LiMAx-Test
Der LiMAx-Test (maximum liver function capacity) ist ein Leberfunktionstest, der auf der Verstoffwechselung von 13C-Methacetin durch das leberspezifische Cytochrom-P450-1A2-System beruht und die aktuelle Leberleistung im Augenblick der Messung am Patientenbett wiedergibt (Point-of-Care-Testing). LiMAx® ist eine eingetragene Marke der Firma Humedics GmbH (Berlin), die den Test und das zugehörige Messgerät (FLIP®) kommerziell entwickelt und vertreibt und die Patente am Testverfahren hält.[1]
Testprinzip
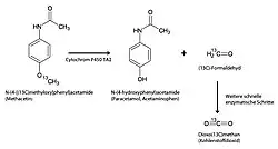
Der LiMAx-Test ist ein leberspezifischer Atemgastest. Dem Patienten wird eine 13C-Methacetin-haltige Lösung intravenös verabreicht und erreicht mit dem Blutstrom die Leber. Dort wird die Testsubstanz 13C-Methacetin durch das leberspezifische Enzym Cytochrom P450 1A2 zu Paracetamol und letztlich zu 13CO2 verstoffwechselt, das anschließend über den Blutstrom zu den Lungen transportiert und hier abgeatmet wird.

Cytochrom P450 1A2 ist gleichmäßig über alle Zellen eines Leberazinus verteilt[2] und kommt im Gegensatz zu anderen Mitgliedern der Cytochrom-P450-Familie ausschließlich in der Leber vor (leberspezifisch). Weiterhin ist das genannte Cytochrom P450 1A2 kaum durch klinisch häufig eingesetzte Medikamente induzierbar. Das als Testsubstanz eingesetzte 13C-Methacetin ist in der eingesetzten Dosierung nicht toxisch und sehr gut verträglich.[3] Das zur Markierung eingesetzte 13C ist ein stabiles, natürlich vorkommendes und nicht radioaktives Kohlenstoffisotop. Da 13C natürlicherweise auch mit der Nahrung aufgenommen wird, dürfen Patienten mindestens drei Stunden vor Messung nicht essen (nüchtern), um den Test nicht zu beeinflussen.
Testdurchführung
Der Patient bekommt zu Beginn des Tests eine Atemmaske aufgesetzt, die Einatemluft von Ausatemluft durch zwei Ventile trennt. Anschließend wird über eine Zeitspanne von 10 bis 20 Minuten das individuelle Verhältnis von 13CO2/12CO2 in der Ausatemluft als Referenzwert ermittelt (sogenannten Baseline-Messung).

Nach Injektion von 13C-Methacetin steigt das Verhältnis von 13CO2/12CO2 entsprechend an und wird durch Lasertechnik kontinuierlich in einem angeschlossenen Messgerät (FLIP®) quantifiziert. Da während der Messung nur das Verhältnis von 13CO2/12CO2 gemessen wird, beeinflussen chronische Lungenerkrankungen (z. B. COPD, Fibrose) das Ergebnis nicht. Mittels kinetischer Analyse kann der zeitliche Umsatz von 13C-Methacetin ermittelt werden. Der LiMAx-Wert ergibt sich hierbei als der auf das Körpergewicht normierte Maximalwert des Substratumsatzes.
Klinische Anwendung
Der LiMAx-Test findet bislang an deutschen, österreichischen und schweizerischen Universitätskliniken einen breiten Einsatz in hepatologischen und leberchirurgischen Fragestellungen.[4] Stockmann et al. (2009) und Stockmann et al. (2010) konnten zeigen, dass der LiMAx-Wert eine gute Vorhersage für postoperatives Leberversagen nach leberchirurgischen Eingriffen ist.[5][6] Nach Lock et al. (2012) kann zudem die einsetzende Leberregeneration gut charakterisiert werden.[7] Im Rahmen einer Lebertransplantation können mit Hilfe des LiMAx-Tests zeitnah nach der Transplantation Funktionsstörungen des Transplantats erkannt werden und Patienten von passenden Gegenmaßnahmen profitieren.[8] Mit Hilfe des LiMAx-Tests kann eine bestehende Zirrhose des Organs diagnostiziert und nach funktioneller Beeinträchtigung eingestuft werden.[9]
Forschung und Entwicklung
Der LiMAx-Test basiert vornehmlich auf Forschungs- und Entwicklungsarbeiten von Martin Stockmann und Karsten Heyne seit dem Jahr 2001. Im Jahr 2009 wurde die Firma Humedics gegründet, um einen Prototyp des LiMAx-Tests zu entwickeln und zu kommerzialisieren. Medizinische Forschung zum LiMAx-Test findet in der Arbeitsgruppe „workgroup for the liver“ der Charité Universitätsmedizin Berlin statt.[10]
Würdigung
Im Jahr 2013 wurde dem Erfinder des Verfahrens, Martin Stockmann, für seine Arbeit am LiMAx-Test von der Deutschen Gesellschaft für Chirurgie (DGCH) der Von-Langenbeck-Preis für besondere wissenschaftliche Leistungen auf dem Gebiet der Chirurgie verliehen.[11]
Weblinks
Einzelnachweise
- ↑ Patentfamilie zum LiMAx-Test und zum FLIP-Messgerät im Europäischen Patentregister
- ↑ C. N. Palmer, P. J. Coates, S. E. Davies et al.: Localization of cytochrome P-450 gene expression in normal and diseased human liver by in situ hybridization of wax-embedded archival material. In: Hepatology, 1992, 16(3), S. 682–687.
- ↑ G. A. Starmer, S. McLean, J. Thomas: Analgesic potency and acute toxicity of substituted anilides and benzamides. In: Toxicology and applied pharmacology, 1971, 19(1), S. 20–28.
- ↑ M. Jara, J. Bednarsch, J. F. Lock et al.: Enhancing safety in liver surgery using a new diagnostic tool for evaluation of actual liver function capacity – The LiMAx test. In: Deutsche Medizinische Wochenschrift, 2014, 139(8), S. 387–391.
- ↑ M. Stockmann, J. F. Lock, B. Riecke et al.: Prediction of postoperative outcome after hepatectomy with a new bedside test for maximal liver function capacity. In: Annals of Surgery, 2009, 250(1), S. 119–125.
- ↑ M. Stockmann, J. F. Lock, M. Malinowski et al.: The LiMAx test: a new liver function test for predicting postoperative outcome in liver surgery. In: HPB, 2010, 12(2), S. 139–146.
- ↑ J. F. Lock, M. Malinowski, D. Seehofer et al.: Function and volume recovery after partial hepatectomy: influence of preoperative liver function, residual liver volume, and obesity. In: Langenbeck’s archives of surgery, 2012.
- ↑ J. F. Lock, F.E. Schwabauer, P. Martus et al.: Early diagnosis of primary nonfunction and indication for reoperation after liver transplantation. In: Liver transplantation, 2010, 16(2), S. 172–180.
- ↑ M. Stockmann, J. F. Lock, M. Malinowski et al.: Accurate Diagnosis and Grading of Cirrhosis using the new LiMAx test. In: Journal of hepatology, 2012, 56, S. 389–548.
- ↑ Arbeitsgruppe „workgroup for the liver“ an der Charité unter Leitung von Martin Stockmann
- ↑ Pressemitteilung der Charité – Universitätsmedizin Berlin vom 15. Mai 2013