1993, S. 87–244.
- Michael W. Herren: The Cosmography of Aethicus Ister. Edition, Translation, and Commentary, Turnhout 2011 [einschließlich Kommentarteil – Übersetzung parallel zum lateinischen Text].
Weblinks
- Geschichtsquellen des deutschen Mittelalters: Chosmografia, Mai 2025 [enthalten ist eine umfassende Literaturliste, die den Großteil der relevanten Forschung zur Thematik abdeckt; der Autor der Schrift wird jedoch fälschlich als Aethicus benannt].
Literatur
- Bruno Krusch: Origo Francorum Duplex. Aethici Istri Cosmographi et Codicis Bonnensis Legis Salicae. In: MGH, Scriptores rerum Merovingicarum, Bd. 7, hrsg. v. dems./Wilhelm Levison, Hannover/Leipzig 1920, S. 517–28.
- Kurt Hillkowitz: Zur Kosmographie des Aethicus (= Kosmographie Teil I), phil. Diss. Bonn, Köln 1934.
- Heinz Löwe: Ein literarischer Widersacher des Bonifatius – Virgil von Salzburg und die Kosmographie des Aethicus Ister. In: Abhandlungen der Geistes- und Sozialwissenschaftlichen Klasse, H. 11 (1951), S. 899–988.
- Franz Brunhölzl: Zur Kosmographie des Aethicus. In: Festschrift für Max Spindler, hrsg. v. Dieter Albrecht, Andreas Kraus/Kurt Reindel, München 1969, S. 75–89.
- Kurt Hillkowitz: Zur Kosmographie des Aethicus (= Kosmographie Teil II), Frankfurt a.M. 1973.
- Heinz Löwe: Salzburg als Zentrum literarischen Schaffens im 8. Jahrhundert. In: Mitteilungen der Gesellschaft für Salzburger Landeskunde, Bd. 115 (1975), S. 99–143.
- Otto Prinz: Untersuchungen zur Überlieferung und zur Orthographie der Kosmographie des Aethicus. In: Deutsche Archiv für Erforschung des Mittelalters, Bd. 37 (1981), S. 474–510.
- Hildegard L.C. Tristram: Ohthere, Wulfstan und der Aethicus Ister. In: Zeitschrift für deutsches Altertum und deutsche Literatur, Bd. 111, H. 3 (1982), S. 153–68.
- Marina Smyth: Das Universum in der Kosmographie des Aethicus Ister. In: Virgil von Salzburg, Missionar und Gelehrter, hrsg. v. Heinz Dopsch/Roswitha Juffinger, Salzburg 1984, S. 170–82.
- Michaela Zelzer: ‚Quicumque aut quilibet sapiens Aethicum aut Mantuanum legerit’ – Muß der Name des Verfassers der Kosmographie wirklich „in geheimnisvolles Dunkel gehüllt bleiben“? In: Wiener Studien, Bd. 104 (1991), S. 183–207.
- Hans Schmeja: Zur Latinität des Aethicus Ister. In: Latin vulgaire - latin tardif III. Actes du IIᵉ Colloque international sur le latin vulgaire et tardif (Innsbruck, 2–5 septembre 1991), hrsg. v. Maria Iliescu/Werner Marxgut, Tübingen 1992, S. 292–305.
- Otto Prinz: Die Kosmographie des Aethicus (= MGH, Quellen zur Geistesgeschichte des Mittelalters, Bd. 14), München 1993.
- Kurt Smolak: Notizen zu Aethicus Ister. In: Filogia mediolatina, Bd. 3 (1996), S. 135–52.
- Michael W. Herren: The ‚Cosmography’ of Aethicus Ister. Speculations about its date, provenance, and audience. In: Nova de veteribus. Mittel- und neulateinische Studien für Paul Gerhard Schmidt, hrsg. v. Andreas Bihrer/Elisabeth Stein, München/Leipzig 2004, S. 79–102.
- Michael W. Herren: The Cosmography of Aethicus Ister, Edition, Translation, and Commentary, Turnhout 2011.
- Michael W. Herren: Philology and Mercury after the Wedding. Truth and Fiction in Three Didactic Works. In: Crafting Knowledge in the Early Medieval Book: Practices of Collecting and Concealing in the Latin West, hrsg. v. Sinéad O’Sullivan/Ciaran Arthur, Turnhout 2023, S. 115–53.
Anmerkungen
- ↑ Michael W. Herren: Wozu diente die Fälschung der Kosmographie des Aethicus? In: Lateinische Kultur im VIII. Jahrhundert. Traube-Gedenkschrift, hrsg. v. Albert Lehner/Walter Berschin, St. Ottilien 1989, S. 145–59, hier S. 149f.
- ↑ Diese Namensvariante erscheint dabei im Werk selbst etwas häufiger als die erstgenannte; Prinz: Geistesgeschichte, MGH, 1993, S. 1.
- ↑ Diese tritt im Werk offenbar als flache Scheibe auf; Smyth: Universum, 1984, S. 170.
- ↑ Vgl. dazu Heinz Löwe: Aethicus Ister und das alttürkische Runenalphabet. In: Deutsches Archiv für Erforschung des Mittelalters, Bd. 32, H. 1 (1976), S. 1–22.
- ↑ Löwe: Widersacher, 1951, S. 907; und Brunhölzl: Zur Kosmographie, 1969, S. 85.
- ↑ Michael W. Herren: Wozu diente die Fälschung der Kosmographie des Aethicus? In: Lateinische Kultur im VIII. Jahrhundert. Traube-Gedenkschrift, hrsg. v. Albert Lehner/Walter Berschin, St. Ottilien 1989, S. 145–59, hier S. 159.
- ↑ Prinz: Überlieferung und Orthographie, 1981, S. 479.
- ↑ Michael W. Herren: Romance Elements in the Latinity of the Cosmography of Aethicus Ister. In: Latin vulgaire – latin tardif VIII. Actes du VIIIe colloque international sur le latin vulgaire et tardif (Oxford, 6–9 septembre 2006), hrsg. v. Roger Wright, Hildesheim u. a. 2008, S. 472–81.
- ↑ Krusch: Origo Francorum duplex, MGH, 1920, S. 517–28. Widersprechend Franz Brunhölzl: Zur Kosmographie, 1969, S. 78–84; und Michael W. Herren: The Cosmography of Aethicus Ister and Ancient Travel Literature. In: The World of Travellers. Exploration and Imagination, hrsg. v. Kees Dekker u. a., Löwen u. a. 2009, S. 5–30, hier S. 5f., 18.
- ↑ Löwe: Widersacher, 1951, S. 905; und ders.: Die „Vacetae insolae“ und die Entstehungszeit der Kosmographie des Aethicus Ister. In: Deutsches Archiv für Erforschung des Mittelalters, Bd. 31, H. 1 (1975), S. 1–16, insbes. S. 13.
- ↑ Herren: Cosmography, 2011, S. lxviii–lxxiii; lxxvi–lxxviii.
- ↑ Löwe: Widersacher, 1951, S. 899–988.
- ↑ Das genaue Wesen dieser Heterodoxie bleibt unklar. Im frühen 17. Jh. wurde sie im Zusammenhang mit der Auseinandersetzung um das kopernikanische Weltbild von Johannes Kepler erstmals mit der Lehre von Gegenfüßlern in Verbindung gebracht; Klaus Anselm Vogel: Sphaera terrae. Das mittelalterliche Bild der Erde und die kosmographische Revolution, phil. Diss., Göttingen 1995, S. 98.
- ↑ Etwa Michaela Zelzer: Geheimnisvolles Dunkel, 1991, S. 183–207; und Winfried Stelzer: Ein Alt-Salzburger Fragment der Kosmographie des Aethicus Ister aus dem 8. Jahrhundert. In: Mitteilungen des Instituts für Österreichische Geschichtsforschung, Bd. 100 (1992), S. 132–49.
- ↑ Brunhölzl: Zur Kosmographie, 1969, S. 75–89.
- ↑ Hillkowitz: Zur Kosmographie II, 1973.
- ↑ Prinz: Überlieferung und Orthographie, 1981, S. 474–510, insbes. S. 508ff.
- ↑ Michael W. Herren: The Cosmography of Aethicus Ister and Ancient Travel Literature. In: The World of Travellers. Exploration and Imagination, hrsg. v. Kees Dekker u. a., Löwen u. a. 2009, S. 5–30.
- ↑ Dazu insbes. Herren: Cosmography, 2011, S. lxi–lxxiii.
- ↑ Prinz: Geistesgeschichte, MGH, 1993, S. 53–55.
- ↑ Es wird in der Literatur oft von 4 oder 5 Haupthandschriften gesprochen. Gemeint sind dabei im Regelfall die Handschriften aus St. Gallen (G), Leipzig (L), Leiden (V), Oxford (O) und Wolfenbüttel (W); gelegentlich wird Leidener Handschrift (V) nicht dazugezählt.
- ↑ Für die Überlieferungszusammenhänge vgl. Prinz: Überlieferung und Orthographie, 1981, S. 476–84 und ders.: Geistesgeschichte, MGH, 1993, S. 55–61.
- ↑ Zu dieser Handschrift vgl. insbes. Andrew Galloway: On the Medieval and Post-Medieval Collation of St. Dunstan’s “Aethicus” (Leiden, Rijksuniv. Bibl. Scaliger 69). In: Scriptorium, Bd. 43, H. 1, S. 106–11. Mit einem umfangreichen Vorwort versehene photostatische Reproduktion der Handschrift bei Terence A. Bishop: Aethici Istrici Cosmographia. Vergilio Salisburgensi rectius adscripta, Amsterdam 1966.
- ↑ Herren: Cosmography, 2011, S. c–cix.
- ↑ Michael W. Herren: Philology and Mercury, 2023, S. 123.
- ↑ Zum Genre und literarischen Verwandtschaften vgl. insbes. Danuta Shanzer: The Cosmographia Attributed to Aethicus Ister as Philosophen- or Reiseroman. In: Insignis sophiae arcator: Essays in Honour of Michael W. Herren on his 65th Birthday, hrsg. v. Gernot R. Wieland u. a., Turnhout 2006, S. 57–86; sowie Herren: Cosmography, 2011, S. xx und ders.: The Cosmography of Aethicus Ister. One more Latin Novel? In: Fictional Traces. Receptions of the Ancient Novel, Bd. 1, hrsg. v. Marília P. Futre Pinheiro/Stephen J. Harrison, Groningen 2011, S. 33–54.
- ↑ Beleg dafür ist nicht zuletzt der Umstand, dass selbst Wuttke noch von der Abfassung durch den Kirchenvater ausging; Prinz: Geistesgeschichte, MGH, 1993, S. 18f.
- ↑ Herren: Cosmography, 2011, S. xvi.
- ↑ Herren: Cosmography, 2011, S. xvi.
- ↑ Dies wurde erstmals von Hildegard L.C. Tristram: Ohthere, Wulfstan, Aethicus Ister, 1982, S. 158; erkannt.
- ↑ Tristram: Ohthere, Wulfstan, Aethicus Ister, 1982, S. 158; Herren: Cosmography, 2011, S. xvi–xvii.
- ↑ Tristram: Ohthere, Wulfstan, Aethicus Ister, 1982, S. 158.
- ↑ Kapitelzählung durchgehend nach der Edition von Herren, 2011.
- ↑ Herren: Cosmography, 2011, S. xvii–xviii.
- ↑ Cosmografia, c. 2, 27; Herren: Cosmography, 2011, S. xviii–xix.
- ↑ Herren: Cosmography, 2011, S. xvii–xviii; ders.: The Cosmography of Aethicus Ister. One more Latin Novel? In: Fictional Traces. Receptions of the Ancient Novel, Bd. 1, hrsg. v. Marília P. Futre Pinheiro/Stephen J. Harrison, Groningen 2011, S. 33–54, hier S. 46f.
- ↑ Zu den Motiven und Themen des Werks vgl. vor allem Prinz: Geistesgeschichte, MGH, 1993, S. 18–22 und Giulio D’Onofrio: La Cosmographia di Etico Ister. In: Storia della Teologia nel Medioevo, Bd. 1, hrsg. v. dems., Casale Monferrato 1996, S. 79–82, hier S. 81f.
- ↑ Giulio D’Onofrio: La Cosmographia di Etico Ister. In: Storia della Teologia nel Medioevo, Bd. 1, hrsg. v. dems., Casale Monferrato 1996, S. 79–82, hier S. 81; vgl. auch Smyth: Universum, 1984, S. 171.
- ↑ Die entsprechenden eschatologischen Passagen werden von Ian Wood: Aethicus Ister. An Exercise in Difference. In: Grenze und Differenz im frühen Mittelalter, hrsg. v. Walter Pohl/Helmut Reimitz, Wien 2000, S. 197–208, hier S. 198; als Hinweis auf die Ernsthaftigkeit der Kosmographie gedeutet. Antti Lampinen: Forging the Feel of Ancient Ethnography in Pseudo-Jerome’s Cosmography of Aethicus Ister. In: “Animo decipiendi?” Rethinking Fakes and Authorship in Classical, Late Antique, and Early Christian Works, hrsg. v. Antonio Guzmán/Javier Martínez, Groningen 2018, S. 229–44, hier S. 241; sieht den Umstand, dass sich die apokalyptischen Passagen am Ende der Kosmographie konzentrieren als Hinweis darauf, dass der Kosmograph erst zum Ende seiner Arbeit Zugriff auf die entsprechenden Quellen erhielt.
- ↑ Cosmografia, c. 11.
- ↑ Prinz: Überlieferung und Orthographie, 1981, S. 509f.
- ↑ Prinz: Geistesgeschichte, MGH, 1993, S. 19f.
- ↑ Herren: Cosmography, 2011, S. xx.
- ↑ Cosmografia, c. 44–57.
- ↑ Tristram: Ohthere, Wulfstan, Aethicus Ister, 1982, S. 163, Anm. 26; Prinz: Geistesgeschichte, MGH, 1993, S. 20–22; Ian Wood/George Indruszewski: An 8th-Century written Source on Ships and Navigation. The Cosmography of Aethicus Ister. In: Wulfstan’s Voyage. The Baltic Sea Region in the early Viking Age as seen from Shipboard, hrsg. v. Anton Englert/Athena Trakadas, Roskilde 2009, S. 220–34.
- ↑ Tristram: Ohthere, Wulfstan, Aethicus Ister, 1982, S. 163, Anm. 26.
- ↑ Prinz: Geistesgeschichte, MGH, 1993, S. 19.
- ↑ Prinz: Geistesgeschichte, MGH, 1993, S. 21f.
- ↑ Prinz: Geistesgeschichte, MGH, 1993, S. 22.
- ↑ Prinz: Geistesgeschichte, MGH, 1993, S. 75.
- ↑ Prinz: Geistesgeschichte, MGH, 1993, S. 75.
- ↑ = Leiden, Univ. Bibl., Voss. lat. F 113.
- ↑ Prinz: Geistesgeschichte, MGH, 1993, S. 75–77.
- ↑ Vgl. Prinz: Geistesgeschichte, MGH, 1993, S. 19.
- ↑ Herren: Cosmography, 2011, S. xx.
- ↑ In den Chroniken des Hieronymus (Chronicon, Ol. 370) erscheint ein weiterer Alcimus, ein Heide und Rhetor aus Südgallien, der auch aus anderen Quellen bekannt ist. Diesen Avitius ist von Wuttke: Aithikos, 1853, S. CVII; unter der Annahme er sei Christ gewesen, als der betrachtet worden, den „Hieronymus“ in der Kosmographie zitiert. Denkbar ist, dass auch der Kosmograph diese Passage kannte, also eine doppelte Verwechslung einerseits mit dem aus der Chronik bekannten gallischen Rhetor Alcilmus, dem ebenfalls in Gallien wirkenden Alcimus Avitus und den Gesprächspartnern des Hieronymus vorliegt.
- ↑ Reinhold R. Grimm: Paradisus coelestis – Paradisus terrestris. Zur Auslegungsgeschichte des Paradieses im Abendland bis um 1200, München 1977, S. 99–104.
- ↑ Herren: Cosmography, 2011, S. xx–xxi, xvii, xxxvi; Smyth: Universum, 1984, S. 171; Reinhold R. Grimm: Paradisus coelestis – Paradisus terrestris. Zur Auslegungsgeschichte des Paradieses im Abendland bis um 1200, München 1977, S. 102. Die Sphäre des zehnten Engelschors ist offenbar das himmlische Paradies.
- ↑ Wuttke: Aithikos, 1853, S. VI.
- ↑ Smyth: Universum, 1984, S. 172.
- ↑ Herren: Cosmography, 2011, S. xxi.
- ↑ Herren: Cosmography, 2011, S. xxi.
- ↑ Herren: Cosmography, 2011, S. xxi.
- ↑ Herren: Cosmography, 2011, S. xxi; Smyth: Universum, 1984, S. 171–73. Der Begriff des „Tischs der Sonne“ kennt der Kosmograph offenbar aus dem 53. Brief des Hieronymus, wo er allerdings etwas völlig anderes bezeichnet. In der entsprechenden Passage erwähnt der Kosmograph auch einen Philosophen Hiarcas, der nach demselben Brief mit dem philostratischen Apollonius debattiert habe.
- ↑ Smyth: Universum, 1984, S. 172.
- ↑ Smyth: Universum, 1984, S. 172, 174.
- ↑ Diesen Umstand hat Zelzer: Geheimnisvolles Dunkel, 1991, S. 195f.; als Hinweis darauf gedeutet, dass die Behauptung des Kosmographen, die Erde sei eine Scheibe im Werk nur vorgeschoben ist.
- ↑ Im Konkreten verwechselt der Kosmograph wie auch Isidor Mondfinsternissen mit dem interlunium, der Zeitspanne, bevor Neumond wieder sichtbar wird; Smyth: Universum, 1984, S. 172; Zelzer: Geheimnisvolles Dunkel, 1991, S. 196.
- ↑ Smyth: Universum, 1984, S. 173. Zur Paradieskonzeption der Kosmographie vgl. Reinhold R. Grimm: Paradisus coelestis – Paradisus terrestris. Zur Auslegungsgeschichte des Paradieses im Abendland bis um 1200, München 1977, S. 102f.
- ↑ In diesem Zusammenhang nennt Aethicus einen Lukan, welcher exotische Tiere beschrieben habe. Um die Frage, ob sich hier Kenntnisse des Orpheus spiegeln, ist eine umfangreiche akademische Debatte entbrannt; siehe dazu: Richard M. Polland: ‘Lucan’ and ‘Aethicus Ister’. In: Notes and Queries, Bd. 53 H. 1 (2006), S. 7–10; Gregory Hays: ‘Important if True’. Lucan’s Orpheus and Aethicus Ister. In: ebd., Bd. 57, H. 2 (2010), S. 196–99; Richard M. Pollard: ‘Denuo’ on Lucan, the ‘Orpheus’ and ‘Aethicus Ister’ – ‘Nihil Sub Sole’. In: The Journal of Medieval Latin, Bd. 20 (2010), S. 58–69.
- ↑ Zu c. 18–23 vgl. insbes. Smyth: Universum, 1984, S. 175.
- ↑ Herren: Cosmography, 2011, S. xxii–xxiii.
- ↑ Herren: Cosmography, 2011, S. l–li, lv, lxx.
- ↑ Dazu auch Heinz Löwe: Die „Vacetae insolae“ und die Entstehungszeit der Kosmographie des Aethicus Ister. In: Deutsches Archiv für Erforschung des Mittelalters, Bd. 31, H. 1 (1975), S. 1–16.
- ↑ Die Passage über Irland ist aufgrund von Löwes Virgil-These eine der meistdebattierten Stellen des Werkes. Unabhängig von dieser Debatte hat etwa Peter Dronke: Verse with Prose from Petronius to Dante, Cambridge, Mass. 1994, S. 14–19; eigenständige Überlegungen zu dieser Stelle angestellt, die neue Perspektiven in die Diskussion eingebracht haben. Auch er gelangte zu der Schlussfolgerung, dass der Verfasser irischer Abkunft gewesen sein muss.
- ↑ Herren: Cosmography, 2011, S. xxiii, 79, Anm. 228; Wuttke: Aithikos, 1853, S. XIV; erblickt in Thyle Shetland.
- ↑ Vgl. dazu Herren: Cosmography, 2011, S. 79, Anm. 229.
- ↑ Herren: Cosmography, 2011, S. xxiii.
- ↑ Herren: Cosmography, 2011, S. xxiii–xxiv, auch S. 81, Anm. 250f.
- ↑ Herren: Cosmography, 2011, S. xxiv, auch S. 81, Anm. 251; zum Themenkomplex auch Scott G. Bruce: The Cosmographia Attributed to Aethicus Ister as Philosophen- or Reiseroman. In: Insignis sophiae arcator: Essays in Honour of Michael W. Herren on his 65th Birthday, hrsg. v. Gernot R. Wieland u. a., Turnhout 2006, S. 45–56.
- ↑ Herren: Cosmography, 2011, S. xxiv.
- ↑ Herren: Cosmography, 2011, S. xxv. Zu der Thematik der unreinen Völker im Werk auch Jason R. Berg: ‘Breasts of the North’ and Other Apocalyptic Imagery in the Cosmographia of Aethicus Ister. In: Abendländische Apokalyptik. Kompendium zur Genealogie der Endzeit, hrsg. v. Veronika Wieser u. a., Berlin 2013, 563–78, insbes. S. 570ff.
- ↑ Herren: Cosmography, 2011, S. xxv–xxvi.
- ↑ Herren: Cosmography, 2011, S. xxvi.
- ↑ Herren: Cosmography, 2011, S. xxvi–xxvii.
- ↑ Gemeint ist hier offenbar der Dichter Virgil, dessen Herkunft aus der Gegend von Mantua durch die Inschrift auf seinem Grab an der Straße von Neapel nach Puteoli verbürgt ist: Mantua me genuit, Calabri rapuere, tenet nunc / Parthenope; cecini pascua, rura, duces. Die Inschrift ist in der sogenannten Vita Probi; vgl. Vitae Vergilianae antiquae, hrsg. v. Colin Hardie, Oxford 1966, S. 27; und in der Chronik des Hieronymus (Chronicon, Ol. 191; siehe auch Ol. 177; Eusebii Chronicorum libri duo, Bd. II, hrsg. v. Alfred Schoene, Berlin 1866, S. 143, 135) überliefert; Hermann Walter: Mazedonien in der Kosmographie des Aethicus Hister. In: Thetis. Mannheimer Beiträge zur Klassischen Archäologie und Geschichte Griechenlands und Zyperns, Bd. 11–12 (2005), S. 119–23, hier S. 121, Anm. 26.
- ↑ Die entsprechende Stelle ist Gegenstand umfassender Debatten gewesen. Michaela Zelzer: Geheimnisvolles Dunkel, 1991, S. 183–207; Winfried Stelzer: Ein Alt-Salzburger Fragment der Kosmographie des Aethicus Ister aus dem 8. Jahrhundert. In: Mitteilungen des Instituts für Österreichische Geschichtsforschung, Bd. 100 (1992), S. 132–49, insbes. S. 134; und Heinz Löwe haben die Stelle im Hinblick auf die Verfasserfrage als Hinweis auf den Autor gedeutet – schließlich habe der Ire Fergal seinen Namen nach dem Dichter latinisiert. Kurt Smolak hat hingegen verdeutlicht, dass Hieronymus in c. 43 – entgegen der Interpretation Löwes und Zelzers – keineswegs feststellt, dass der Leser von Aethicus und Mantuanus auf einen geistigen Stein stößt, vergleichbar mit Virgil, der „für Bonifatius und andere seiner Zeitgenossen ebenso ein Stein des Anstoßes gewesen“ war; Löwe: Salzburg als Zentrum, 1975, S. 142; vgl. auch ders.: Widersacher, 1951, S. 950. Vielmehr fordert Hieronymus den Leser, der Aethicus oder Mantuanus gelesen hat, dazu auf, diese aufgrund ihrer schädlichen Lehren am Felsen Christi zu zerschellen. Es wird hier also nicht etwa die Verfasserschaft offengelegt, sondern erneut der Versuch des Autors deutlich, seine Person mit dem Kirchenvater zu verknüpfen, der in seinen Schriften ebenfalls gegen die Werke heidnischer Autoren polemisiert; Smolak: Notizen zu Aethicus Ister, 1996, S. 147–50.
- ↑ Homer, Illias 2,494–759. Allerdings bestehen, wie Herren festellt, große Unterschiede zwischen Homers Katalog und der Auflistung in der Kosmographie: Homer sagt nichts über Schiffstypen, sondern konzentriert auf die Namen der Kapitäne, deren Herkunft und die Anzahl der zur Expedition beigesteuerten Schiffe.
- ↑ Isidor von Sevilla, Etymologiae 19,1.
- ↑ Ian Wood/George Indruszewski: An 8th-Century Written Source on Ships and Navigation. The Cosmography of Aethicus Ister. In: Wulfstan’s Voyage. The Baltic Sea Region in the Early Viking Age as Seen from Shipboard, hrsg. v. Anton Englert/Athena Trakadas, Roskilde 2009, S. 220–34, insbes. S. 225–32; und Herren: Cosmography, 2011, S. xxvii.
- ↑ Herren: Cosmography, 2011, S. 220, Anm. 26.
- ↑ Herren hat den genannten Macedonius mit dem gleichnamigen Bischof von Aglar (536–556), einer zentralen Figur im Dreikapitelstreit, in Verbindung gebracht; Herren: Cosmography, 2011, S. 222, Anm. 39.
- ↑ Herren: Cosmography, 2011, S. xxvii.
- ↑ Herren: Cosmography, 2011, S. xxviii.
- ↑ Herren: Cosmography, 2011, S. xxviii.
- ↑ Herren: Cosmography, 2011, S. xxviii.
- ↑ Hieronymus, Prolog zum Pentateuch: Quod ut auderem, Origenis me studium provocavit, qui editioni antiquae translationem Theodotionis miscuit, asterisco et obelo, id est stella et veru, opus omne distinguens, dum aut inlucescere facit quae minus ante fuerant aut superflua quaeque iugulat et confodit; zitiert nach Andreas Beriger u. a. (Hrsg.): Biblia Sacra vulgata. Bd. 1, Genesis – Exodus – Leviticus – Numeri – Deuteronomium, Berlin/Boston 2018, S. 14. Prolog zum Paralipolenom: Et certe Origenes non solum exempla conposuit quattuor editionum e regione singula verba describens, ut unus dissentiens statim ceteris inter se consentientibus arguatur, sed, quod maioris audaciae est, in editione Septuaginta Theodotionis editionem miscuit, asteriscis designans quae minus fuerint, et virgulis quae ex superfluo videantur adposita; zitiert nach dens.: Biblia Sacra vulgata. Bd. 2, Iosue – Iudices – Ruth – Samuhel – Malachim – Verba dierum – Ezras – Tobias – Iudith – Hester – Iob, Berlin/Boston 2018, S. 790ff. Vgl. auch den 106. Brief des Hieronymus; Herren: Cosmography, 2011, S. xxviii u. S. 240, Anm. 235.
- ↑ Hieronymus, Epistula 22,30.
- ↑ Herren: Cosmography, 2011, S. xxviii–xxix. Zu c. 66 vgl. insbes. Smolak: Notizen zu Aethicus Ister, 1996, S. 142–47.
- ↑ Herren: Cosmography, 2011, S. xxix–xxx.
- ↑ Herren: Cosmography, 2011, S. xxx.
- ↑ Vgl. dazu Hillkowitz: Zur Kosmographie, 1934, S. 72f.; und Herren: Cosmography, 2011, S. 320f., Anm. 1080.
- ↑ Smyth: Universum, 1984, S. 176.
- ↑ Herren: Cosmography, 2011, S. xxx.
- ↑ Herren: Cosmography, 2011, S. xxx.
- ↑ Herren: Cosmography, 2011, S. xxx.
- ↑ Dies ist möglicherweise eine Anspielung auf die Landnahme der Araber; Herren: Cosmography, 2011, S. xxx–xxxi, lvi.
- ↑ Herren: Cosmography, 2011, S. xxxi; sieht in der Passage eine Anspielung auf die doppelte Tributpflichtigkeit Zyperns.
- ↑ Das Waffenarsenal der Schiffe umfasse auch brennende Waffen, was von Herren: Cosmography, 2011, S. 300, Anm. 864; als Anspielung auf das um 674 erfundene Griechische Feuer gewertet wird.
- ↑ Herren: Cosmography, 2011, S. xxxi.
- ↑ Smyth Universum, 1984, S. 176.
- ↑ Herren: Cosmography, 2011, S. xxxi.
- ↑ Der Begriff „Albaner“ wird im Werk an verschiedenen Stellen unterschiedlich verwendet. Zum einen bezieht er sich auf das kaukasische Volk, zum anderen auf ein Volk auf dem Balkan, und gelegentlich wird auch ein Volk am Asowschen Meer damit bezeichnet.
- ↑ Vgl. Herren: Cosmography, 2011, S. xxxi–xxxii; Herren sieht in dieser Passage Hinweise auf die Deportation der Bewohner Istriens infolge von Einfällen der Bulgaren. Er interpretiert die Erwähnung Roms als einen Verweis auf Konstantinopel und versteht die römischen Herrscher als byzantinische Kaiser; ebd., S. lvii–lviii.
- ↑ Michael W. Herren: The Cosmography of Aethicus Ister. One more Latin Novel? In: Fictional Traces. Receptions of the Ancient Novel, Bd. 1, hrsg. v. Marília P. Futre Pinheiro/Stephen J. Harrison, Groningen 2011, S. 33–54, hier S 44f.
- ↑ In der Forschung ist der Versuch unternommen worden, diese Stelle mit einer Passage der Epistola Alexandri ad Aristotelem in Verbindung zu bringen; Katherine O’Brien O’Keeffe: The geographic List of Solomon and Saturn II. In: Anglo-Saxon England, Bd. 20 (1991), S. 123–41. Vgl. auch Herren: Cosmography, 2011, S. xlix, 312f., Anm. 993.
- ↑ Vgl. Herren: Cosmography, 2011, S. xxxii.
- ↑ Vgl. Smyth Universum, 1984, S. 176; Herren: Cosmography, 2011, S. xxxii.
- ↑ Wuttke: Aithikos, 1853, S. LXXVI; nahm hier irrtümlich einen späteren Einschub an.
- ↑ Vgl. Herren: Cosmography, 2011, S. xxxii.
- ↑ Hermann Walter: Mazedonien in der Kosmographie des Aethicus Hister. In: Thetis. Mannheimer Beiträge zur Klassischen Archäologie und Geschichte Griechenlands und Zyperns, Bd. 11–12 (2005), S. 119–23, hier S. 120, Anm. 10.
- ↑ Vgl. dazu Krusch: Origo Francorum duplex, MGH, 1920, S. 518; Hillkowitz: Zur Kosmographie I, 1934, S. 72f. und Herren: Cosmography, 2011, S. 320f., Anm. 1080.
- ↑ Karl August Friedrich Pertz: De cosmographia Ethici libri tres, Berlin 1853.
- ↑ Skeptisch bereits Heinrich Wuttke: Die Ächtheit des Auszugs aus der Kosmographie des Aithikos, Leipzig 1854, S. 63f.; auch nachträglich in einen Teil der Editionsexemplare der 2. Ausg. von 1854 eingefügt (S. CXCIV–CXCV); welcher gleichwohl davon ausgeht, dass Aethicus ein bestehendes Alphabet „umgetauft“ habe; ders.: Kosmographie, 1853, S. LXXVI.
- ↑ Hillkowitz: Zur Kosmographie I, 1934, S. 72, Anm. 5.
- ↑ Hillkowitz: Zur Kosmographie I, 1934, S. 73.
- ↑ Hillkowitz: Zur Kosmographie I, 1934, S. 169–200. Skeptisch Prinz: Geistesgeschichte, MGH, 1993, S. 17, 78.
- ↑ Hillkowitz: Zur Kosmographie I, 1934, S. 200.
- ↑ Heinz Löwe: Aethicus Ister und das alttürkische Runenalphabet. In: Deutsches Archiv für Erforschung des Mittelalters, Bd. 32, H. 1 (1976), S. 1–22.
- ↑ Prinz: Geistesgeschichte, MGH, 1993, S. 78.
- ↑ Alphabeta diversa, in: Bern, Burgerbibliothek, Cod. 207, fol. 1av.
- ↑ Winfried Stelzer: Ein Alt-Salzburger Fragment der Kosmographie des Aethicus Ister aus dem 8. Jahrhundert. In: Mitteilungen des Instituts für Österreichische Geschichtsforschung, Bd. 100 (1992), S. 132–49.
- ↑ Prinz: Geistesgeschichte, MGH, 1993, S. 79.
- ↑ Prinz: Geistesgeschichte, MGH, 1993, S. 78.
- ↑ Herren: Cosmography, 2011, S. 320f., Anm. 1080ff.
- ↑ Zum Themenkomplex der Quellen vgl. insbes. Hillkowitz: Zur Kosmographie I, 1934; Prinz: Geistesgeschichte, MGH, 1993, S. 22–28; Stellenverzeichnis S. 319–28 und Herren: Cosmography, 2011, S. xxxiii–lv.
- ↑ Marie Armand Pascal d’ Avezac: Mémoire sur Éthicus et sur les ouvrages cosmographiques intitulés de ce nom. In: Mémoires présentés par divers savants à l’Académie des inscriptions et belles-lettres. Première série, Ser. 1, Bd. 2 (1852), S. 230–551.
- ↑ Heinrich Wuttke: Die Kosmographie des Istrier Aithikos, Leipzig 1853.
- ↑ Karl August Friedrich Pertz: De cosmographia Ethici libri tres, Berlin 1853.
- ↑ Karl Ludwig Roth: Besprechung der Edition von Wuttke und des Werkes von Pertz. In: Heidelberger Jahrbücher der Literatur, Bd. 47 (1854) S. 269–77; ders.: Rezension der überarbeiteten Edition von Wuttke, In: ebd., Bd. 48 (1855) S. 100–106.
- ↑ Friedrich Kunstmann: Besprechung. Die Schriften über Aethicus von Avezac, Pertz und Wuttke. In: Gelehrte Anzeigen, hrsg. von Mitgliedern der K. Bayerischen Akademie der Wissenschaften, Bd. 38 (1854), Sp. 249–75.
- ↑ Dagmar Gottschall: Aethicus Ister. In: Verfasserlexikon – Die deutsche Literatur des Mittelalters, 2. Aufl., Bd. 11, Berlin/New York 2010 [2004], Sp. 22–26, hier Sp. 22.
- ↑ Zur frühen Quellenforschung vgl. Herren: Cosmography, 2011, S. xxxiii.
- ↑ Krusch: Origo Francorum duplex, MGH, 1920, S. 517–28.
- ↑ Vor allem in der deutschen Forschung ist diese Auffassung heute weitgehend Konsens, teilweise ist eine solche Beziehung aber auch bestritten worden; Maartje Draak: Virgil of Salzburg versus „Aethicus Ister“. In: Dancwerc. Opstellen aangeboden aan Prof. Dr. D. Th. Enklaar ter gelegenheid van zijn 65. verjaardag, Groningen 1959, S. 34–42, hier S. 37–39; Brunhölzl: Zur Kosmographie, 1969, S. 78–84; und Michael W. Herren: The Cosmography of Aethicus Ister and Ancient Travel Literature. In: The World of Travellers. Exploration and Imagination, hrsg. v. Kees Dekker u. a., Löwen u. a. 2009, S. 5–30, hier S. 5f., 18. In seinem kritischen Apparat seiner Edition des Werks hat Herren diese Frage nicht erneut diskutiert.
- ↑ Hillkowitz: Zur Kosmographie I, 1934, S. 53–58; Prinz: Überlieferung und Orthographie, 1981, S. 502–4; ders.: Geistesgeschichte, MGH, 1993, S. 26, 44–46. Zur Engen Verknüpfung der zweiten Fredagarfortsetzung mit der Historia Daretis vgl. auch Bruno Krusch: Die Chronicae des sogenannten Fredegar, II. In: Gesellschaft für Ältere Deutsche Geschichtskunde zur Beförderung einer Gesammtausgabe der Quellenschriften Deutscher Geschichten des Mittelalters, Bd. 7 (1882), S. 421–516, hier S. 512ff.
- ↑ Kurt Hillkowitz: Zur Kosmographie des Aethicus. (= Kosmographie, Teil I), phil. Diss. Bonn, Köln 1934; Teil II, Frankfurt a. M. 1973.
- ↑ Hillkowitz: Zur Kosmographie II, 1973, S. 20.
- ↑ Hillkowitz: Zur Kosmographie II, 1973, S. 48.
- ↑ Prinz: Geistesgeschichte, MGH, 1993, S. 28. An dem grundsätzlichen Nutzen des Werkes zweifelt Prinz aufgrund der umfassenden Behandlung der tatsächlich genutzten Quellen nicht.
- ↑ Prinz: Geistesgeschichte, MGH, 1993, S. 28.
- ↑ Cosmografia, c. 20. Die Frage, ob der Kosmograph den verlorenen Orpheus des Lukan oder eine Zusammenfassung davon kannte, ist Gegenstand einer intensiven wissenschaftlichen Debatte gewesen; vgl. dazu: Richard M. Polland: ‘Lucan’ and ‘Aethicus Ister’. In: Notes and Queries, Bd. 53 H. 1 (2006), S. 7–10; Gregory Hays: ‘Important if True’. Lucan’s Orpheus and Aethicus Ister. In: ebd., Bd. 57, H. 2 (2010), S. 196–99; Richard M. Pollard: ‘Denuo’ on Lucan, the ‘Orpheus’ and ‘Aethicus Ister’ – ‘Nihil Sub Sole’. In: The Journal of Medieval Latin, Bd. 20 (2010), S. 58–69 und Herren: Cosmography, 2011, S. xliii–xlv. Sie ist wohl zu verneinen.
- ↑ Cosmografia, c. 58b.
- ↑ Prinz: Geistesgeschichte, MGH, 1993, S. 22f.
- ↑ Cosmografia, c. 11.
- ↑ Herren: Cosmography, 2011, S. xvii, xxxvi.
- ↑ Cosmografia, c. 17, 43, 66b, 71.
- ↑ Cosmografia, c. 66b. Dieser Irrtum basiert möglicherweise auf einer Missinterpretation des Commentarii in Somnium Scipionis von Macrobius; Herren: Cosmography, 2011, S. xviii.
- ↑ Cosmografia, c. 30.
- ↑ Cosmografia, c. 66c.
- ↑ Prinz: Geistesgeschichte, MGH, 1993, S. 23.
- ↑ Vgl. Prinz: Geistesgeschichte, MGH, 1993, S. 23.
- ↑ Prinz: Geistesgeschichte, MGH, 1993, S. 23f.; Herren: Cosmography, 2011, S. xxxvi–xxxvii.
- ↑ Prinz: Geistesgeschichte, MGH, 1993, S. 25; Herren: Cosmography, 2011, S. xxxviii–xxxix.
- ↑ Herren: Cosmography, 2011, S. xxxiv–xxxvi.
- ↑ Hillkowitz: Zur Kosmographie II, S. 121f.; Prinz: Geistesgeschichte, MGH, 1993, S. 24; Herren: Cosmography, 2011, S. xxxiv–xxxvi, 317, Anm. 1044.
- ↑ Herren: Cosmography, 2011, S. xlii–xliii, lxiv–lxvi, 115, Anm. 15, 242, Anm. 256.
- ↑ Hillkowitz: Zur Kosmographie I, 1934, S. 51–53; ablehnend Herren: Cosmography, 2011, S. xl.
- ↑ Herren: Cosmography, 2011, S. xli.
- ↑ Hillkowitz: Zur Kosmographie II, 1973, S. 131, 135; skeptisch Herren: Cosmography, 2011, S. lv.
- ↑ Prinz: Geistesgeschichte, MGH, 1993, S. 26f.; Herren: Cosmography, 2011, S. xli–xliii, lii–liv.
- ↑ Cosmografia, c. 3. Herren: Cosmography, 2011, S. xxxvii–xxxviii.
- ↑ Prinz: Geistesgeschichte, MGH, 1993, S. 23; Herren: Cosmography, 2011, S. liv–lv.
- ↑ Prinz: Geistesgeschichte, MGH, 1993, S. 26.
- ↑ Herren: Cosmography, 2011, S. l–li, lv, lxx. Ablehnend gegenüber dieser These äußert sich etwa Patrick Gautier Dalché: Rezension. La Cosmographia d’Aethicus Ister, A propos d’une édition récente. In: Archivum Latinitatis Medii Aevi, Bd. 70 (2012), S. 237–55.
- ↑ Herren: Cosmography, 2011, S. liv; zu dieser Thematik vgl. auch Danuta Shanzer: The Cosmographia Attributed to Aethicus Ister as Philosophen- or Reiseroman. In: Insignis sophiae arcator: Essays in Honour of Michael W. Herren on his 65th Birthday, hrsg. v. Gernot R. Wieland u. a., Turnhout 2006, S. 59–86, hier S. 65ff.
- ↑ Gesichert ist der Gebrauch des 53. Briefs des Hieronymus, in welchem dieser auch auf die Reisen des Apollonios eingeht; Zelzer: Geheimnisvolles Dunkel, 1991, S. 190f. und Prinz: Geistesgeschichte, MGH, 1993, S. 103, Anm. 88.
- ↑ Herren: Cosmography, 2011, S. lxviii.
- ↑ Prinz: Geistesgeschichte, MGH, 1993, S. 27.
- ↑ Gustav H. Becker (Hrsg.): Catalogi bibliothecarum antiqui, Bonn 1885, Nr. 32, S. 64–73.
- ↑ Herren: Cosmography, 2011, S. lxi–lxxiii.
- ↑ Prinz: Geistesgeschichte, MGH, 1993, S. 28.
- ↑ Franz Brunhölzl: Geschichte der lateinischen Literatur des Mittelalters, Bd. 1, München 1975, S. 63.
- ↑ Prinz: Geistesgeschichte, MGH, 1993, S. 18f.
- ↑ Michael W. Herren: Wozu diente die Fälschung der Kosmographie des Aethicus? In: Lateinische Kultur im VIII. Jahrhundert. Traube-Gedenkschrift, hrsg. v. Albert Lehner/Walter Berschin, St. Ottilien 1989, S. 145–59, hier S. 150–53.
- ↑ Dazu Michael W. Herren: The „Greek Element“ in the „Cosmographia“ of Aethicus Ister. In: The Journal of Medieval Latin, Bd. 11 (2001), S. 184–200.
- ↑ Hillkowitz: Zur Kosmographie I, 1934, S. 72f.; Prinz: Geistesgeschichte, MGH, 1993, S. 52. Etwa Cosmografia, c. 62: Terrorem terribilem, tot terrarum Triuialis torghinaui⟨t⟩ Trimarcem, turma tergiuersantium titilat, turgentium titubantad tela tandem trutinat[a], tritura⟨t⟩ toracem tacto mucronis. Trimarchia, Thafros, Alces tumultuantes tantilla tenus turma tyranni temporum. Tura tantopere Tulchus Triuiarum tonantium tene⟨n⟩t, Malancinorum titanistria tellora Murginum; zitiert nach ed. Herren: Cosmography, 2011, S. 136.
- ↑ Prinz: Überlieferung und Orthographie, 1981, S. 484–99; und Prinz: Geistesgeschichte, MGH, 1993, S. 29–38.
- ↑ Hillkowitz: Zur Kosmographie I, 1934, S. 13–22.
- ↑ Prinz: Geistesgeschichte, MGH, 1993, S. 40.
- ↑ Schmeja: Latinität des Aethicus, 1992, S. 292–305.
- ↑ Prinz: Geistesgeschichte, MGH, 1993, S. 18; zum Themenkomplex insbes. auch Michael W. Herre: Romance Elements in the Latinity of the Cosmography of Aethicus Ister. In: Latin vulgaire – latin tardif VIII. Actes du VIIIe colloque international sur le latin vulgaire et tardif (Oxford, 6–9 septembre 2006), hrsg. v. Roger Wright, Hildesheim u. a. 2008, S. 472–81.
- ↑ Michael W. Herren: The “Greek Element” in the “Cosmographia” of Aethicus Ister. In: The Journal of Medieval Latin, Bd. 11 (2001), S. 184–200.
- ↑ Herren: Cosmography, 2011, S. xii. Etwas Licht in das Dunkel vermochten die Fallstudien von Justin Haynes: Roger Bacon’s Reading of Aethicus Ister in his Opus maius. In: Litterarum dulces fructus, Studies in Early Medieval Latin Culture in Honour of Michael W. Herren for His 80th Birthday, hrsg. v. Scott G. Bruce, Turnhout 2021, S. 169–88; und Karl Elenkel: Landeskunde als politische Argumentation. Enea Silvio Piccolominis De Europa. In: Monumenta Illustrata. Raumwissen und antiquarische Gelehrsamkeit, hrsg. v. Dietrich Boschung/Alfrd Schäfer, Paderborn 2019, S. 13–43; zu bringen.
- ↑ Zu diesen Wirrungen siehe Frederic Clark: Forgery, Misattribution, and a Case of Secondary Pseudonymity. Aethicus Ister’s Cosmographia and Its Early Modern Multiplications. In: Literary Forgery in early Modern Europe. 1450–1800, hrsg. v. Walter Stephens/Earle A. Havens, Baltimore 2018, S. 74–98.
- ↑ Vgl. dazu auch Wilhelm Kubitschek: Iulius 277. In: Paulys Realencyclopädie der classischen Altertumswissenschaft (RE), Bd. X,1, Stuttgart 1918, Sp. 614–28, hier Sp. 616.
- ↑ Vgl. Josias Simler (Hrsg.): Æthici cosmographia. Antonii Augusti itinerarium provinciarum, Basel 1575.
- ↑ Prinz: Geistesgeschichte, MGH, 1993, S. 2.
- ↑ Clark: Forgery, Misattribution, and a Case of Secondary Pseudonymity. Aethicus Ister’s Cosmographia and Its Early Modern Multiplications. In: Literary Forgery in early Modern Europe. 1450–1800, hrsg. v. Walter Stephens/Earle A. Havens, Baltimore 2018, S. 74–98, hier S. 91.
- ↑ Nicolet Claude/Gautier Dalché Patrick: Les „quatre sages“ de Jules César et la „mesure du monde“ selon Julius Honorius, réalité antique et tradition médiévale. In: Journal des Savants, Jg. 1986, H. 4, S. 157–218; Prinz: Geistesgeschichte, MGH, 1993, S. 2. In der Humanistenzeit bürgerte es sich zudem ein, den Autor der fiktiven Vorlage als Aethicus Ister zu bezeichnen, um dessen im Text mehrfach erwähnte Herkunft aus Istrien zu kennzeichnen. Im Konkreten geht dies wohl auf Martin Opitz zurück, welcher nach einem Vergleich der Schrift mit Isidors Etymologiae das bei diesem eindeutig überlieferte historia unter der Annahme, Aethicus habe jenem als Quelle gedient, kurzerhand in Hister geändert hatte; ebd., S. 1f.; zum Themenkomplex auch Graeme Dunphy: Martin Opitz und die mittelalterlichen Alexandergeschichten. Wissenschaft und Polemik in der editio princeps des „Annoliedes“. In: Daphnis. Zeitschrift für mittlere deutsche Literatur und Kultur der frühen Neuzeit (1400–1750), Bd. 31, H. 1/2 (2002), S. 299–316; und Hermann Walter: Mazedonien in der Kosmographie des Aethicus Hister. In: Thetis. Mannheimer Beiträge zur Klassischen Archäologie und Geschichte Griechenlands und Zyperns, Bd. 11–12 (2005), S. 119–23, hier S. 119, Anm. 1.
- ↑ Karl August Friedrich Pertz: De cosmographia Ethici libri tres, Berlin 1853; Prinz: Geistesgeschichte, MGH, 1993, S. 2f.
- ↑ Heinrich Wuttke: Kosmographie des Istrier Aithikos, Leipzig 1853; die zweite vermehrte Ausgabe erschienen im Folgejahr.
- ↑ Prinz: Geistesgeschichte, MGH, 1993, S. 3f., 71.
- ↑ Wuttke: Aithikos, 1853, S. CX.
- ↑ Friedrich Kunstmann: Besprechung. Die Schriften über Aethicus von Avezac, Pertz und Wuttke. In: Gelehrte Anzeigen, hrsg. von Mitgliedern der K. Bayerischen Akademie der Wissenschaften, Bd. 38 (1854), Sp. 249–75, hier S. 269f.
- ↑ Prinz: Geistesgeschichte, MGH, 1993, S. 4.
- ↑ Heinrich Wuttke: Die Ächtheit des Auszugs aus der Kosmographie des Aithikos, Leipzig 1854. Mit fortgeführter Paginierung auch nachträglich in einen Teil der Editionsexemplare eingefügt (S. CXXXIV–CXCV).
- ↑ Karl Ludwig Roth: Rezension der Edition von Wuttke und des Werkes von Pertz. In: Heidelberger Jahrbücher der Literatur, Bd. 47 (1854) S. 269–77; ders.: Rezension der überarbeiteten Edition von Wuttke. In: ebd., Bd. 48 (1855) S. 100–106.
- ↑ Prinz: Geistesgeschichte, MGH, 1993, S. 4.
- ↑ Alfred von Gutschmid: Über Ursprung und Abfassungszeit der Kosmographie des Ethicus [ca. 1860]. In: Kleine Schriften von Alfred von Gutschmid, hrsg. von Franz Rühl, Leipzig 1894, S. 418–25.
- ↑ Friedrich Kunstmann: Besprechung. Die Schriften über Aethicus von Avezac, Pertz und Wuttke. In: Gelehrte Anzeigen, hrsg. von Mitgliedern der K. Bayerischen Akademie der Wissenschaften, Bd. 38 (1854), Sp. 249–75, hier S. 273.
- ↑ Alfred von Gutschmid: Über Ursprung und Abfassungszeit der Kosmographie des Ethicus [ca. 1860]. In: Kleine Schriften von Alfred von Gutschmid, hrsg. von Franz Rühl, Leipzig 1894, S. 418–25, hier S. 423. Dazu Krusch: Origo Francorum duplex, MGH, 1920, S. 519; Prinz: Geistesgeschichte, MGH, 1993, S. 4f.
- ↑ Krusch: Origo Francorum duplex, MGH, 1920, S. 517–28.
- ↑ Prinz: Geistesgeschichte, MGH, 1993, S. 6; Hillkowitz: Zur Kosmographie I, 1934, S. 6.
- ↑ Franz Josten: Sonnenwende. Forschungen zur germanischen Religions- und Sagengeschichte. Bd. 2, Münster 1930, insbes. S. 147–80.
- ↑ Franz Jostes: Sonnenwende. Forschungen zur germanischen Religions- und Sagengeschichte. Bd. 2, Münster 1930, S. 163.
- ↑ Hillkowitz: Zur Kosmographie I, 1934, S. 69–73.
- ↑ Hillkowitz: Zur Kosmographie I, 1934, S. 73.
- ↑ In der Vergangenheit ist mitunter vermutet worden, dass Virgil mit dem Abt Fergil von Aghaboe identisch ist. Diese These konnte von Heinz Dopsch: Virgil von Salzburg (✝ 784). Aus dem Leben und Wirken des Patrons der Rattenberger Pfarrkirche. In: Festschrift St. Virgil in Rattenberg, hrsg. v. Stadtpfarramt Rattenberg in Tirol, Rattenberg 1983, 15–59, hier S. 17f.; endgültig widerlegt werden.
- ↑ Zur Biographie des Hl. Virgil und den geschichtlichen Kontext seines Wirkens vgl. Heinz Dopsch/Roswitha Juffinger (Hrsg.): Virgil von Salzburg. Missionar und Gelehrter, Salzburg 1984.
- ↑ Zu diesem vgl. James F. Kenney, The Sources for the Early History of Ireland: Ecclesiastical, Bd. 1, New York u. a. 1929, S. 526, Nr. 330.
- ↑ In der älteren Literatur findet sich mitunter die Angabe, Virgil sei erst 767 zum Bischof geweiht worden. Diese Annahme basiert auf einem Missverständnis; vgl. dazu Siegfried Haider: Wann wurde der Salzburger Virgil-Dom geweiht? In: Mittheilungen der Gesellschaft für Salzburger Landeskunde, Bd. 114 (1974), S. 8.
- ↑ Zur Rolle des Bistums Salzburg und Virgils bei der Slavenmission zur Zeit des Virgil vgl. Kahl, Hans Dietrich: Zur Rolle der Iren im östlichen Vorfeld des agilolfingischen und frühkarolingischen Baiern. In: Die Iren und Europa im früheren Mittelalter, hrsg. v. Heinz Löwe, Stuttgart 1982, 375–98 und ders.: Virgil und die Salzburger Slavenmission. In: Virgil von Salzburg. Missionar und Gelehrter, hrsg. v. Heinz Dopsch/Roswitha Juffinger, Salzburg 1984, S. 112–21.
- ↑ Papst Zacharias schreibt im Juli 746 betreffend diese Angelegenheit: Retulerunt quippe, quod fuerit in eadem provincia sacerdos qui Latinam linguam penitus ignorabat et dum baptizaret nesciens Latini eloquii infringens linguam diceret: Baptizo te in nomine patria et filia et spiritus sancti; Epistula 68, Papst Zacharias an Bonifatius über Fälle von Wiederholung der Taufe in Bayern, in: Michael Tangl: Die Briefe des heiligen Bonifatius und Lullus. MGH, Epistolae selectae. Bd. I, Berlin 1916, S. 141.
- ↑ Überliefert ist lediglich das Antwortschreiben Papst Zacharias’ (Pont. 741 – 752) vom Mai 748 auf die Anklage des Bonifatius. Dort heißt es betreffend der Weltsicht des Virgils: „Bezüglich der perversen Lehre, vertreten von Virgilius, gegen den Herrn und seine Lehre, daß nämlich eine andere Welt und andere Menschen unter der Erde seien und auch eine andere Sonne und ein anderer Mond, soll dieser, falls er solcher Aussagen überführt ist, nach Einberufung eines Konzils aus der Kirche ausgestoßen und seiner priesterlichen Würde entkleidet werden.“; De perversa autem et iniqua doctrina, quae contra Deum et animam suam locutus est, si clarificatum fuerit ita eum confiteri, quod alius mundus et alii homines sub terra sint seu sol et luna, hunc habito concilio ab ęcclesia pelle sacerdotii honore privatum; Epistula 80, Papst Zacharias an Bonifatius; nochmalige Erörterung der Fragen über Taufe, Irrlehren, fränkische Synoden, in: Michael Tangl: Die Briefe des heiligen Bonifatius und Lullus. MGH, Epistolae selectae. Bd. I, Berlin 1916, S. 178f., Übers. nach Meurers, Joseph: Die geistige Situation der Naturwissenschaften zu Virgilius’ Zeiten. In: Virgil von Salzburg. Missionar und Gelehrter, hrsg. v. Heinz Dopsch/Roswitha Juffinger, Salzburg 1984, S. 162.
Die Deutungen dieses Satzes gehen weit auseinander, seit dem 17. Jh. wird darin klassischerweise eine (entstellte) Antipodenlehre vermutet; vgl. Klaus Anselm Vogel: Sphaera terrae. Das mittelalterliche Bild der Erde und die kosmographische Revolution, phil. Diss., Göttingen 1995, S. 98. Dem widerspricht H.L.C. Tristram: Ohthere, Wulfstan, Aethicus Ister, 1982, S. 161; vorsichtig, deutet die Aussagen jedoch als von kosmologischer Natur, ähnlich W.M. Stevens: Rezension. Kurt Hillkowitz, Zur Kosmographie des Aethicus. In: Speculum, Bd. 51, H. 4 (1976), S. 754. M. Smyths: Universum, 1984, S. 177f.; sieht hingegen eine Verbindung zum einem u. a. im Lebhor Gabala (9. Jh.) und dem Hymnus Altus Prosator (6. Jh.) erscheinenden Mythus, wonach die ursprünglichen Inselbewohner, welche sich nach der Sintflut in Hibernia niedergelassen hätten, von den Kelten unter die Erde gedrängt worden seien. Doris Edel geht wiederum von einer Synthese mythologischer Motive und der Vorstellung von Gegenfüßlern aus; Doris Edel: Antipodes, Anchors, and a World-under-the-Water [1985]. In: The Celtic West and Europe. Studies in Celtic Literature and the Early Irish Church, hrsg. v. ders., Dublin u. a. 2001, S. 80–93. Ähnlich J. Carey: Ireland and the Antipodes – The Heterodoxy of Virgil of Salzburg. In: Speculum, Bd. 64 (1989), S. 1–10.
Die Vorstellung von Antipoden entsprach zwar der antiken Gelehrsamkeit, war aber mit zeitgenössischen christlichen Ansichten, wie sie auf außerhalb des hibernischen Dunstkreises allgemeine Geltung hatten, nicht vereinbar. Entscheidend für die Ablehnung dieser Lehre ist hierbei die antike Vorstellung von Klimazonen, welche die Erde in zwei bewohnbare und drei oder mehr unbewohnbare Teile scheidet. Diese beiden bewohnbaren Regionen sind in der antiken Auffassung durch einen alles versengenden Hitzegürtel getrennt, welcher den Äquator umspannt und von dem angenommen wurde, dass er unüberwindlich sei (womöglich bezieht sich auch ein 716 entstandener Brief von Wynfried auf diese Vorstellung; Löwe: Widersacher, 1951, S. 970). Da alle Menschen die Kinder Adams sind, steht das Konzept von Menschen auf der Südhalbkugel damit gewissermaßen im Widerspruch zum antiken-christlichen Motiv einer „durch den einen und universellen Schöpferwillen festgelegten unteilbaren Ordnung der Welt“; Brigitte Englisch: Ordo orbis terrae. Die Weltsicht in den Mappae mundi des frühen und hohen Mittelalters, Berlin 2002, 46f., 75ff. und Edel: World-under-the-Water, 2001, S. 82f. - ↑ Löwe: Widersacher, 1951, S. 906–9.
- ↑ Löwe: Widersacher, 1951, S. 916–20.
- ↑ = Leipzig, Stadtbibliothek, Rep. I 4° 72.
- ↑ Löwe: Widersacher, 1951, S. 909–15. Diese Annahme ist von Otto Prinz: Untersuchungen zur Überlieferung und zur Orthographie der Kosmographie des Aethicus. In: Deutsche Archiv für Erforschung des Mittelalters, Jg. 37 (1981), S. 500; mit gewichtigen Argumenten infrage gestellt worden.
- ↑ Löwe: Widersacher, 1951, S. 912.
- ↑ Löwe: Widersacher, 1951, S. 906–13.
- ↑ Löwe: Widersacher, 1951, S. 914. Gleichwohl habe sich der Autor um Anpassung an die auf dem Kontinent übliche Schreibweise bemüht, weswegen die hibernischen Elemente nur an wenigen Stellen – dort aber deutlich – durchschlügen; ebd. S. 914f., Anm. 1.
- ↑ Löwe: Widersacher, 1951, S. 921.
- ↑ Löwe: Widersacher, 1951, S. 925f.
- ↑ Löwe: Widersacher, 1951, S. 926.
- ↑ Löwe: Widersacher, 1951, S. 927.
- ↑ Löwe: Widersacher, 1951, S. 944.
- ↑ Löwe: Widersacher, 1951, S. 986.
- ↑ Löwe: Widersacher, 1951, S. 944f.; 948f.; 964f. 986ff.
- ↑ Löwe: Widersacher, 1951, S. 977. Weiter könne die Schrift Löwe zufolge als Philosophenroman betrachtet werden.
- ↑ Maartje Draak: Virgil of Salzburg versus „Aethicus Ister“. In: Dancwerc. Opstellen aangeboden aan Prof. Dr. D. Th. Enklaar ter gelegenheid van zijn 65. verjaardag, Groningen 1959, S. 34–42, hier S. 37–39; und Brunhölzl: Zur Kosmographie, 1969, S. 78–84.
- ↑ Vgl. Hillkowitz: Zur Kosmographie II, 1973, S. XIII–XVI, Anm. 2.
- ↑ Maartje Draak: Virgil of Salzburg versus „Aethicus Ister“. In: Dancwerc. Opstellen aangeboden aan Prof. Dr. D. Th. Enklaar ter gelegenheid van zijn 65. verjaardag, Groningen 1959, S. 34–42, hier S. 34f.; ähnlich Tristram: Ohthere, Wulfstan, Aethicus Ister, 1982, S. 162f.
- ↑ Maartje Draak: Virgil of Salzburg versus „Aethicus Ister“. In: Dancwerc. Opstellen aangeboden aan Prof. Dr. D. Th. Enklaar ter gelegenheid van zijn 65. verjaardag, Groningen 1959, S. 34–42, hier S. 36f.
- ↑ Maartje Draak: Virgil of Salzburg versus „Aethicus Ister“. In: Dancwerc. Opstellen aangeboden aan Prof. Dr. D. Th. Enklaar ter gelegenheid van zijn 65. verjaardag, Groningen 1959, S. 34–42, hier S. 39f.
- ↑ Brunhölzl: Zur Kosmographie, 1969, S. 84.
- ↑ Cosmografia, c. 58c; Brunhölzl: Zur Kosmographie, 1969, S. 86f. Löwe hat den Bezug auf den Dreikapitelstreit abgelehnt und diese Passage auf die Auseinandersetzung zwischen Virgil und Bonifatius bezogen. Die „istrische Häresie“, welche neuerdings gar bis nach Rom vorgedrungen sei, ist demnach als ein ironischer Kommentar auf die Klage des Bonifatius beim Papst wegen der Antipodenlehre des Virgil und grammatisch falschen Taufformeln der beiden, dem Lateinischen nicht mächtigen Priester zu sehen; Löwe: Widersacher, 1951, S. 956–61.
- ↑ Brunhölzl: Zur Kosmographie, 1969, S. 87.
- ↑ Brunhölzl: Zur Kosmographie, 1969, S. 78. Konkret äußert sich der Autor wie folgt: Hiberniam properauit et in eam aliquandiu commoratus est, eorum lumina uoluens, appellauitque eos ideomochos uel ideothistas, id est inperitos laboratores uel incultos doctores. Pro nihilo [eos] ducens ait: ,Mundi finibus terminare et Hiberniam peruenire onerosus est labor, sed nulla facultas.’ Horrorem nimium incutit, sed utilitatem ad non profecit. Inperitos habet cultores et instructores, habet distitutos bitatores. Cosmografia, c. 25, zitiert nach ed. Herren: Cosmography, 2011, S. 24f. „Er eilte nach Irland und blieb dort einige Zeit, weil er ihre Bücher studieren wollte, und er nannte sie [die Bewohner] ideomochi und Ideotistae, d.h. ‚ungelernte Arbeiter’ und ‚ungebildete Gelehrte’. Er schätzte sie gering und sagte: ‚An das Enden der Welt zu gelangen und Hibernia zu erreichen ist eine beschwerliche Aufgabe, doch bringt es keinen Gewinn’ Die Reise dorthin flößt großen Schrecken ein und doch ist sie ohne Nutzen. Die Leute, die dieses Land bebauen sind unwissend und ihre Lehrer taugen nichts, seine Bewohner leiden Not.“ Löwe sieht hier die Zustände in Irland zur Zeit Virgils hingegen gut getroffen. Da die Tüchtigsten und Gelehrtesten ihre Heimat im Zuge ihrer peregrinatio allesamt Richtung Kontinent verlassen hätten, seien nur noch die ungebildetsten unter den Gelehrten im Land verblieben. Aethicus erkenne aber, dass sich in den Bibliotheken der Inselklöster auch weiterhin Bücher befinden, die es wert sind, gelesen zu werden. Weiter nimmt Löwe an, dass Virgil seine Autorschaft nicht allzu offensichtlich preisgeben wollte, weswegen er aus Gründen der Verschleierung Hibernia in nur so wenigen, dafür aber adäquaten Worten beschrieben habe. Als mangelnde Heimatliebe seien ihm diese Worte jedenfalls nicht auszulegen; Löwe: Widersacher, 1951, S. 934–36.
- ↑ Dáibhí Ó Cróinín: Rezension. Otto Prinz, Die Kosmographie des Aethicus. In: Francia. Forschungen zur westeuropäischen Geschichte, Bd. 23, H. 1 (1996), S. 263–65; hat darauf hingewiesen, dass es sich bei Mundi finibus terminare et Hiberniam peruenire onerosus est labor, sed nulla facultas um die spöttische Umkehr des irischen Spruches Techt do Róim mór saído, becc torbai!: „Nach Rom zu gehen ist eine große Mühe, doch wenig Gewinn!“ handeln könnte und sieht in diesem Ansatz einen möglichen Schlüssel für die Klärung der Landsmannschaft des Verfassers; zustimmend Leofranc Holford-Strevens: Rezension. Michael W. Herren, The Cosmography of Aethicus Ister, Edition, Translation, and Commentary. In: Peritia, Bd. 22/23 (2011/12), S. 368–84, hier 373.
- ↑ Brunhölzl: Zur Kosmographie, 1969, S. 87–89. Etwas vorsichtiger in ders.: Geschichte der lateinischen Literatur des Mittelalters. I. Bd., Von Cassiodor bis zum Ausklang der karolingischen Erneuerung, München 1975, S. 63f.; seiner Darstellung folgt Tristram: Ohthere, Wulfstan, Aethicus Ister, 1982, S. 162f.
- ↑ Brunhölzl: Zur Kosmographie, 1969, S. 88, Anm. 33.
- ↑ Brunhölzl: Zur Kosmographie, 1969, S. 88f.
- ↑ Hillkowitz: Zur Kosmographie II, 1973, S. 156–58.
- ↑ Hillkowitz: Zur Kosmographie II, 1973, S. 19.
- ↑ Zum Schatz vgl. insbes. Tibor Kovács/Éva Garam (Hrsg.): Gold der Awaren. Der Goldschatz von Nagyszentmiklós, Budapest 2002. Trotz des programmatischen Titels wird der Schatz in den verschiedenen Aufsätzen des Sammelbandes durchaus sehr unterschiedlich interpretiert.
- ↑ Heinz Löwe: Salzburg als Zentrum literarischen Schaffens im 8. Jahrhundert. In: Mitteilungen der Gesellschaft für Salzburger Landeskunde, Bd. 115 (1975), S. 99–143; Die „Vacetae insolae“ und die Entstehungszeit der Kosmographie des Aethicus Ister. In: Deutsches Archiv für Erforschung des Mittelalters, Bd. 31, H. 1 (1975), S. 1–16; sowie Aethicus Ister und das alttürkische Runenalphabet. In: Deutsches Archiv für Erforschung des Mittelalters, Bd. 32, H. 1 (1976), S. 1–22.
- ↑ Heinz Löwe: Die „Vacetae insolae“ und die Entstehungszeit der Kosmographie des Aethicus Ister. In: Deutsches Archiv für Erforschung des Mittelalters, Bd. 31, H. 1 (1975), S. 1–16, hier S. 6f. Vgl. dazu auch Prinz: Geistesgeschichte, MGH, 1993, S. 48f.
- ↑ Cosmografia, c. 112–113.
- ↑ Löwe: Salzburg als Zentrum, 1975, S. 114–118. Prinz hält diese Stelle für geeignet, die Kosmographie in die Mitte des 8. Jh. zu datieren, folgt den Schlussfolgerungen Löwes aber nur in Teilen; Prinz: Geistesgeschichte, MGH, 1993, S. 46.
- ↑ Heinz Löwe: Die „Vacetae insolae“ und die Entstehungszeit der Kosmographie des Aethicus Ister. In: Deutsches Archiv für Erforschung des Mittelalters, Bd. 31, H. 1 (1975), S. 1–16, hier S. 13–16.
- ↑ Löwe: Salzburg als Zentrum, 1975, S. 129f.
- ↑ Löwe: Salzburg als Zentrum, 1975, S. 139–142.
- ↑ Heinz Löwe: Aethicus Ister und das alttürkische Runenalphabet. In: Deutsches Archiv für Erforschung des Mittelalters, Bd. 32, H. 1 (1976), S. 1–22, hier S. 21f.
- ↑ Löwe: Salzburg als Zentrum, 1975, S. 143. Daran hat Löwe auch in der Folgezeit festgehalten; Heinz Löwe: Zusammenfassung. Die Iren und Europa im frühen Mittelalter. In: Die Iren und Europa im frühen Mittelalter, Tbd. II, hrsg. v. dems., Stuttgart 1982, S. 1029f., Anm. 84; sowie ders.: Die Westliche Peregrinatio und Mission. Ihr Zusammenhang mit den länder- und völkerkundlichen Kenntnissen des frühen Mittelalters [1983]. In: Religiosität und Bildung im frühen Mittelalter. Ausgewählte Aufsätze von Heinz Löwe, hrsg. u. eingel. v. Tilman Struve, Weimar 1994, S. 87–132, hier S. 123f.
- ↑ Tristram: Ohthere, Wulfstan, Aethicus Ister, 1982, S. 163.
- ↑ Vgl. auch Smyth: Universum, 1984, S. 170: „Man gewinnt den Eindruck, daß hier ein Autor am Werke war, der daran gewöhnt war, an eine flache Welt zu glauben“.
- ↑ Tristram: Ohthere, Wulfstan, Aethicus Ister, 1982, S. 162–164. Tristrams Deutung ist aufgrund ihrer eigenwilligen Interpretation des Papstbriefes etwas inkonsistent; vgl. ebd. S. 161. Es ist im weiterhin keineswegs zwingend, dass es sich bei dem Streit zwischen Virgil und Bonifatius wirklich um einen Streit betreffend die Existenz von Gegenfüßlern gehandelt hat; vgl. Smyth: Universum, 1984, S. 177f.
- ↑ Tristram: Ohthere, Wulfstan, Aethicus Ister, 1982, S. 162, Anm. 26.
- ↑ Tristram: Ohthere, Wulfstan, Aethicus Ister, 1982, S. 162f., insbes. Anm. 24.
- ↑ Tristram: Ohthere, Wulfstan, Aethicus Ister, 1982, S. 164f.
- ↑ Otto Prinz: Untersuchungen zur Überlieferung und zur Orthographie der Kosmographie des Aethicus. In: Deutsche Archiv für Erforschung des Mittelalters, Jg. 37 (1981), S. 474–510. Dieser Aufsatz ist von Tristram: Ohthere, Wulfstan, Aethicus Ister, 1982, S. 158, Anm. 14.; nicht beachtet worden.
- ↑ Otto Prinz: Die Kosmographie des Aethicus. MGH, Quellen zur Geistesgeschichte des Mittelalters, Bd. 14, München 1993, S. 10–84. Eine kritische Rezension des Werkes ist von Michael W. Herren: Rezension. Otto Prinz, Die Kosmographie des Aethicus, MGH, Quellen zur Geistesgeschichte des Mittelalters 14. In: The Journal of Medieval Latin, Bd. 3 (1993), S. 236–45 vorgelegt worden.
- ↑ Prinz: Überlieferung und Orthographie, 1981, S. 505f.
- ↑ Prinz sieht in den Abschnitt über die Deportation von Bewohnern der Adriaküste und deren spätere Rückführung mögliche autobiographische Angaben; Prinz: Geistesgeschichte, MGH, 1993, S. 14f. Plausibel scheint Prinz auch eine avarische Herkunft; ebd. S. 18.
- ↑ Prinz: Überlieferung und Orthographie, 1981, S. 507f. und ders.: Geistesgeschichte, MGH, 1993, S. 46f., 49f.
- ↑ Prinz: Geistesgeschichte, MGH, 1993, S. 52. In einem weniger beachteten Aufsatz aus dem Jahr 1996, stellt Giulio D’Onofrio eine völlig andere Interpretation vor. Dabei betrachtet er die Kosmographie als einen genialen Versuch, heidnische und christliche Elemente mithilfe einer Weltbeschreibung zu einem umfassenden Konzept zu verschmelzen; Giulio D’Onofrio: La Cosmographia di Etico Ister. In: Storia della Teologia nel Medioevo, Bd. 1, hrsg. v. dems., Casale Monferrato 1996, S. 79–82, hier S. 81f.
- ↑ Prinz: Überlieferung und Orthographie, 1981, S. 501. Gemessen am Umfang des Werkes ist die Zahl der Quellen gleichwohl eher gering; ders.: Geistesgeschichte, MGH, 1993, S. 27.
- ↑ Prinz: Geistesgeschichte, MGH, 1993, S. 12.
- ↑ Prinz: Überlieferung und Orthographie, 1981, S. 509.
- ↑ Diese Schlussfolgerung basiert vorwiegend auf sprachlichen Merkmalen, weniger auf den von Löwe angeführten Argumenten; Prinz: Überlieferung und Orthographie, 1981, S. 500f.; 510.
- ↑ Prinz: Geistesgeschichte, MGH, 1993, S. 18.
- ↑ Prinz: Überlieferung und Orthographie, 1981, S. 510. und ders.: Geistesgeschichte, MGH, 1993, S. 10f.
- ↑ Vittorio Peri: La „Cosmographia” dell’ Anonimo di Histria e il suo compendio dell’ VIII secolo. In: Vestigia. Studi in onore di Giuseppe Billanovich, Bd. 2, hrsg. v. Rino Avesani u. a., Rom 1984, S. 503–58.
- ↑ Patrick Gautier Dalché: Du nouveau sur Aethicus Ister? À propos d’une théorie récente. In: Journal des savants, Jg. 1984, S. 175–86.
- ↑ Zu den Thesen Peris vgl. auch Hermann Walter: Mazedonien in der Kosmographie des Aethicus Hister. In: Thetis. Mannheimer Beiträge zur Klassischen Archäologie und Geschichte Griechenlands und Zyperns, Bd. 11–12 (2005), S. 119–23.
- ↑ Michael Richter: Sprachliche Untersuchung der Kosmographie des Aethicus Ister. In: Virgil von Salzburg. Missionar und Gelehrter, hrsg. v. Heinz Dopsch/Roswitha Juffinger, Salzburg 1984, S. 147–53.
- ↑ Diese sind: dexter, laevus, caraxare (in abgewandelter Form), magus und subfodere; Richter: Sprachliche Untersuchung, 1985, S. 148f.
- ↑ Michael Richter: Sprachliche Untersuchung der Kosmographie des Aethicus Ister. In: Virgil von Salzburg. Missionar und Gelehrter, hrsg. v. Heinz Dopsch/Roswitha Juffinger, Salzburg 1984, S. 147–153, hier S. 147.
- ↑ Michael Richter: Sprachliche Untersuchung der Kosmographie des Aethicus Ister. In: Virgil von Salzburg. Missionar und Gelehrter, hrsg. v. Heinz Dopsch/Roswitha Juffinger, Salzburg 1984, S. 147–153, hier S. 151.
- ↑ Prinz: Geistesgeschichte, MGH, 1993, S. 8. Ausführliche Wiederlegung der Argumente Richters bei Schmeja: Latinität des Aethicus, 1992, S. 292–305.
- ↑ Siehe dazu Epistula 68, Papst Zacharias an Bonifatius über Fälle von Wiederholung der Taufe in Bayern, Juli 746, in: Michael Tangl: MGH, Epistolae selectae. Bd. I, Berlin 1916.
- ↑ Zelzer: Geheimnisvolles Dunkel, 1991, S. 204.
- ↑ Zelzer: Geheimnisvolles Dunkel, 1991, S. 204.
- ↑ St. Gallen, Stiftsbibl. Nr. 133 / Wolfenbüttel, Herzog August Bibl., Cod. Guelf. 80.6 Aug. 8°.
- ↑ Zelzer: Geheimnisvolles Dunkel, 1991, S. 206.
- ↑ Zelzer: Geheimnisvolles Dunkel, 1991, S. 206.
- ↑ Löwe: Widersacher, 1951, S. 925f.; 949f.; Löwe: Salzburg als Zentrum, 1975, S. 141f. und Zelzer: Geheimnisvolles Dunkel, 1991, S. 191–93; 199–202. Der Einschätzung von Löwe und Zerzer folgt auch Stelzer, welcher darin einen „unwiderlegbaren Beweis für die direkte Beziehung zwischen der Kosmographie und Virgil“ erblickt; Winfried Stelzer: Ein Alt-Salzburger Fragment der Kosmographie des Aethicus Ister aus dem 8. Jahrhundert. In: Mitteilungen des Instituts für Österreichische Geschichtsforschung, Bd. 100 (1992), S. 132–49, hier S. 134, 136. Für Prinzens Kritik an Stelzer vgl. Prinz: Geistesgeschichte, MGH, 1993, S. 14; 78f.
- ↑ Zelzer: Geheimnisvolles Dunkel, 1991, S. 195f.
- ↑ Klaus Zelzer: „Cassianus natione Scytha“, ein Südgallier. In: Wiener Studien, Bd. 104 (1991), S. 161–68, hier S. 165–68.
- ↑ Winfried Stelzer: Ein Alt-Salzburger Fragment der Kosmographie des Aethicus Ister aus dem 8. Jahrhundert. In: Mitteilungen des Instituts für Österreichische Geschichtsforschung, Bd. 100 (1992), S. 132–49, hier S. 136. In jüngerer Zeit hat sich etwa Felicitas Schmieder: Pragmatisches Übersetzen. Texttransfer zum Nutzen von Handel und Mission. In: Grenzräume und Grenzüberschreitungen im Vergleich. Der Osten und der Westen des mittelalterlichen Lateineuropa, hrsg. v. Klaus Herbers/Nikolas Jaspert, Berlin 2007, S. 270 Anm. 24; für die Thesen Zelzers und Stelzers ausgesprochen.
- ↑ Prinz: Geistesgeschichte, MGH, 1993, S. 13. Michaela und Klaus Zelzer haben in der Folge an ihrer Position, einer Verfasserschaft der Kosmographie durch Virgil festgehalten; Klaus/Michaela Zelzer: Frühchristlich-östliches Erbe im westlichen Mönchtum [2010]. In: Ambrosius, Benedikt, Gregor. Philologisch-literarisch-historische Studien, im Gedenken an Micha Zelzer, überarb. u. hrsg. v. Klaus Zelzer, Wien 2015, S. 152–73, hier S. 173.
- ↑ Zelzer: Geheimnisvolles Dunkel, 1991, S. 204f.
- ↑ Prinz: Geistesgeschichte, MGH, 1993, S. 13.
- ↑ Prinz: Geistesgeschichte, MGH, 1993, S. 13.
- ↑ Cosmografia, c. 17, 43, 66b.
- ↑ Prinz: Geistesgeschichte, MGH, 1993, S. 52.
- ↑ Michael W. Herren: The Cosmography of Aethicus Ister, Edition, Translation, and Commentary, Turnhout 2011. Eine eher skeptische Rezension ist von Leofranc Holford-Strevens verfasst worden; Rezension. Michael W. Herren, The Cosmography of Aethicus Ister, Edition, Translation, and Commentary. In: Peritia, Bd. 22/23 (2011/12), S. 368–84.
- ↑ In einem frühen Aufsatz aus dem Jahr 1976 hatte sich Herren sogar zustimmend zur Virgil-These geäußert; Michael W. Herren: The Pseudonymous Tradition in Hiberno-Latin. An Introduction. In: Latin Script and Letters A. D. 400–900. Festschrift presented to Ludwig Bieler on the Occasion of his 70th Birthday, hrsg. v. John J. O’Meara and Bernd Naumann, Leiden 1976, S. 121–31, hier S. 122.
- ↑ Herren, Michael W.: Aethicus Ister and Virgil the Grammarian. In: Mélanges François Kerlouégan, hrsg. v. Danièle Conso u.a, Paris 1994, S. 285–88; hier S. 288.
- ↑ Herren: Speculations, 2004, S. 99f.
- ↑ Cosmografia, c. 95.
- ↑ Cosmografia, c. 90.
- ↑ Cosmografia, c. 58c; vgl. dazu Herren: Cosmography, 2011, S. 222, Anm. 39.
- ↑ Michael W. Herren: The Cosmography of Aethicus Ister and Ancient Travel Literature. In: The World of Travellers. Exploration and Imagination, hrsg. v. Kees Dekker u. a., Löwen u. a. 2009, S. 5–30, hier S. 19–21; und ders.: Cosmography, 2011, S. xxxix–xl, lv–lxi.
- ↑ Herren: Speculation, 2004, S. 99f. Zwar geht Herren aufgrund grober Übereinstimmungen im Weltbild von der Verwendung der Topographia Christiana aus, doch diese habe er nur aus einer (verlorenen) in Südengland entstandenen lateinischen Kopie gekannt; ebd. S. 97f.; und ders.: Cosmography, 2011, S. lxx.
- ↑ Herren: Speculation, 2004, S. 99f.
- ↑ Cosmografia, c. 101–104.
- ↑ Cosmografia, c. 103b; Herren: Cosmography, 2011, S. lxxiv–lxxv.
- ↑ Cosmografia, c. 25; vgl. auch Michael W. Herren: The “Greek Element” in the “Cosmographia” of Aethicus Ister. In: The Journal of Medieval Latin, Bd. 11 (2001), S. 184–200, hier S. 119f.
- ↑ Zum Thema des Entstehungsortes insbes. Herren: Cosmography, 2011, S. lxi–lxxiii.
- ↑ Zum Lebensweg des Kosmographen siehe Herren: Cosmography, 2011, S. lxviii–lxxiii; lxxvi–lxxviii. In einem früheren Aufsatz hatte Herren noch über eine Vollendung des Werkes im Südengland der 670er Jahre spekuliert; Herren: Speculation, 2004, S. 100. Skeptische betreffend dieser Rekonstruktion Leofranc Holford-Strevens verfasst worden; Rezension. Michael W. Herren, The Cosmography of Aethicus Ister, Edition, Translation, and Commentary. In: Peritia, Bd. 22/23 (2011/12), S. 368–84.
- ↑ Michael W. Herren: The Cosmography of Aethicus Ister and Ancient Travel Literature. In: The World of Travellers. Exploration and Imagination, hrsg. v. Kees Dekker u. a., Löwen u. a. 2009, S. 5–30, hier S. 27; und Herren: Philology and Mercury, 2023, S. 128f. Er folgt mit dieser Deutung gewissermaßen der Auffassung von Hillkowitz, der in seiner Dissertation ebenfalls eine „Parodie auf Erdbeschreibungen“ als Zweck der Abfassung ausmacht hatte; Hillkowitz: Zur Kosmographie I, 1934, S. 73.
- ↑ Michael W. Herren: The Cosmography of Aethicus Ister and Ancient Travel Literature. In: The World of Travellers. Exploration and Imagination, hrsg. v. Kees Dekker u. a., Löwen u. a. 2009, S. 5–30, hier S. 27. Damit hat sich Herren im Grunde auch von seiner Schlussfolgerung in seinem Aufsatz von 1989 distanziert, in welchem er noch die Auffassung vertreten hatte, der Autor habe durch eine von durchschaubaren Witzen geprägte Reisebeschreibung sowohl unterhalten, als auch geographisches und ethnographisches Wissen verbreiten wollen; Michael W. Herren: Wozu diente die Fälschung der Kosmographie des Aethicus? In: Lateinische Kultur im VIII. Jahrhundert. Traube-Gedenkschrift, hrsg. v. Albert Lehner/Walter Berschin, St. Ottilien 1989, S. 145–59, hier S. 159. Zustimmung zu seiner jüngeren These hat Herren u. a. von Antti Lampinen: Forging the Feel of Ancient Ethnography in Pseudo-Jerome’s Cosmography of Aethicus Ister. In: Animo decipiendi? Rethinking Fakes and Authorship in Classical, Late Antique,/Early Christian works, hrsg. v. Antonio Guzmán/Javier Martínez, Groningen 2018, S. 229f.; erfahren.
- ↑ Herren: Cosmography, 2011, S. cxii–cxiii.