Magischer Stern
Ein magischer Stern ist eine sternförmige Anordnung verschiedener natürlicher Zahlen, die sich so in gleich große Teilmengen zerlegen lassen, dass die Summe der Zahlen jeder Teilmenge gleich einer konstanten magischen Zahl ist.
Ein magischer Stern kann aus natürlichen Zahlen in ununterbrochener oder unterbrochener Reihenfolge bestehen, wie die nachfolgenden Beispiele zeigen.
-
Magischer Fünfzackstern -
Magischer Sechszackstern -
Magischer Siebenzackstern -
Magischer Achtzackstern
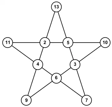
Magischer fünfzackiger Stern
Der fünfzackige Stern enthält fünf Strecken, an denen je vier natürliche Zahlen aufgereiht sind. Jede dieser fünf Viererkombinationen hat die magische Summe 28. Hier sind zwar alle Zahlen verschieden, jedoch werden nur zehn der Zahlen 1 bis 13 verwendet.[1]
Magischer sechszackiger Stern
Der sechszackige Stern enthält sechs Strecken, an denen je vier der natürlichen Zahlen 1 bis 12 aufgereiht sind. Jede dieser sechs Viererkombinationen hat die magische Summe 26. Auch die Summe der Zahlen 12, 3, 9 und 2 in den Eckpunkten der mittleren Raute ist die magische Zahl 26.[2]
Darüber hinaus gibt es weitere sechszackige Sterne, die zusätzlich auch noch die Eigenschaften haben, dass sowohl das innere Sechseck als auch die Eckpunkte der beiden großen sich überlappenden Dreiecke jeweils die magische Summe 26 besitzen.[3]
Magischer siebenzackiger Stern
Der siebenzackige Stern enthält sieben Strecken, an denen je vier der natürlichen Zahlen 1 bis 14 aufgereiht sind. Jede dieser sieben Viererkombinationen hat die magische Summe 30.[4]
Magischer achtzackiger Stern
Der achtzackige Stern besteht aus vier Strecken, an denen je acht der natürlichen Zahlen 1 bis 33 aufgereiht sind, wobei die Zahl 9 im Zentrum bei den Summenbildungen nicht berücksichtigt wird. Jede dieser vier Achterkombinationen hat die magische Summe 138. Auch die Summe der Zahlen an jedem der vier (gestrichelten) konzentrischen Kreise ist gleich der magischen Zahl 138.[5]
Weiterführende Themen
- Magisches Quadrat
- Magisches Polygon, regelmäßige n-Ecke mit Eigenschaften magischer Quadrate
- Magischer Würfel (dreidimensionale Erweiterung magischer Quadrate)
- Magisches Sechseck (Anordnung von Zahlen in Wabenform)
- Vollkommen perfektes magisches Quadrat (magische Quadrate mit zusätzlichen Eigenschaften der Unterquadrate)
- Magisches Klangquadrat
- Magischer Graph
Weblinks
- Der magische Stern Tages-Anzeiger vom 3. Mai 2018, abgerufen am 28. August 2022
Einzelnachweise
- ↑ Jan Gullberg: Mathematics - From the Birth of Numbers. New York / London 1997, Seite 213
- ↑ Hermann Schubert: Mathematische Mußestunden. Neubearbeitung von F. Fittig, Walter de Gruyter und Co., 1935
- ↑ Wilhelm Ahrens: Altes und Neues aus der Unterhaltungsmathematik Verlag von Julius Springer, Berlin 1918, S. 133–140
- ↑ Magische Quadrate - Magischer siebeneckiger Stern aus mathematische-basteleien.de, abgerufen am 27. August 2022
- ↑ Kenneth Kelsey: Magische Zahlenspiele. dtv 1983, ISBN 3-423-10199-7





