Mefloquin
| Strukturformel | ||||||||||||||||
|---|---|---|---|---|---|---|---|---|---|---|---|---|---|---|---|---|
| ||||||||||||||||
| Mefloquin: 1:1-Stereoisomerengemisch aus (S,R)-Form (links) (R,S)-Form (rechts) | ||||||||||||||||
| Allgemeines | ||||||||||||||||
| Freiname | Mefloquin | |||||||||||||||
| Andere Namen |
| |||||||||||||||
| Summenformel | C17H16F6N2O | |||||||||||||||
| Kurzbeschreibung |
weißes bis schwach gelbes, kristallines und polymorphes Pulver (Hydrochlorid)[1] | |||||||||||||||
| Externe Identifikatoren/Datenbanken | ||||||||||||||||
| ||||||||||||||||
| Arzneistoffangaben | ||||||||||||||||
| ATC-Code |
P01BC02 | |||||||||||||||
| Wirkstoffklasse | ||||||||||||||||
| Eigenschaften | ||||||||||||||||
| Molare Masse | ||||||||||||||||
| Schmelzpunkt | ||||||||||||||||
| pKS-Wert |
8,6 (Hydrochlorid)[2] | |||||||||||||||
| Löslichkeit |
sehr schwer löslich in Wasser, leicht löslich in Methanol, löslich in Ethanol 96 % (HCl)[1] | |||||||||||||||
| Sicherheitshinweise | ||||||||||||||||
| ||||||||||||||||
| Toxikologische Daten | ||||||||||||||||
| Wenn nicht anders vermerkt, gelten die angegebenen Daten bei Standardbedingungen (0 °C, 1000 hPa). | ||||||||||||||||
Mefloquin ist ein synthetisch hergestellter Arzneistoff zur Prophylaxe und Therapie der Malaria. Das Medikament ist eine gemeinsame Entwicklung des Walter Reed Army Institute of Research (WRAIR) der United States Army[5] und des Pharmakonzerns F. Hoffmann-La Roche AG. Es unterliegt der ärztlichen Verschreibungspflicht und darf in Deutschland sowie zahlreichen anderen Ländern aufgrund möglicher schwerer und lang anhaltender Nebenwirkungen nur nach dem Ausfüllen einer Checkliste für Kontraindikationen und dem Aushändigen eines Patientenpasses verschrieben werden.[6]
Mefloquin wirkt gegen die intraerythrozytären ungeschlechtlichen Formen der Malariaerreger Plasmodium falciparum, P. vivax, P. malariae, P. ovale beim Menschen. (Krankheitserreger der Malaria tropica, M. tertiana, M. quartana). Insbesondere wirkt Mefloquin dabei auch gegen Malariaparasiten, die eine Resistenz gegen andere Malariamittel wie Chloroquin, Proguanil, Pyrimethamin sowie Pyrimethamin-Sulfonamid-Kombinationen entwickelt haben.[7]
Mefloquin unterbricht eine der wichtigsten Stoffwechselfunktionen der Malariaerreger, worauf die Erreger langsam absterben. Der genaue Wirkungsmechanismus ist jedoch unbekannt. Der Wirkstoff ist strukturverwandt mit Chinin und Chloroquin.[8]
In einigen Gebieten Südostasiens zeigen sich häufig Resistenzen bei Plasmodium falciparum, weshalb bei einer Infektion auf entsprechend andere Wirkstoffe ausgewichen werden muss. Bei einer Infektion mit dem Erreger Plasmodium vivax wird eine Weiterbehandlung mit einem anderen Medikament empfohlen, um Rezidiven vorzubeugen (siehe auch: Primaquin).[7]
Es wird generell dazu geraten, Mefloquin nicht zur Behandlung einzusetzen, wenn es bereits als Chemoprophylaxe eingenommen wurde.
Von der Deutschen Gesellschaft für Tropenmedizin und Globale Gesundheit e. V. (DTG) wird das Medikament momentan als Alternative zu Atovaquon-Proguanil oder Doxycyclin zur Prophylaxe der Malaria tropica nur bei begründeter medizinischer Indikation und unter Beachtung der besonderen Warnhinweise in Gebieten mit hohem Übertragungsrisiko ohne Mefloquin-resistente Erreger empfohlen.[9]
Der Einsatz von Mefloquin zur Behandlung von Malaria (sowohl zur notfallmäßigen Selbstbehandlung als auch unter stationären Bedingungen) wird wegen möglicher schwerer Nebenwirkungen im Normalfall nicht mehr empfohlen.[10]
In Deutschland verzichtete der damalige Hersteller Roche im Februar 2016 auf die Zulassung von Lariam, dem einzigen Mefloquin-Präparat auf dem deutschen Markt. Der Vertrieb wurde im April des gleichen Jahres eingestellt. Dem deutschen Großhandel und Apotheken war der Abverkauf von Restbeständen noch für weitere zwei Jahre erlaubt. Darüber hinaus waren Parallelimporte auf dem deutschen Markt erhältlich,[11] deren Einsatz von der DTG explizit empfohlen wurde.[12]
Im Mai 2020 wurde bekanntgegeben, dass in Deutschland die Bezugszulassung für die Lariam Produkte der Firmen Emra-Med Arzneimittel GmbH (PZN: 07393184) und kohlpharma (PZN: 08898302) erloschen ist und das Bundesinstitut für Arzneimittel und Medizinprodukte (BfArM) einen Widerruf der Zulassung angeordnet hat. Die betroffenen Firmen riefen daraufhin alle Chargen mit sofortiger Wirkung zurück.[13][14] Im Juni folgte der Rückruf aller Chargen der EurimPharm Arzneimittel GmbH (PZN: 08860647)[15] und im Juli dann der Rückruf von Orifarm (PZN: 06194100)[16] sowie der Pharma Gerke Arzneimittelvertriebs GmbH (PZN: 08859087).[17] Über diesen Widerruf der Zulassung von Mefloquin-Parallelimporten durch das BfArM wurde im gleichen Monat dann auch an anderer Stelle berichtet.[18][19]
Chemie
Stereoisomerie
Mefloquin enthält zwei stereogene Zentren, deshalb gibt es vier Stereoisomere:
- (A) (S)-(2,8-Bis(trifluormethyl)chinolin-4-yl)((R)-piperidin-2-yl)methanol – [(+)-erythro-Mefloquin]
- (B) (R)-(2,8-Bis(trifluormethyl)chinolin-4-yl)((S)-piperidin-2-yl)methanol – [(−)-erythro-Mefloquin]
- (C) (R)-(2,8-Bis(trifluormethyl)chinolin-4-yl)((R)-piperidin-2-yl)methanol – [(−)-threo-Mefloquin]
- (D) (S)-(2,8-Bis(trifluormethyl)chinolin-4-yl)((S)-piperidin-2-yl)methanol – [(+)-threo-Mefloquin]
Als Arzneistoff wird das Racemat [1:1-Gemisch] aus den beiden erstgenannten Stereoisomeren eingesetzt, die zueinander enantiomer sind. Die beiden anderen Stereoisomere [(R,R)-Form und (S,S)-Form] sind Diastereomere des racemischen Arzneistoffes [(S,R)-Form und (R,S)-Form] und besitzen keine praktische Bedeutung.[20][21]
Synthese
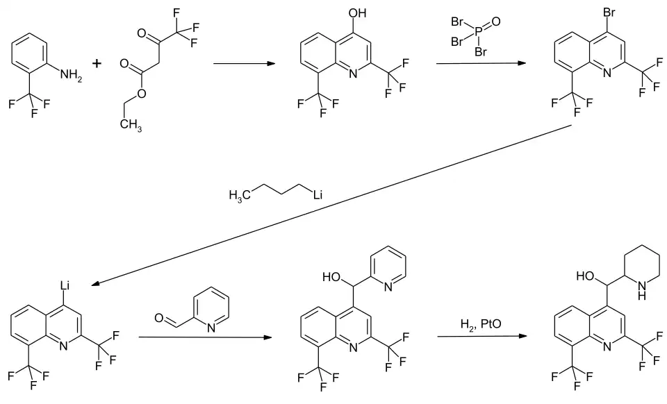
Es sind mehrere Synthesen für Mefloquin in der Literatur beschrieben.[22] Ein von Roche 1978 patentiertes Verfahren[23] beschreibt eine fünfstufige Synthesesequenz. Im ersten Schritt wird durch die Umsetzung von 2-Trifluormethylanilin mit Ethyltrifluoracetoacetat die Chinolingrundstruktur aufgebaut. Nach Substitution der OH-Funktion durch Brom mittels Phosphoroxybromid, einer Lithiierung mittels n-Butyllithium und Umsetzung mit Pyridin-2-carbaldehyd wird die Pyridylvorstufe des Wirkstoffs erhalten. Die Zielverbindung wird dann durch die Hydrierung der Pyridinylfunktion in Gegenwart von Platin(II)-oxid hergestellt. Bei dieser Synthese wird ein Racemat der beiden enantiomeren erythro-Stereoisomeren erhalten. Alternative Synthesewege[24][25] führen ebenfalls zur Pyridinylvorstufe, womit die Hydrierung wiederum den letzten Syntheseschritt bildet.
Für die selektive Herstellung der vier möglichen Stereoisomere sind die Synthesewege in der Literatur dargestellt.[26][27]
Chiralität und Struktur-Wirkungsbeziehung
Mefloquin ist ein chirales Molekül mit zwei stereogenen Zentren und besitzt daher vier verschiedene Stereoisomere. Plasmakonzentrationen der (−)-Enantiomere sind wesentlich höher als die der (+)-Enantiomere und die Pharmakokinetik beider Enantiomere ist signifikant unterschiedlich.[28][29][30]
Es gibt Vermutungen, dass die (+)-Enantiomere hauptsächlich zur Behandlung der Malaria wirksam sind, während die (−)-Enantiomere sich besonders an die Adenosinrezeptoren des ZNS binden, was einige der psychotropen Nebenwirkungen erklären könnte.[31][32] Eine randomisierte Doppel-Blind-Studie aus dem Jahr 2010 konnte hingegen keine bedeutenden Vorteile von (+)-Mefloquin gegenüber Mefloquin-Racemat in Bezug auf die Verträglichkeit feststellen.[33]
Pharmakologie
Dosierung
Für eine erwachsene Person wird zur Prophylaxe eine Dosierung von 250 mg pro Woche empfohlen (Beginn zwei bis drei Wochen vor der anzunehmenden Exposition, Beendigung vier Wochen danach).[34] Die therapeutische Dosierung beträgt 750 mg Mefloquin-Base bei Therapiebeginn, sechs Stunden danach weitere 500 mg, zwölf Stunden danach weitere 250 mg.[35] Die Substanz wird nur sehr zögerlich ausgeschieden (siehe unter Nebenwirkungen).
Nebenwirkungen
Im Vordergrund der Nebenwirkungen von Mefloquin stehen neurologische und psychiatrische Symptome.[36] Hierzu zählen u. a. Schlafstörungen, Albträume/ungewöhnliche Träume, Schwindel, Koordinations- und Gleichgewichtsstörungen, Tinnitus, Verwirrtheit, Angstzustände, Depressionen, Psychosen, Halluzinationen und Krämpfe. Sollte es während der prophylaktischen Einnahme zu psychischen Veränderungen (Insomnie, Albträume/ungewöhnliche Träume, akute Angstzustände, Depressionen, Verwirrtheit, Unruhe) kommen, sind diese laut Herstellerangaben als „prodromal für schwerwiegendere Ereignisse anzusehen“.[37][38][39] In diesem Fall muss das Medikament unverzüglich abgesetzt und durch ein anderes Mittel zur Malariaprophylaxe ersetzt werden.
Mefloquin kann außerdem Probleme im Verdauungstrakt verursachen wie Übelkeit, Durchfall, Erbrechen. Darüber hinaus treten dermatologische Nebenwirkungen (vereinzelt auch schwere Fälle) und Augenerkrankungen auf.
Die Ausscheidung dauert sehr lange, zwei bis drei Wochen ist die Plasmahalbwertszeit. Unerwünschte Nebenwirkungen können während jedes Zeitpunktes der Einnahme und auch noch nach dem Absetzen des Medikaments auftreten. In einigen Fällen können neuropsychiatrische Symptome über Monate oder Jahre anhalten oder dauerhaft sein.[40][41][42]
Kontraindikationen und Wechselwirkungen
Mefloquin sollte nicht bei Überempfindlichkeit gegen chininartige Stoffe genommen werden, auch bei Epilepsie und psychischen Vorerkrankungen sollte das Mefloquin nicht verwendet werden. Mindestgewicht des Einnehmenden sollte 5 kg betragen. Bei Nieren- oder Lebererkrankungen, Herzrhythmusstörungen und der Einnahme von Herz- und Kreislaufmedikamenten muss besondere Vorsicht walten. Während der Schwangerschaft soll Mefloquin laut Hersteller nur unter strikter Einhaltung der Indikationen eingenommen werden. Grundsätzlich sei Schwangeren bzw. Frauen, die schwanger werden wollen, jedoch vor Reisen in Malariagebiet abzuraten.[43][44][45][46]
Mefloquin darf nicht gleichzeitig mit Hypericum-Extrakten (Johanniskraut-Extrakten) eingenommen werden, da hierdurch ein Wirkungsverlust von Mefloquin erfolgen kann. Dieser Wirkungsverlust wurde ebenfalls bei gleichzeitiger Einnahme des Antibiotikums Rifampicin festgestellt, weshalb die gleichzeitige Einnahme von Rifampicin und Mefloquin nur in Notfällen erfolgen sollte.[47]
Aufgrund der Ähnlichkeit der Symptome besteht die Gefahr einer Verwechslung neurologischer und psychiatrischer Nebenwirkungen mit den Folgen einer Posttraumatischen Belastungsstörung oder eines Schädel-Hirn-Traumas. Der Einsatz des Medikaments bei Soldaten wird daher kritisch betrachtet.[48][49][50][51][52]
Seit September 2013 führt der Hersteller zudem Kontraindikationen bei schweren Leberfunktionsstörungen und dem Auftreten des so genannten Schwarzwasserfiebers auf.[53] Beim Schwarzwasserfieber (heute als Hämoglobinurie bezeichnet) handelt es sich um eine schwere Komplikation der Malaria, bei der sich der Urin durch massive Hämolyse dunkel verfärbt.
Patientenpass
In Deutschland werden Patienten seit September 2013 mittels eines sogenannten Patientenpasses über mögliche Neben- und Wechselwirkungen sowie Kontraindikationen von Mefloquin informiert.[54] Der Ausweis soll während der Einnahmezeit dauerhaft mitgeführt und jedem behandelnden Mediziner gezeigt werden. Ausdrücklich wird die Notwendigkeit betont, beim Auftauchen neuropsychiatrischer Symptome einen Arzt aufzusuchen, um in Absprache mit diesem das Medikament unverzüglich abzusetzen und auf einen anderen Wirkstoff umzusteigen (siehe unter anderem auch: Doxycyclin, Atovaquon-Proguanil).
Der deutsche Patientenpass folgt dem Vorbild des in den USA bereits 2003 eingeführten und zuletzt im Juli 2013 aktualisierten Medikamentenführers („medication guide“).[55] Auch in weiteren EU-Staaten wurden im Juli 2013 Patientenpässe für Mefloquin eingeführt.[56][57]
Seit dem 6. Oktober 2014 liegt der Patientenpass in Deutschland unmittelbar jeder von der Roche Pharma AG direkt abgegebenen Packung bei.[58]
Verkaufszahlen
In Deutschland sind die Verkaufszahlen von Mefloquin-Produkten seit einigen Jahren stark rückläufig. Während im Jahr 2002 über öffentliche Apotheken (Original und Import) ca. 175.000 Packungen umgesetzt wurden, waren es 2012 noch rund 37.000 Stück.[59] Im November 2015 berichtete der Informationsdienst Apotheke Adhoc. Mefloquin habe in Deutschland aktuell nur noch „eine untergeordnete Bedeutung bei der Vorbeugung“[60] von Malaria. 88 % der in den vorangegangenen zwölf Monaten in Deutschland verkauften Malariamedikamente fielen demnach auf die Wirkstoffkombination Atovaquon-Proguanil.
Kontroverse
Der Einsatz von Mefloquin zur Prophylaxe von Malariainfektionen wird schon seit Einführung des Medikamentes kontrovers diskutiert. Liegen die Vorteile einerseits in dem relativ guten Schutz vor Infektion bei nur wöchentlicher Einnahme, wird andererseits immer wieder von neurologischen und psychiatrischen Nebenwirkungen berichtet. Studien, die ursprünglich zur Zulassung führten und eine scheinbar gute Verträglichkeit des Medikaments zeigen, zeichnen sich durch methodische Schwächen aus (zum Beispiel Mangel einer adäquaten Kontrollgruppe im Rahmen einer randomisierten, kontrollierten Studie, nicht-repräsentative Patientenkollektive wie z. B. Soldaten oder Gefängnisinsassen, problematische Definitionen schwerer Nebenwirkungen).[61][62][63] Randomisierte Doppel-Blind-Studien an Durchschnittsreisenden mit 976 bzw. 623 Teilnehmern zeigen hingegen bei 29–37 % neuropsychiatrische Nebenwirkungen unterschiedlicher Ausprägung. Diese Werte sind statistisch signifikant höher als in den Kontrollgruppen.[64][65][66]
In der Politik wurde das Thema der Mefloquin-Nebenwirkungen wiederholt thematisiert. Neben den Auswirkungen des Mittels auf Zivilisten stand besonders der Einsatz bei Militärangehörigen international wiederholt in der Kritik.[67][68][69][70][71][72] So verlangten der damalige US-Kongressabgeordnete Bart Stupak sowie Senator Christopher John Dodd im Jahr 2002 unabhängige Forschung, die zivilen Strukturen unterliegen solle.[73] Im Januar 2005 forderte die Senatorin Dianne Feinstein (Demokraten) den damaligen US-Verteidigungsminister Donald Rumsfeld schriftlich dazu auf, einen möglichen Zusammenhang zwischen der Einnahme von Mefloquin und Hirnstammschäden unter US-Soldaten aufzuklären.[74]
Eine im Februar 2006 veröffentlichte Studie mit Tierversuchen an jungen Ratten belegt eine dosisabhängige Wirkung auf das Verhalten der Tiere bis hin zur Degeneration von Nervenkernen im Hirnstamm, wobei sich eine Schwelldosis ermitteln ließ.[75]
Weiterhin berichteten die Nachrichtenagenturen United Press International und Associated Press in den Jahren 2002–2005 über eine Anhäufung suizidaler, paranoider und aggressiver Symptome unter australischen und US-Soldaten nach der Einnahme von Mefloquin, so dass dieses Thema auch in den internationalen Medien an Bedeutung gewann und zu Verunsicherung führte.[76][77][78]
Auf der Generalversammlung im Jahr 2007 distanzierte sich der damalige Präsident des Verwaltungsrates der Hoffmann La Roche AG, Franz B. Humer, teilweise von Mefloquin zur Malariavorbeugung: „LARIAM war in der Vergangenheit das wichtigste Medikament zur Bekämpfung der Malaria. Aufgrund der Weiterentwicklung der Wissenschaft gibt es heute wirksamere und bezüglich Nebenwirkungen bessere Malariamittel, die auch vorwiegend eingesetzt werden.“[79] In bestimmten Fällen werde das Medikament gleichwohl weiter verwendet. Das Unternehmen stehe zu seiner Verantwortung.
In einem Memorandum vom 2. Februar 2009 stufte der Generalstabsarzt der US-Armee, Eric Schoomaker, Mefloquin zunächst auf ein Medikament zweiter Wahl zur Malariavorbeugung von Soldaten zurück.[80] Das Medikament ist dort heute ein Mittel dritter Wahl und soll nur noch für US-Armeeangehörige mit einer Kontraindikation gegen Doxycyclin und Atovaquon-Proguanil prophylaktisch verwendet werden.[81][82] In den USA stellte Roche im Sommer 2009 die Produktion und den Vertrieb von Mefloquin (Lariam) ein. Das Medikament ist dort weiterhin als Generikum erhältlich.[83] In anderen Ländern erfolgte zunächst keine Marktrücknahme.
Nach dem Kandahar-Massaker vom 11. März 2012, dessen United States Army Staff Sergeant Robert Bales beschuldigt wurde, stellten Medienberichte und die Rechtsanwälte des Angeklagten die Frage, ob die Einnahme von Mefloquin einen Einfluss auf Bales psychische Verfassung zur Tatzeit hatte.[84][85][86][87][88][89][90][91] In Deutschland sorgte der Einsatz des Medikaments bei Soldaten der Bundeswehr in der Folge für Berichterstattung in den Medien[92][93][94] und politische Diskussionen.[95][96][97]
Im Sommer 2012 gab die US-Arzneimittelbehörde Food and Drug Administration (FDA) bekannt, Mefloquin auf mögliche schwere Gleichgewichtsstörungen zu überprüfen.[98] In Deutschland erhielt das Medikament im August des gleichen Jahres eine neue Fachinformation, die das Potenzial neuropsychiatrischer Störwirkungen deutlich stärker als zuvor betonte.[99]
Das Fernsehmagazin „Prime Time“ der irischen Rundfunkanstalt RTÉ berichtete im Mai 2013 in einer längeren Dokumentation über die Verwendung von Lariam (Mefloquin) in der irischen Armee. Der Bericht des Magazins war fokussiert auf den Zusammenhang zwischen der Einnahme des Medikaments und Fällen von Suizid und Suizidalität unter irischen Soldaten.[100] Die Journalistin Rita O’Reilly und die Produzentin Tara Peterman wurden für ihre Dokumentation im November 2013 mit dem irischen „Medical Journalist of the Year Award“ ausgezeichnet.[101]
Die US-Arzneimittelbehörde FDA publizierte im Juli 2013 schließlich neue Warnhinweise zu vestibulären und psychiatrischen Nebenwirkungen.[102] In den aktualisierten Warnungen wird die Möglichkeit sehr lang anhaltender und dauerhafter neuropsychiatrischer Symptome betont. Ferner wird auf die Notwendigkeit hingewiesen, Kinder, die das Medikament einnehmen, genau zu beobachten, da bei dieser Patientengruppe Störwirkungen schwer zu identifizieren sein können. Um die Schwere und Bedeutung der Nebenwirkungen hervorzuheben, wurde zudem eine Black-Box-Warnung eingeführt.[103][104]
Erweiterte Informationen zu den unerwünschten Wirkungen von Mefloquin wurden im Sommer des gleichen Jahres auch in zahlreichen Ländern der Europäischen Union veröffentlicht.[105][106][107][108][109] In Deutschland erschienen im September 2013 in diesem Zusammenhang ein Rote-Hand-Brief, ein an medizinisches Fachpersonal gerichteter Leitfaden, eine Checkliste für die Verschreibung, sowie ein Patientenpass.[110]
Als Reaktion auf die neuen Warnhinweise stufte die Bundeswehr im gleichen Monat Mefloquin bei der Malariavorbeugung zu einem Medikament dritter Wahl zurück.[111][112][113][114] Laut Auskunft des Parlamentarischen Staatssekretärs Ralf Brauksiepe ist davon auszugehen, dass das Mittel dort seitdem „überhaupt nicht mehr oder nur in sehr geringen Mengen“ verschrieben wurde. Genaue Zahlen liegen nicht vor: „Eine Ermittlung der Anzahl der Verordnungen zur Malaria-Chemoprophylaxe mit Lariam seit Oktober 2013 ist aufgrund der individuellen, nicht digital erfassten Verschreibung nicht möglich.“[115]
Unterdessen wurde in der US-Armee die Anweisung gegeben, in Eliteeinheiten das Mittel grundsätzlich nicht mehr zur Vorbeugung von Malaria zu verwenden.[116] In Großbritannien forderte der ehemalige Chef des Generalstabes der British Army, Richard Dannatt, ein Verbot von Mefloquin auch für britische Streitkräfte.[117] Bedenken bezüglich der Verwendung äußerten zudem der frühere Chef des britischen Verteidigungsstabs Charles Guthrie, der ehemalige Kommandeur der 7th Armoured Division Patrick Cordingley, der frühere Kommandeur der britischen Truppen in Afghanistan, Richard Kemp, der ehemalige Kommandeur der 3. Kommandobrigade im Falklandkrieg, Julian Thompson, der ehemalige Staatsminister für die Streitkräfte des Vereinigten Königreichs, Nick Harvey sowie die britischen Parlamentsabgeordneten Johnny Mercer und Douglas Chapman.[118][119][120][121][122][123][124]
Am 24. Oktober 2013 berichtete das ARD Fernsehmagazin Kontraste über mögliche Mängel im Kontrollsystem der zuständigen Behörden für Arzneimittelsicherheit. Im Bericht des Magazins wurde u. a. die späte Änderung der Fachinformation bezüglich des Suizidrisikos nach der Einnahme von Lariam® (Mefloquin) kritisiert.[125] Das Bundesinstitut für Arzneimittel und Medizinprodukte (BfArM) sah sich aufgrund der massiven Kritik veranlasst, am 25. Oktober 2013 eine Pressemitteilung zu veröffentlichen, die u. a. Fragen zu Lariam® (Mefloquin) beantwortet und weiterführende, detaillierte Informationen über die vom BfArM umgesetzten Sicherheitsmaßnahmen in Bezug auf die Pharmakovigilanz des Medikaments beinhalten soll.[126]
Die Deutsche Gesellschaft für Tropenmedizin und Internationale Gesundheit e. V. (DTG) strich im November 2013 Mefloquin als Mittel der Wahl zur Behandlung unkomplizierter Malaria Tropica aus ihren Leitlinien. Es gilt seitdem nur noch in Einzelfällen als nützlich. Als Grund hierfür werden die neuen Warnungen vor potenziell schweren Nebenwirkungen sowie die neu aufgenommenen Kontraindikationen angegeben.[127]
Unklar blieb zunächst die Haltung der DTG in Bezug auf die weitere Verwendung von Mefloquin zur Chemoprophylaxe. In einer Stellungnahme vom 22. Oktober 2013 betonte die Fachgesellschaft, das Medikament habe in bestimmten Fällen weiterhin einen wichtigen Stellenwert bei der Vorbeugung von Malaria.[128] Ein gegen Ende des gleichen Jahres veröffentlichtes Mitgliederrundschreiben der DTG erwähnte Diskussionen über mögliche Verschärfungen der Indikationen für das Medikament. Demnach sei Mefloquin vor allem für Schwangere ein adäquates Mittel zur Chemoprophylaxe von Malaria.[129][130] In einer im Januar 2014 veröffentlichten Übersichtsarbeit empfiehlt Gerd-Dieter Burchard, außerordentliches Mitglied der Arzneimittelkommission der deutschen Ärzteschaft, Co-Autor der Empfehlungen zur Malariavorbeugung der Deutschen Gesellschaft für Tropenmedizin und Internationale Gesundheit e. V., damaliger Vorsitzender der DTG und damaliger Vorsitzender des Leitlinien-Ausschusses der Fachgesellschaft, Mefloquin nur noch „in Ausnahmefällen“ vorbeugend zu verwenden.[131]
Am 29. Januar 2014 veröffentlichte Roche in der Schweiz in Abstimmung mit der Zulassungsbehörde Swissmedic eine Warnung vor möglichen Augenerkrankungen unter Mefloquin. Hierzu zählen laut Herstellerangaben u. a. Katarakt, Netzhautanomalien und Optikusneuropathie, die sich in Sehschwäche und Verschwommensehen manifestieren. Diese Nebenwirkungen können demnach während der Einnahme oder auch verzögert auftreten. Darüber hinaus wird auf Fälle mit sehr langsamer Abheilungszeit sowie auf Berichte „bleibender Folgekrankheit“ aufmerksam gemacht. Beim Auftreten entsprechender Nebenwirkungen sei der behandelnde Arzt aufzusuchen, um das Medikament in Absprache mit ihm möglicherweise abzusetzen.[132] Ähnliche Warnungen waren zuvor bereits in anderen Ländern veröffentlicht worden.[133][134][135] In Deutschland betonen der Rote-Hand-Brief vom September 2013 sowie die im Januar 2014 erschienene Überarbeitung der Fachinformation: „Jeder Patient, der Sehstörungen aufweist, soll an einen Arzt überwiesen werden, da bestimmte Störungen (wie retinale Erkrankungen oder Optikusneuropathie) einen Abbruch der Behandlung mit Mefloquin erfordern können.“[136][137]
Für den Schweizer Markt zog der Hersteller Roche sein Mefloquin-Produkt Lariam am 14. Februar 2014 aus dem Handel. Das Medikament besitzt dort nach wie vor eine Zulassung für den Export.[138] Mefloquin ist in der Schweiz weiterhin als Generikum im Handel.
In Deutschland ordnete das Bundesinstitut für Arzneimittel und Medizinprodukte am 27. Februar 2014 die Aufnahme persistierender neuropsychiatrischer Nebenwirkungen in die Produktinformationen mefloquinhaltiger Medikamente an.[139][140] Es folgte damit der neuen PRAC-Empfehlung der European Medicines Agency (EMA). Diese sieht ausreichende Beweise für einen kausalen Zusammenhang zwischen der Einnahme von Mefloquin und lang anhaltenden sowie persistierenden neuropsychiatrischen Störwirkungen: „There is enough evidence from the presented drug safety reports, the submitted literature report and the FDA assessment report supporting a causal relationship between mefloquine and the occurrence of long lasting and even persistent neuropsychiatric side effects.“ In diesem Zusammenhang wird der starke Verdacht geäußert, dass das Medikament permanente Hirnschäden auch in prophylaktischer Dosierung verursachen kann: „In consideration of this and the increase of case reports with long lasting side effects, there is a strong suspicion that mefloquine can cause different kind of permanent brain damage, even under plasma concentration achieved in malaria prophylaxis.“[141] In der im Mai des gleichen Jahres veröffentlichten Überarbeitung der deutschen Fachinformation informierte der Hersteller: „Nebenwirkungen können auch noch nach Absetzen von Mefloquin auftreten. Bei einer kleinen Anzahl von Patienten wurde berichtet, dass neuropsychiatrische Nebenwirkungen (z. B. Depression, Schwindelgefühl oder Vertigo sowie Gleichgewichtsstörungen) noch über Monate oder länger auch nach Absetzen von Mefloquin andauern können.“[142]
Am 1. Juni 2014 veröffentlichte die Deutsche Gesellschaft für Tropenmedizin und Internationale Hygiene e. V. neue Empfehlungen zur Malariaprophylaxe. Mefloquin wird seitdem an dritter Stelle hinter Atovaquon-Proguanil und Doxycyclin als ein Medikament aufgeführt, das nur bei „begründeter medizinischer Indikation“ vorbeugend verwendet werden solle. Die Beachtung der besonderen Warnhinweise wird betont. Zu möglichen Personengruppen, bei denen das Medikament in Erwägung gezogen werden könne, hieß es zunächst: „Bei Beachtung der Kontraindikationen und Warnhinweise hat Mefloquin nach wie vor einen wichtigen Stellenwert in der Malariaprophylaxe bei Schwangeren, Kindern, Migranten und Langzeitreisenden sowie Personen, die das Medikament wiederholt gut vertragen haben. Zur Prophylaxe kommt es weiterhin als kostengünstige Alternative in Frage.“[143][144] In den Vorjahren war Mefloquin von der DTG an erster Stelle der empfohlenen prophylaktischen Medikamente aufgeführt worden.[145][146][147]
Im Oktober 2015 kündigte der Hersteller Roche an, Lariam am 31. Juli 2016 in Irland vom Markt zu nehmen. Das Unternehmen betonte, die Marktrücknahme stehe nicht in Zusammenhang mit laufenden Rechtsstreitigkeiten.[148] Am 13. Oktober des gleichen Jahres kam es zu einem Vergleich zwischen dem Hersteller und einem irischen Kläger.[149][150]
Der Verteidigungsausschuss des britischen Unterhauses kündigte am 13. Oktober 2015 eine Untersuchung zur Verwendung von Mefloquin in der britischen Armee an.[151][152][153] Die Befragung von Zeugen begann am 10. November des gleichen Jahres.[154][155][156][157] In seinem am 24. Mai 2016 veröffentlichten Abschlussbericht betonte der Ausschuss, Mefloquin solle in Zukunft nur noch unter strengen Sicherheitsvorkehrungen als Mittel letzter Wahl angewendet werden. Das vorausgegangene Verhalten des Britischen Verteidigungsministeriums wurde in diesem Zusammenhang scharf kritisiert.[158]
Am 24. Februar 2016 veröffentlichte die Deutsche Apotheker Zeitung (DAZ) die Mitteilung, dass der Hersteller Roche auf eine weitere Zulassung von Lariam® in Deutschland verzichtet.[159] In Dänemark verzichtete die Roche AG im gleichen Monat ebenfalls auf die Zulassung von Lariam.[160][161]
In ihren aktualisierten Empfehlungen vom Mai 2016 betonte die Deutsche Gesellschaft für Tropenmedizin und Internationale Gesundheit e. V., Mefloquin könne auch nach dem Marktrückzug in Deutschland unter bestimmten Umständen weiter verschrieben werden: „Die Herstellerfirma hat seit Februar 2016 auf die Zulassung von Lariam-Tabletten (Zulassungsnummer 8634.00.00 – PZN: 04273048) in Deutschland verzichtet. Die Verkehrsfähigkeit der im Markt befindlichen Chargen mit o. g. Pharmazentralnummer bleibt auf Grund der Übergangsfrist (geb. § 31, Abs. 4 AMG) bis zum Ablauf der Haltbarkeit erhalten. Die Firma teilt weiter mit, dass Lariam in vielen Ländern der Europäischen Union verfügbar ist und somit bei Bedarf als Einzelimport gemäß § 73 Abs. 3 AMG bezogen werden kann.“[162] Diese Empfehlung wurde wenige Tage später in der pharmakritischen Fachzeitschrift Arznei-Telegramm hinterfragt: „Nennenswerte Anwendungsnischen sehen wir vor allem wegen bedeutender Kontraindikationen und des Potenzials schwerer und unangenehmer unerwünschter Wirkungen nicht.“[163]
Am 8. Juni 2016 veröffentlichten auch Wissenschaftler des Walter Reed Army Institute of Research (WRAIR), das den Wirkstoff Mefloquin in den 1970er Jahren entwickelte, einen wissenschaftlichen Bericht über einen Militärangehörigen mit anhaltenden neuropsychiatrischen Symptomen nach Mefloquineinnahme und die Schwierigkeit eine Posttraumatische Belastungsstörung (PTBS) von den Folgen einer Mefloquininduzierten Toxizität zu unterscheiden (→ siehe Abschnitt Kontraindikationen und Wechselwirkungen). Es wird der Fall eines 32-jährigen Mannes beschrieben, der Ende des Jahres 2009 aufgrund eines Militäreinsatzes in Ostafrika Mefloquin in einer Dosis von 250 mg/Woche zur Prophylaxe einer Malariainfektion erhalten hat. Schon zwei Wochen nach der ersten Dosis stellten sich neuropsychiatrische Beschwerden wie lebhafte Träume, Ängste und Gleichgewichtsstörungen ein. Er nahm das Medikament jedoch noch über einen Zeitraum von vier Monaten weiter ein. Danach traten neben den genannten Beschwerden noch weitere Symptome auf, die seitdem bis heute andauern und sowohl das berufliche, als auch private Leben des Mannes stark eingeschränkt haben. Eine Medikation und Psychotherapie zur Behandlung der Beschwerden brachten keine Besserung des gesundheitlichen Zustandes. Nach Anlegung eines bestimmten Klassifizierungsalgorithmus (Naranjo-Algorithmus) zu den Symptomen scheint eine Mefloquininduzierte Toxizität möglich und wahrscheinlich. In der Schlussfolgerung aus dem Fallbericht heißt es:[164]
„This case documents the potential long-term and varied mefloquine-induced neuropsychiatric side effects, ranging from a central vestibulopathy to significant behavioral changes and sleep disorders. Especially pertinent to the military population, it demonstrates the difficulty in distinguishing from possible mefloquine-induced toxicity versus PTSD, and raises some questions regarding possible linkages between the two diagnoses.“
Übersetzung:
„Dieser Fall dokumentiert die möglichen Langzeitschäden und verschiedenen Mefloquininduzierten neuropsychiatrischen Nebenwirkungen, die von einer zentralen Vestibulopathie über signifikante Verhaltensänderungen und Schlafstörungen reichen. Insbesondere bezogen auf Angehörige des Militärs, zeigt es die Schwierigkeit in der Unterscheidung einer möglichen Mefloquininduzierten Toxizität gegenüber einer PTBS und wirft einige Fragen in Bezug auf mögliche Verbindungen zwischen den beiden Diagnosen auf.“
In Kanada begann 2016 eine öffentliche Debatte über die Verwendung von Mefloquin in der dortigen Armee. Hierbei wurde u. a. die Verwendung des Medikaments während der Operation der Vereinten Nationen in Somalia in den Jahren 1992–93 kritisch hinterfragt. Das Medikament besaß zum damaligen Zeitpunkt in Kanada keine Zulassung.[165][166] Zudem wurde ein potenzieller Zusammenhang zwischen der als „Somalia Affair“ bekannt gewordenen Tötung eines somalischen Jugendlichen durch Angehörige der kanadischen Streitkräfte und den Nebenwirkungen von Mefloquin diskutiert.[167][168]
Im Verteidigungsausschuss des Deutschen Bundestages stellte die Bundestagsfraktion Bündnis 90/Die Grünen am 28. September 2016 den Antrag, mögliche Nebenwirkungen von Mefloquin bei Angehörigen der Bundeswehr abschließend zu prüfen und Forschung zur Toxizität zu veranlassen.[169] Das Bundesverteidigungsministerium beendete am 10. November des gleichen Jahres die Verwendung von Mefloquin in der Bundeswehr vollständig.[170][171][172][173]
Die Fraktionen der CDU/CSU und der SPD stellten im Verteidigungsausschuss am 2. Februar 2018 ebenfalls einen Antrag zur Überprüfung von Mefloquin in der Bundeswehr. Dabei sollen der Umfang der Verwendung des Medikaments bei Truppenangehörigen sowie mögliche langfristige und dauerhafte Nebenwirkungen im Vordergrund stehen. Das Verteidigungsministerium wird aufgefordert, bis Ende 2018 einen Bericht vorzulegen. Darüber hinaus soll wehrmedizinische Forschung zur potenziellen Toxizität von Mefloquin veranlasst werden. Der Antrag wurde mit den Stimmen aller im Bundestag vertretenen Fraktionen mit Ausnahme der AfD angenommen.[174]
Kurz zuvor veräußerte Roche die Produktrechte für Lariam an das Greifswalder Pharmaunternehmen Cheplapharm Arzneimittel.[175] In Neuseeland erfolgte im August 2018 – wie zuvor in zahlreichen anderen Ländern – die Marktrücknahme des Medikaments.[176] Der australische Senat setzte im gleichen Jahr eine Untersuchung zu Testreihen mit den Wirkstoffen Tafenoquin und Mefloquin an Mitgliedern der Streitkräfte des Landes ein.[177][178] Vorausgegangen war jahrelange ethische Kritik an den Studien in den Medien und in der medizinischen Fachwelt.[179][180][181][182][183] Im Abschlussbericht, der im Dezember des gleichen Jahres veröffentlicht wurde, wird festgestellt, dass die bei Soldaten aufgetretenen neuropsychiatrischen Symptome authentisch sind, ohne sich eindeutig zur Ursache zu äußern.[184] Veteranen zeigten sich hierüber in der Presse überwiegend enttäuscht.[185]
Im Juni des Jahres 2019 veröffentlichte die Deutsche Gesellschaft für Tropenmedizin und Internationale Gesundheit e. V. eine stark überarbeitete Fassung ihrer Empfehlungen zur Malariavorbeugung. In ihr relativiert sie die in den Vorjahren postulierten Stellenwert des Medikaments insbesondere bei Migranten und Kindern. Nunmehr betont die Fachgesellschaft: „Bei Beachtung der Kontraindikationen und Warnhinweise hat Mefloquin nach wie vor einen wichtigen Stellenwert in der Malariaprophylaxe und kommt weiter als kostengünstige Alternative in Betracht. […] Bei Kindern und Langzeitreisenden ist die einfache Einnahme nur einmal in der Woche attraktiv.“[186] Erstmals erschienen die Empfehlungen 2019 in der Fachzeitschrift Flugmedizin, Tropenmedizin, Reisemedizin, um nach Angaben der Fachgesellschaft „unabhängig von externen Sponsoren zu sein“.[186]
Eine im November 2020 veröffentlichte Publikation in der Fachzeitschrift BMJ Military Health stellte unter Angehörigen der Bundeswehr eine Häufung von neuropsychiatrischen Nebenwirkungen unter Mefloquin im Vergleich zu anderen vorbeugenden Malariamedikamenten fest. Aufgelistet wurden u. a. Aggressivität, Persönlichkeitsveränderungen, eine Psychose, Sehstörungen, Tremor und Hörverlust.[187]
Der im Mai 2020 erfolgte Entzug der Zulassung von Mefloquin-Parallelimporten in Deutschland wurde von der DTG erstmals in ihren Empfehlungen aus dem Monat August des Jahres 2022 berücksichtigt. Dort heißt es: „Mefloquin ist in Deutschland nicht mehr auf dem Markt. Die EMA-Zulassung besteht weiter. Mefloquinhaltige Präparate können aber grundsätzlich durch alle deutschen Apotheken aus dem Ausland eingeführt werden. Da Importmedikamente nicht bevorratet werden dürfen, müssen Reisende in der Regel mit einigen Tagen Vorlaufzeit bis zum Erhalt des Medikaments rechnen.“[188]
Suizidalität
Der US-Medikamentenführer weist auf Suizide nach der Einnahme von Mefloquin hin und betont, ein kausaler Zusammenhang zur Einnahme von Mefloquin sei bislang nicht einwandfrei bewiesen worden. Eine Übersichtsarbeit aus dem Jahr 2017 geht auf Basis der in der Fachliteratur publizierten Fällen von einer sehr niedrigen Selbsttötungsrate aus, betont jedoch die dürftige Datengrundlage.[189] Auch die deutsche Fachinformation erwähnte Fälle von Suizid, Suizidversuch, suizidalen Gedanken und selbstgefährdendem Verhalten. Der in der Fassung von 2010 vorhandene Hinweis auf einen unbewiesenen Kausalzusammenhang zwischen Suizidalität und der Einnahme des Medikaments wurde in der aktualisierten Fassung von 2012 gestrichen.[190][191] Das Bundesinstitut für Arzneimittel und Medizinprodukte begründete diese Änderungen mit „Unstimmigkeiten in der von Roche durchgeführten Kausalitätsbewertung von Nebenwirkungsberichten“ und „einer anderen Einschätzung des kausalen Zusammenhangs“ durch das Bundesinstitut im Rahmen einer Analyse erneuter Bewertungsberichte. Überdies betont das BfArM, dass laut europäischer SmPC Guideline (Rev. 2, September 2009) keine Angaben über eine fragliche Kausalität im Abschnitt über Nebenwirkungen enthalten sein sollten.[192][193] Im 2013 in Deutschland eingeführten Patientenpass schrieb der Hersteller: „Lariam® kann bei bestimmten Personen schwerwiegende mentale Probleme verursachen, einschließlich Selbstmord, Selbstmordgedanken und selbstgefährdendes Verhalten.“[194] Eine identische Formulierung befindet sich aktuell im österreichischen Patientenpass.[195]
Pädiatrische Anwendung
Die Deutsche Gesellschaft für Tropenmedizin und Internationale Hygiene e. V. (DTG) betonte in der Vergangenheit pauschal den „wichtigen Stellenwert“ von Mefloquin „in der Malariaprophylaxe bei […] Kindern“.[196] Forschung von Wissenschaftlern, die dem ehemaligen Mefloquin-Hersteller Roche nahestehen, stützt ebenfalls die Verwendung des Mittels im Kindesalter.[197] Die Vermutung einer besseren Verträglichkeit von Mefloquin bei kleinen Kindern im Vergleich zu Erwachsenen wird von anderer Stelle hingegen bezweifelt.[198] In den USA empfiehlt der Beipackzettel Wachsamkeit bei Kindern, die Mefloquin einnehmen, da bei ihnen neuropsychiatrische Nebenwirkungen schwer feststellbar sein können.[199] Ein 2018 veröffentlichter Fallbericht aus Deutschland, der schwere Störwirkungen bei einem zwölfjährigen Mädchen beschreibt, stellt außerdem die Frage, bis zu welchem genauen Alter Mefloquin in der Pädiatrie verwendet werden soll.[200]
In ihrer überarbeiteten Fassung der Empfehlungen zur Malariavorbeugung aus dem Juni 2019 relativiert die DTG ihre Haltung zum Einsatz von Mefloquin bei Kindern. Zwar sei der Einsatz des Mittels bei Minderjährigen aufgrund der nur einmal pro Woche notwendigen Einnahme „attraktiv“. Gleichwohl sei „[a]uch bei Kindern […] über das Risiko von neuropsychiatrischen Nebenwirkungen mit der Möglichkeit von gegebenenfalls bleibenden Schäden umfassend aufzuklären“. Speziell „bei älteren Kindern und Jugendlichen, bei denen eine tägliche Tabletteneinnahme schon gut möglich“ sei, solle „bei fehlender Kontraindikation eine Prophylaxe mit Atovaquon/Proguanil bevorzugt werden.“[201] Im Gegensatz hierzu betont der US-Beipackzettel insbesondere auch die Problematik, neuropsychiatrische Nebenwirkungen bei nonverbalen Kindern zu erkennen.[202]
Anwendung bei Migranten
Auch speziell für Migranten bezeichnete die Deutsche Gesellschaft für Tropenmedizin und Internationale Hygiene e. V. (DTG) in vergangenen Jahren Mefloquin als ein prophylaktisches Mittel mit „wichtige[m] Stellenwert“.[203] In einem Kommentar in der Fachzeitschrift Travel Medicine and Infectious Disease unter Beteiligung von vier damaligen Autoren der DTG-Empfehlungen und einer nebenberuflich für Roche als Beraterin tätigen Autorin wurde das Medikament in Übereinstimmung hiermit als Schlüssel-Prophylaxe („key prophylaxis“) für Reisende, die Freunde und Verwandte in Malariaregionen besuchen, benannt, falls sich diese die Kosten für teurere Alternativen nicht leisten können oder diese nicht bezahlen wollen („those visiting friends and relatives (VFR) who cannot afford or will not pay for the more expensive chemoprophylaxis options“).[204][205][206] In der Neufassung der Empfehlungen der DTG von 2019 wurde der Hinweis auf den hervorgehobenen Stellenwert von Mefloquin für Migranten ersatzlos gestrichen.[207]
Verwendung im US-Gefangenenlager Guantanamo Bay
Ein Gutachten der Seton University School of Law aus dem Jahr 2010 geht der Frage nach, ob die im Gefangenenlager der Guantanamo Bay Naval Base vollzogene, routinemäßige Behandlung von Insassen mit Mefloquin die Rechte der Betroffenen verletzt haben könnte.[208] In dem Lager war sämtlichen Inhaftierten eine therapeutische Dosis des Wirkstoffes verabreicht worden. Die Behandlung erfolgte ohne Diagnose und Abwägung von Kontraindikationen. In der Presse, der medizinischen Fachwelt und der Politik wurde daher spekuliert, dass Nebenwirkungen im Sinne eines pharmakologischen Waterboardings möglicherweise bewusst in Kauf genommen wurden.[209][210][211][212][213][214]
Trivia und künstlerische Rezeptionen
- Der Schweizer Journalist Rolf Käppeli thematisiert in seinem mit einem Nachwort von Adolf Muschg versehenen Bericht „Kamboriam“ aus dem Jahr 1995 die Nebenwirkungen des Malariamedikaments in teils fiktionalisierter Form.[215]
- In der Episode „Nebenwirkungen“ der US-Dramaserie Law & Order: Special Victims Unit aus dem Jahr 2005 beschäftigen sich die Ermittler mit einer Serie von Gewaltverbrechen, die unter dem Einfluss des fiktiven Malariamedikaments „Quinium“ begangen wurden.[216]
- Der Schriftsteller Christian Kracht schrieb 2011, er habe während eines Aufenthalts in Somalia unter dem Einfluss von Mefloquin schwer depressive Gedanken gehabt und würde eher das Risiko einer Malaria eingehen, als das Medikament jemals wieder zu nehmen.[217]
- Ann Patchetts Roman „Fluss der Wunder“ (Originaltitel: „State of Wonder“) aus dem Jahr 2011 schildert die Reise einer Forscherin in den brasilianischen Regenwald. Die Protagonistin leidet in dieser Zeit unter mefloquininduzierten Alpträumen.[218]
- Die mit dem Untertitel „A memoir to Amnesia“ versehene Autobiographie „The Answer to the Riddle Is Me“ des US-Autors David Stuart MacLean aus dem Jahr 2014 berichtet über massiven Gedächtnisverlust unter Mefloquin.[219]
- In der Episode „Der Exorzismus der Anneliese E.“ der deutschen Sitcom Das Institut – Oase des Scheiterns aus dem Jahr 2019 erleidet eine der Hauptfiguren Wahnvorstellungen und Paranoia durch die Einnahme eines vorbeugenden Malariamedikaments.[220]
- Der belgische Musiker und Modedesigner Stromae brach 2015 eine Afrikatournee ab, weil er durch die Einnahme von Lariam (Mefloquin) unter Angstzuständen litt. Für mehrere Jahre mied er öffentliche Auftritte. In einem Interview im Jahr 2017 gab er an, immer noch unter Panikattacken zu leiden.[221] Auf seinem 2022 erschienenem Album Multitude thematisiert der Musiker seine Erkrankung u. a. in dem Lied L’enfer („Die Hölle“).[222] Die dazugehörige Konzerttournee musste Stromae im Jahr 2023 aus gesundheitlichen Gründen vorzeitig abbrechen.[223]
Handelsnamen
Monopräparate
Lariam (A), Mephaquin (CH), Mefloquin Acino (CH)
Weblinks
Einzelnachweise
- ↑ a b c Eintrag MEFLOQUINE HYDROCHLORIDE CRS beim Europäisches Direktorat für die Qualität von Arzneimitteln (EDQM), abgerufen am 5. Februar 2009.
- ↑ a b Eintrag zu Mefloquin. In: Römpp Online. Georg Thieme Verlag, abgerufen am 10. März 2014.
- ↑ The Merck Index. An Encyclopaedia of Chemicals, Drugs and Biologicals. 14. Auflage. 2006, ISBN 0-911910-00-X, S. 1002.
- ↑ a b Datenblatt Mefloquine hydrochloride bei Sigma-Aldrich, abgerufen am 9. April 2011 (PDF).
- ↑ Obituary: Thomas R. Sweeney, chemical researcher. In: Washington Post, 4. Juli 2010.
- ↑ Rote-Hand-Brief zu Lariam ®. (PDF) Roche Deutschland; veröffentlicht auf der Internetseite des Bundesinstituts für Arzneimittel und Medizinprodukte (BfArM), September 2013.
- ↑ a b Fachinformation Lariam® ( vom 21. Februar 2014 im Internet Archive), Arzneimittel-Kompendium der Schweiz, Stand November 2013.
- ↑ Wirkungsweise von Mefloquin, Gesundheits-Ratgeber EllVita, Stand 2013.
- ↑ Malariaprophylaxe – Empfehlungen des Ständigen Ausschusses Reisemedizin (StAR) der DTG. (PDF; 3,6 MB) Deutsche Gesellschaft für Tropenmedizin und Internationale Gesundheit e. V., August 2022.
- ↑ Leitlinie Diagnostik und Therapie der Malaria. ( vom 13. Januar 2014 im Internet Archive) Deutsche Gesellschaft für Tropenmedizin und Internationale Gesundheit e. V., Oktober 2015. AWMF-Leitlinien-Register 042/001.
- ↑ Malariaprophylaxe – Empfehlungen des Ständigen Ausschusses Reisemedizin (StAR) der DTG. ( vom 21. Juli 2019 im Internet Archive) (PDF) Deutsche Gesellschaft für Tropenmedizin und Internationale Gesundheit e. V., Juni 2019.
- ↑ Malariaprophylaxe – Empfehlungen des Ständigen Ausschusses Reisemedizin (StAR) der DTG. ( vom 21. Juli 2019 im Internet Archive) (PDF) Deutsche Gesellschaft für Tropenmedizin und Internationale Gesundheit e. V., Juni 2019. Zitat: „Es besteht die Möglichkeit, in Deutschland zugelassene parallelimportierte Präparate zu beziehen. Somit gibt es weiterhin mefloquinhaltige Präparate, die entsprechend dem Indikationsgebiet „in-label“ eingesetzt werden können.“
- ↑ Wichtige Arzneimittelinformationen – Rückrufe allgemein. DeutschesArztPortal, 29. Mai 2020.
- ↑ Wichtige Arzneimittelinformationen – Rückrufe allgemein. DeutschesArztPortal, 29. Mai 2020.
- ↑ Wichtige Arzneimittelinformationen – Rückrufe allgemein. DeutschesArztPortal, 4. Juni 2020.
- ↑ Wichtige Arzneimittelinformationen – Rückrufe allgemein. DeutschesArztPortal, 23. Juli 2020.
- ↑ Wichtige Arzneimittelinformationen – Rückrufe allgemein. DeutschesArztPortal, 29. Juli 2020.
- ↑ Alexandra Negt: Lariam – Zulassung widerrufen. Apotheke Adhoc. 23. Juli 2020.
- ↑ Alexandra Negt: Lariam „Pharma Gerke“ muss zurück. Apotheke Adhoc. 28. Juli 2020.
- ↑ Axel Kleemann, Jürgen Engel, Bernd Kutscher, Dieter Reichert: Pharmaceutical Substances. 4. Auflage. 2 Bände, Thieme-Verlag, Stuttgart 2000, ISBN 1-58890-031-2; seit 2003 online mit halbjährlichen Ergänzungen und Aktualisierungen.
- ↑ ROTE LISTE 2008. Verlag Rote Liste Service, Frankfurt am Main, ISBN 978-3-939192-20-6, S. 91.
- ↑ Axel Kleemann, Jürgen Engel, Bernd Kutscher, Dietmar Reichert: Pharmaceutical Substances. 4. Auflage. 2 Bände, Thieme-Verlag, Stuttgart 2000, ISBN 1-58890-031-2, S. 1230–1231; seit 2003 online mit halbjährlichen Ergänzungen und Aktualisierungen.
- ↑ Patent DOS 2 806 909 (Roche, 17. Februar 1978).
- ↑ R. E. Lutz, C. J. Ohnmacht, A. R. Patel: Antimalarials. 7. Bis(trifluoromethyl)-α-(2-piperidyl)-4-quinolinemethanols. In: J. Med. Chem. 14, 1971, S. 926–928, doi:10.1021/jm00292a008.
- ↑ Patent DOS 2 940 443 (BASF, 5. Oktober 1979).
- ↑ J. Ding, D. G. Hall: Concise Synthesis and Antimalarial Activity of All Four Mefloquine Stereoisomers Using a Highly Enantioselective Catalytic Borylative Alkene Isomerization. In: Angew. Chem. 125, 2013, S. 8227–8231, doi:10.1002/ange.201303931.
- ↑ N. Schützenmeister, M. Müller, U. M. Reinscheid, C. Griesinger, A. Leonov: Trapped in Misbelief for Almost 40 Years: Selective Synthesis of the Four Stereoisomers of Mefloquine. In: Chem. Eur. J. 19, 2013, S. 17584–17588, doi:10.1002/chem.201303403.
- ↑ S. Baudry, Y. T. Pham, B. Baune, S. Vidrequin, C. Crevoisier, F. Gimenez, R. Farinotti: Stereoselective passage of mefloquine through the blood-brain barrier in the rat. In: J Pharm Pharmacol. 49(11), Nov 1997, S. 1086–1090. PMID 9401943.
- ↑ P. Schlagenhauf: Mefloquine for Malaria Chemoprophylaxis 1992–1998: A Review. In: J Travel Med. 6(2), Jun 1999, S. 122–133. PMID 10381965. doi:10.1111/j.1708-8305.1999.tb00843.x
- ↑ S. Barraud de Lagerie, E. Comets, C. Gautrand, C. Fernandez, D. Auchere, E. Singlas, F. Mentre, F. Gimenez: Cerebral uptake of mefloquine enantiomers with and without the P-gp inhibitor elacridar (GF1210918) in mice. In: Br J Pharmacol., 141(7), Apr 2004, S. 1214–1222. Epub 2004 Mar 15. PMID 15023856.
- ↑ M. Schmidt, H. Sun, P. Rogne, G. K. Scriba, C. Griesinger, L. T. Kuhn, U. M. Reinscheid: Determining the absolute configuration of (+)-mefloquine HCl, the side-effect-reducing enantiomer of the antimalaria drug Lariam. In: J Am Chem Soc. 134(6), 15. Feb 2012, S. 3080–3083. PMID 22148194. doi:10.1021/ja209050k
- ↑ worldwide.espacenet.com
- ↑ R. Tansley, J. Lotharius, A. Priestley, F. Bull, S. Duparc, J. Möhrle: A randomized, double-blind, placebo-controlled study to investigate the safety, tolerability, and pharmacokinetics of single enantiomer (+)-mefloquine compared with racemic mefloquine in healthy persons. In: The American journal of tropical medicine and hygiene. Band 83, Nummer 6, Dezember 2010, S. 1195–1201, doi:10.4269/ajtmh.2010.10-0228. PMID 21118921, PMC 2990031 (freier Volltext).
- ↑ Malaria: Lebensrettende Prophylaxe und Therapie. In: Pharmazeutische Zeitung online.
- ↑ Leitlinie: Diagnostik und Therapie der Malaria. (PDF) Deutsche Gesellschaft für Tropenmedizin und Internationale Gesundheit (DTG) vom 23. August 2011 (PDF; 271 kB)
- ↑ BfArM: Pharmakovigilanz für Mefloquin ( vom 22. Oktober 2013 im Internet Archive)
- ↑ Lariam Fachinformation, Roche Pharma AG, August 2015.
- ↑ Pharmacovigilance Risk Assessment Committee (PRAC). (PDF; 748 kB) Minutes of the meeting on 23-26 Oktober 2017, European Medicines Agency, S. 31.
- ↑ Lariam Fachinformation (Österreich), Roche Austria GmbH, Februar 2018.
- ↑ FDA Drug Safety Communication: FDA approves label changes for antimalarial drug mefloquine hydrochloride due to risk of serious psychiatric and nerve side effects.
- ↑ Mefloquinhaltige Arzneimittel: persistierende neuropsychiatrische Nebenwirkungen. ( vom 28. August 2014 im Internet Archive) Risikoinformation, Bundesinstitut für Arzneimittel und Medizinprodukte (BfArM), 27. Februar 2014.
- ↑ A. Ringqvist, P. Bech, B. Glenthøj, E. Petersen: Acute and long-term psychiatric side effects of mefloquine: A follow-up on Danish adverse event reports. In: Travel medicine and infectious disease. [elektronische Veröffentlichung vor dem Druck] November 2014, doi:10.1016/j.tmaid.2014.10.021, PMID 25435322.
- ↑ Fachinformation Lariam, Roche Pharma AG, August 2015.
- ↑ P. Schlagenhauf, W. A. Blumentals, P. Suter, L. Regep, G. Vital-Durand, M. T. Schaerer, M. S. Boutros, H. G. Rhein, M. Adamcova: Pregnancy and fetal outcomes after exposure to mefloquine in the pre- and periconception period and during pregnancy. In: Clinical Infectious Diseases. Band 54, Nummer 11, Juni 2012, S. e124–e131, doi:10.1093/cid/cis215. PMID 22495078, PMC 3348951 (freier Volltext).
- ↑ R. L. Nevin: Limitations of postmarketing surveillance in the analysis of risk of pregnancy loss associated with maternal mefloquine exposure. In: Clin Infect Dis. 55(8), Okt 2012, S. 1167–1168; author reply 1168–1169. Epub 2012 Jul 3. PMID 22761410.
- ↑ R. L. Nevin: Mefloquine gap junction blockade and risk of pregnancy loss. ( vom 12. März 2015 im Internet Archive) In: Biol Reprod. 87(3), 21. Sep 2012, S. 65. Print 2012 Sep. PMID 22837476.
- ↑ Patienteninformation Lariam® ( vom 21. Februar 2014 im Internet Archive), Arzneimittel-Kompendium der Schweiz, Stand Oktober 2013.
- ↑ R. Nevin: Mefloquine and posttraumatic stress disorder. ( vom 4. März 2016 im Internet Archive) In: E. C. Ritchie (Hrsg.): Textbook of Military Medicine. Forensic and Ethical Issues in Military Behavioral Health. Borden Institute, Washington, DC 2015, S. 277–296.
- ↑ R. Nevin: Rational Risk-Benefit Decision-Making in the Setting of Military Mefloquine Policy. In: J Parasitol Res. 2015, S. 260106. PMID 26579231.
- ↑ R. Nevin, E. C. Ritchie: The Mefloquine Intoxication Syndrome: A Significant Potential Confounder in the Diagnosis and Management of PTSD and Other Chronic Deployment-Related Neuropsychiatric Disorders. In: Posttraumatic Stress Disorder and Related Diseases in Combat Veterans. Springer, Berlin / Heidelberg 2015, S. 257–278. doi:10.1007/978-3-319-22985-0_19
- ↑ A. J. Magill, M. A. Forgione, J. D. Maguire, M. M. Fukuda: Special Considerations for US Military Deployments ( vom 10. Juni 2015 im Internet Archive). In: Yellow Book 2014. Centers for Disease Control, Atlanta 2014.
- ↑ A. J. Magill: Special Considerations for US Military Deployments. In: Yellow Book 2016. Centers for Disease Control, Atlanta 2015.
- ↑ BfArM: Pharmakovigilanz für Mefloquin ( vom 22. Oktober 2013 im Internet Archive).
- ↑ Rote-Hand-Brief zu Lariam ®. ( vom 22. Oktober 2013 im Internet Archive) Roche Deutschland; veröffentlicht auf der Website des Bundesinstituts für Arzneimittel und Medizinprodukte (BfArM), September 2013.
- ↑ FDA Creates Medication Guide for Lariam. ( vom 1. April 2013 im Internet Archive) Pressemeldung der US Food & Drug Administration, 9. Juni 2003.
- ↑ Agence nationale de sécurité du médicament et de produits de santé: LARIAM® (méfloquine): actualisation du profil de tolérance Information importante de Pharmacovigilance – Lettre aux professionnels de santé. ( vom 13. August 2013 im Webarchiv archive.today) 8. Juli 2013.
- ↑ Direct Healthcare Professional Communication on Lariam (R) (mefloquine) for malaria chemoprophylaxis and the risk of neuropsychiatric adverse reactions. (PDF; 1,6 MB) Roche Irland. 1. Juli 2013.
- ↑ Cave Lariam®. In: Dtsch Arztebl. 112(35-36), 2015, S. A-1428
- ↑ Red.: ZNS-toxisches Mefloquin (Lariam) als Malariamittel noch zu rechtfertigen? (PDF; 107 kB) In: Arznei-Telegramm. Jg. 44, Nr. 8, 2013, S. 72.
- ↑ Patrick Hollstein: Generika kapern Malariamarkt. In: Apotheke Adhoc. 3. November 2015.
- ↑ A. M. Croft, P. Garner: Mefloquine for preventing malaria in non-immune adult travellers. In: Cochrane Database Syst Rev. (4), 2000, Art. Nr. CD000138. PMID 11034675
- ↑ A. M. Croft, D. P. Whitehouse: Prophylaxis against malaria. More studies of mefloquine prophylaxis must be done in tourists. In: BMJ. 318(7191), 24. Apr 1999, S. 1139–1140. PMC 1115531 (freier Volltext).
- ↑ A. M. Croft: Healthy people need safe drugs, too. Lessons from Lariam and Halfan. (MS Word; 70 kB). Health Action International Europe Conference 2004.
- ↑ D. Overbosch, H. Schilthuis, U. Bienzle, R. H. Behrens, K. C. Kain, P. D. Clarke, S. Toovey, J. Knobloch, H. D. Nothdurft, D. Shaw, N. S. Roskell, J. D. Chulay; Malarone International Study Team: Atovaquone-proguanil versus mefloquine for malaria prophylaxis in nonimmune travelers: results from a randomized, double-blind study. ( vom 16. Oktober 2013 im Internet Archive; PDF; 1,2 MB) In: Clin Infect Dis. 33(7), 1. Okt 2001, S. 1015–1021.
- ↑ P. Schlagenhauf, A. Tschopp, R. Johnson, H. D. Nothdurft, B. Beck, E. Schwartz, M. Herold, B. Krebs, O. Veit, R. Allwinn, R. Steffen: Tolerability of malaria chemoprophylaxis in non-immune travellers to sub-Saharan Africa: multicentre, randomised, double blind, four arm study. In: BMJ. 327(7423), 8. Nov 2003, S. 1078. PMC 261741 (freier Volltext).
- ↑ Tickell-Painter M, Maayan N, Saunders R, Pace C, Sinclair D: Mefloquine for preventing malaria during travel to endemic areas. Cochrane Database Syst Rev. 2017 Oct 30;10:CD006491. PMID 29083100. PMC 5686653 (freier Volltext)
- ↑ Jean Corston (Member of Parliament): Parlamentarische Anfrage zum Nebenwirkungsprofil von Mefloquin. British House of Commons, März 1997.
- ↑ Senator Feinstein Urges CDC To Review Its Recommendations on Anti-Malarial Drug. Pressemeldung der US-Senatorin Dianne Feinstein (Demokraten). Juni 2004.
- ↑ Senator Feinstein Urges Pentagon to Step Up Efforts to Track Medical Damage Caused by Anti-Malarial Drug. Pressemeldung der US-Senatorin Dianne Feinstein (Demokraten). Juni 2004.
- ↑ Senator Feinstein Urges Secretary Powell to Reassess Lariam Use by State Department Employees. ( vom 16. Oktober 2013 im Internet Archive; PDF; 188 kB) Pressemeldung der US-Senatorin Dianne Feinstein (Demokraten). Juli 2004.
- ↑ Democratic Policy Committee, S. 1042, the National Defense Authorization Act for Fiscal Year 2006. ( vom 27. März 2008 im Internet Archive) 24. Mai 2005.
- ↑ Feinstein Calls for Review of Anti-malarial Drug. Pressemeldung der US-Senatorin Dianne Feinstein (Demokratische Partei). August 2011.
- ↑ M. Benjamin, D. Olmsted: Army Fort Bragg study faces scrutiny. ( vom 29. Juli 2007 im Webarchiv archive.today) In: United Press International. 8. November 2002.
- ↑ Senator Feinstein Urges Rumsfeld to Complete Lariam Study. ( vom 8. März 2011 im Internet Archive; PDF; 31 kB) Pressemeldung der US-Senatorin Dianne Feinstein (Demokraten). Januar 2005.
- ↑ G. Dow u. a., Walter Reed Army Institute of Research: Mefloquine induces dose-related neurological effects in a rat model. In: Antimicrob Agents Chemother. 50(3), Mar 2006, S. 1045–1053. PMC 1426433 (freier Volltext).
- ↑ R. Burns: Army sending health experts to Fort Bragg to look for links to spousal killings. Associated Press, 23. August 2002.
- ↑ M. Benjamin, D. Olmsted: Navy coverup alleged on drug side effects. ( vom 29. Juli 2007 im Webarchiv archive.today) In: United Press International. 8. September 2003.
- ↑ Report: Lariam affects Aussie troops. In: United Press International. 29. September 2005.
- ↑ Protokoll der 89. ordentlichen Generalversammlung der Aktionäre der Roche Holding AG, Basel (PDF; 503 kB) vom 5. März 2007, 10.30 Uhr, im Kongresszentrum der Messe Basel, Basel.
- ↑ Eric Schoomaker: Updated guidance on Use of Mefloquine (Lariam®)for Malaria Prophylaxis. ( vom 16. Juli 2011 im Internet Archive; PDF; 493 kB) Department of the Army. Office of the Surgeon General, 2. Februar 2009.
- ↑ Special Considerations for US Military Deployments. ( vom 10. Juni 2015 im Internet Archive) In: Yellow Book. Centers for Disease Control, Atlanta 2013.
- ↑ Jonathan Woodson: Guidance on Medications for Prophylaxis of Malaria. ( vom 4. Oktober 2013 im Internet Archive; PDF; 2,9 MB) Department of Defense, 15. April 2013.
- ↑ Army curbs prescriptions of anti-malaria drug. In: USA Today. 19. November 2011 (Associated Press).
- ↑ Mark Benjamin: Robert Bales Charged: Military Scrambles To Limit Malaria Drug Just After Afghanistan Massacre. In: Huffington Post. 25. März 2012, abgerufen am 27. März 2012 (englisch).
- ↑ Amy Goodman, Mark Benjamin: Pentagon Stays Silent on Whether Suspect in Afghan Massacre Took Controversial Anti-Malaria Drug. In: Democracy Now. 27. März 2012, abgerufen am 27. März 2012 (englisch).
- ↑ Elspeth Cameron Ritchie: A Smoking Pillbox: Evidence that Sgt. Bales May Have Been on Lariam. In: Time Magazine. 20. Juni 2013.
- ↑ Hal Berton: Did malarial drug play role in Bales’ Afghan murders? In: Seattle Times. 18. Juli 2013.
- ↑ Nina Shapiro: Why Robert Bales’ Lawyer Kept Mum on Mefloquine. ( vom 27. August 2013 im Internet Archive) In: Seattle Weekly. 26. August 2013.
- ↑ Adam Ashton: Army: Robert Bales’ medical records to remain classified. In: The News Tribune. 3. September 2014.
- ↑ Elizabeth McLaughin: Lawyers claim anti-malaria drug to blame in US soldier’s Afghan massacre. ABC News, 16. Mai 2018.
- ↑ Patricia Kime: Ex-soldier who killed 16 Afghan civilians may seek clemency from president, lawyer says. The Daily World, 20. Juni 2018.
- ↑ Risiko für Soldaten – Bundeswehr setzt auf umstrittenes Malaria Medikament. Kontraste, ARD, 12. April 2012.
- ↑ Riskante Malaria-Prophylaxe – Wie die Bundeswehr die Gefahren verharmlost. Kontraste, ARD, 3. Mai 2012.
- ↑ Malaria-Mittel macht Soldaten unkontrollierbar. In: Frankfurter Rundschau. 13. April 2012.
- ↑ Kleine Anfrage der Abgeordneten Inge Höger, Christine Buchholz, Sevim Dagdelen, Annette Groth, Andrej Hunko, Harald Koch, Stefan Liebich, Niema Movassat, Kathrin Vogler, Harald Weinberg und der Fraktion DIE LINKE: Anwendung des Malariamedikaments Lariam (Mefloquin) in der Bundeswehr. (PDF; 143 kB) Deutscher Bundestag, 17. Wahlperiode. Drucksache 17/9789. 16. Mai 2012. (PDF; 95 kB).
- ↑ Antwort der Bundesregierung auf die Kleine Anfrage der Abgeordneten Inge Höger, Christine Buchholz, Sevim Dagdelen, weiterer Abgeordneter und der Fraktion DIE LINKE. (PDF; 252 kB) Deutscher Bundestag, 17. Wahlperiode. Drucksache 17/10075. 25. Juni 2012.
- ↑ Omid Nouripour (Bündnis 90/Die Grünen): Schriftliche Anfrage: Konsequenzen der Bundeswehr hinsichtlich des Malariamedikaments Lariam wegen psychischer Nebenwirkungen. Deutscher Bundestag, 17. Wahlperiode. BT-Drs. 17/12239 (Schriftliche Fragen).
- ↑ Potential Signals of Serious Risks/New Safety Information Identified by the Adverse Event Reporting System (AERS) between April – June 2012. Food and Drug Administration (FDA), Atlanta 2012.
- ↑ Lariam Fachinformation. Roche Pharma AG, August 2012, geringfügig modifiziert im November 2012.
- ↑ RTÉ's Investigations Unit asks if the anti-malarial drug Lariam be linked to suicides among Irish Defence Forces soldiers. RTÉ-Fernsehmagazin Prime Time, Mai 2013.
- ↑ Six Irish Times journalists receive medical media awards. In: Irish Times. 7. November 2013.
- ↑ FDA Drug Safety Communication: FDA approves label changes for antimalarial drug mefloquine hydrochloride due to risk of serious psychiatric and nerve side effects.
- ↑ Petra Jungmayr: Neurologische und psychiatrische Nebenwirkungen: Black Box für Mefloquin. In: Deutsche Apothekerzeitung. 11. August 2013.
- ↑ Malaria: Vestibuläre und psychiatrische Nachwirkungen von Mefloquin. In: Deutsches Ärzteblatt. 30. Juli 2013.
- ↑ Lariam: Summary of Product Characteristics ( vom 12. Oktober 2013 im Internet Archive) Roche Irland, Juni 2013.
- ↑ Agence nationale de sécurité du médicament et de produits de santé: LARIAM® (méfloquine): actualisation du profil de tolérance Information importante de Pharmacovigilance – Lettre aux professionnels de santé. 8. Juli 2013.
- ↑ Comunicazione diretta agli operatori sanitari su Lariam (meflochina) per la chemioprofilassi della malaria e rischio di reazioni avverse neuropsichiatriche. (PDF) L’Agenzia Italiana Del Farmaco, Juni 2013 (PDF; 59 kB)
- ↑ Lariam: Doprovodné texty. Roche Česká Republika, 21. August 2013.
- ↑ Gebrauchsinformation: Information für Anwender. Lariam 250 mg Tabletten. Roche Belgien, 8/2013.
- ↑ Rote-Hand-Brief zu Lariam ®. ( vom 22. Oktober 2013 im Internet Archive) Roche Deutschland; veröffentlicht auf der Internetseite des Bundesinstituts für Arzneimittel und Medizinprodukte (BfArM), September 2013.
- ↑ Kathrin Vogler: Schriftliche Anfrage: Einsatz des Malariamittels Lariam ® bei Bundeswehrsoldaten. (PDF; 3,2 MB) Deutscher Bundestag. 17. Wahlperiode. Drucksache 17/14813. 4. Oktober 2013, S. 35–36.
- ↑ Inge Hoeger: Schriftliche Anfrage: Einsatz des Malariamittels Lariam ® bei Bundeswehrsoldaten. (PDF; 1,5 MB) Deutscher Bundestag. 18. Wahlperiode. Drucksache 18/36. 8. November 2013, S. 39–41.
- ↑ Im Fokus: Gesundheitsschutz im Einsatz. Interview mit Oberstabsarzt Salvatore Schmidt. Veröffentlicht auf der Internetseite des Sanitätsdienstes der Bundeswehr, 23. Oktober 2013.
- ↑ Thomas Wiegold: Nach Alarmmeldung: (Fast) Schluss mit Lariam bei der Bundeswehr. In: Augen geradeaus! 7. November 2013.
- ↑ Ralf Brauksiepe: Antwort auf schriftliche Anfrage von Brugger, Agnieszka: Deutsche Soldaten mit dem verschriebenen Medikament Lariam zur Malariaprophylaxe. (PDF; 777 kB) Deutscher Bundestag. 18. Wahlperiode. Drucksache 18/8191. 22. April 2016, S. 26–27.
- ↑ Paula Jelineck: Green Berets, other elite Army forces ordered to stop taking anti-malarial drug mefloquine. ( vom 29. September 2013 im Webarchiv archive.today) In: Washington Post. 19. September 2013.
- ↑ Jonathan Owen: The Lariam scandal: Former head of army calls for ban on malaria drug. In: The Independent. 27. September 2013.
- ↑ Jonathan Owen: British military chiefs demand review into continued use of Lariam. In: The Independent. 7. Oktober 2013.
- ↑ Marco Giannangeli: War hero issues alert over controversial antimalarial drug. In: Sunday Express. 20. Juli 2014.
- ↑ Jonathan Owen: Soldiers still suffering serious mental illness linked to controversial anti-malarial drug Lariam. In: The Independent. 28. November 2014.
- ↑ Sima Kotecha: Call for Army to stop using malaria drug mefloquine. In: BBC News. 17. August 2015.
- ↑ SNP MP calls for answers on anti malarial drug use. ( vom 26. September 2015 im Internet Archive) Pressemeldung der Scottish National Party, 13. September 2015.
- ↑ Jonathan Owen: Lariam: Select committee to consider inquiry over MoD's use of anti-malarial drug. In: The Independent. 15. September 2015.
- ↑ A. O’Dowd: MPs may hold inquiry into safety of using antimalarial mefloquine in military. In: BMJ. 351, 11. Sep 2015, S. h4868. PMID 26361783.
- ↑ Lebensgefährliche Risiken – Kontrollbehörde für Arzneimittel versagt. ARD-Fernsehmagazin Kontraste, 24. Oktober 2013.
- ↑ Kontraste-Beitrag zu Flupirtin und Lariam: BfArM bietet weiterführende Informationen im Internet. ( vom 22. Februar 2014 im Internet Archive) BfArM Pressemitteilung 12/13, 25. Oktober 2013.
- ↑ Leitlinie Diagnostik und Therapie der Malaria. ( vom 13. Januar 2014 im Internet Archive) Deutsche Gesellschaft für Tropenmedizin und Internationale Gesundheit e. V., November 2013. AWMF-Leitlinien-Register 042/001.
- ↑ Empfehlungen zur Malariavorbeugung. Deutsche Gesellschaft für Tropenmedizin und Internationale Gesundheit e. V., April 2013. Ergänzung vom 22. Oktober 2013.
- ↑ Reisemedizin Malaria-Prophylaxe für Schwangere in pharmazeutische-zeitung.de Ausgabe 24/2010.
- ↑ Malaria Empfehlungen zur Vorbeugung und Notfallselbstbehandlung ( vom 4. März 2011 im Internet Archive) Gesundheitsdienst Regionalarztstelle Jaunde.
- ↑ G. D. Burchard: Malaria. In: Internist (Berl). 9. Jan 2014, S. 1–12, PMID 24399475.
- ↑ Erhöhtes Risiko von Augenerkrankungen in Zusammenhang mit der Anwendung von Lariam ® (Mefloquin). ( vom 1. Februar 2014 im Internet Archive) Roche Pharma (Schweiz) AG, publiziert auf der Internetseite von Swissmedic. 29. Januar 2014.
- ↑ Mefloquine and visual disturbances. (PDF; 4,6 MB) Prescriber Update 2013; 34(4) Dezember. New Zealand Medicines and Medical Devices Safety Authority, S. 48.
- ↑ Mefloquine hydrochloride (Lariam): Safety advisory – potential for visual disturbances. Australian Government, Department of Health. 11. Oktober 2013.
- ↑ Important new safety information for Lariam (mefloquine) regarding visual disturbances including optic neuropathy. Drug Office. Department of Health. Hong Kong. 16. Juli 2013.
- ↑ Rote-Hand-Brief zu Lariam ®. ( vom 22. Oktober 2013 im Internet Archive) Roche Deutschland; veröffentlicht auf der Internetseite des Bundesinstituts für Arzneimittel und Medizinprodukte (BfArM), September 2013.
- ↑ Lariam Fachinformation. Roche Pharma AG, Januar 2014.
- ↑ Swissmedic Journal 2/2014 ( vom 6. Juni 2014 im Internet Archive). Amtliches Publikationsorgan der Swissmedic, Schweizerisches Heilmittelinstitut, Bern, S. 134.
- ↑ Mefloquinhaltige Arzneimittel: persistierende neuropsychiatrische Nebenwirkungen. ( vom 8. Mai 2014 im Internet Archive) Bundesinstitut für Arzneimittel und Medizinprodukte, 27. Februar 2014.
- ↑ db: Malaria: Mefloquin hat Spätfolgen für die Psyche. In: Pharmazeutische Zeitung. 28. Februar 2014.
- ↑ Updated PRAC rapporteur assessment report on the signal of permanent neurologic (vestibular) disorders with mefloquine. (PDF; 5,9 MB) European Medicines Agency, 31. Januar 2014.
- ↑ Lariam Fachinformation, Roche Pharma AG, Mai 2014.
- ↑ Empfehlungen zur Malariavorbeugung. Deutsche Gesellschaft für Tropenmedizin und Internationale Gesundheit e. V., Mai 2014. Die Formulierung entspricht der Ergänzung der Empfehlungen aus dem Oktober des Vorjahres. Vgl. Empfehlungen zur Malariavorbeugung. Deutsche Gesellschaft für Tropenmedizin und Internationale Gesundheit e. V., April 2013. Ergänzung vom 22. Oktober 2013.
- ↑ Empfehlungen zur Malariavorbeugung. ( vom 1. November 2016 im Internet Archive) (PDF) Deutsche Gesellschaft für Tropenmedizin und Internationale Gesundheit e. V., Mai 2016.
- ↑ Empfehlungen zur Malariavorbeugung. Deutsche Gesellschaft für Tropenmedizin und Internationale Gesundheit e. V., März 2010.
- ↑ Empfehlungen zur Malariavorbeugung. ( vom 26. Dezember 2014 im Internet Archive) Deutsche Gesellschaft für Tropenmedizin und Internationale Gesundheit e. V., April 2011.
- ↑ Empfehlungen zur Malariavorbeugung. Deutsche Gesellschaft für Tropenmedizin und Internationale Gesundheit e. V., April 2013.
- ↑ Shane Phelan: Anti-malarial drug to be withdrawn from Irish market. In: Irish Independent. 14. Oktober 2015.
- ↑ Mary Carolan: Action over alleged effects of anti-malarial Lariam settled. In: The Irish Times. 13. Oktober 2015.
- ↑ Mark Tighe: First pay-out over drug blamed for soldiers’ suicides. The Times. 14. Oktober 2015.
- ↑ Jonathan Owen: Lariam: Inquiry to be held into MoD's use of anti-malaria drug on British soldiers amid health concerns. In: The Independent. 14. Oktober 2015.
- ↑ Deborah Haynes: Anti-malaria drug to face MPs’ scrutiny. In: The Times. 14. Oktober 2015.
- ↑ Lariam inquiry. Informationen auf der Internetpräsenz des Parlaments des Vereinigten Königreiches, UK Defense Committee.
- ↑ Larisa Brown: Malaria pill for forces is a risk, admit drug chiefs: Controversial treatment found to increase risk of depression, anxiety and psychosis. In: Daily Mail. 11. November 2015.
- ↑ Jonathan Owen: Lariam: Medical experts condemn MoD for giving soldiers anti-malarial drug with psychiatric side effects. In: The Independent. 8. Dezember 2015.
- ↑ Sam Blackledge: Ministry of Defence admits breaching guidelines by giving Lariam drug to troops. ( vom 29. Januar 2016 im Internet Archive) In: Plymouth Herald. 12. Januar 2016.
- ↑ Bern Farmer: More than 1 in 20 troop deaths happen in training. In: The Telegraph. 12. Januar 2016.
- ↑ Sima Kotecha: Lariam should be drug of last resort for troops, MPs say. In: BBC News. 24. Mai 2016.
- ↑ Julia Borsch: Malariamittel Lariam in Zukunft nur noch als Import erhältlich. In: Deutsche Apotheker Zeitung. (DAZ), 24. Februar 2016.
- ↑ Stiller Abgang des Malariamittels Mefloquin (LARIAM). In: Arznei-Telegramm. 47, 2016, S. 31–32.
- ↑ Lariam® is no longer marketed in Denmark. In: EPI-News, 7/8, 2016, Statens Serum Institut.
- ↑ Empfehlungen zur Malariavorbeugung. ( vom 1. November 2016 im Internet Archive) (PDF) Deutsche Gesellschaft für Tropenmedizin und Internationale Gesundheit e. V., Mai 2016.
- ↑ Malariaprophylaxe nach dem Mefloquin (Lariam)-Rückzug. In: Arznei-Telegramm. Jg. 47, Nr. 6, 2016, S. 57–59.
- ↑ Jeffrey Livezey, Thomas Oliver, Louis Cantilena: Prolonged Neuropsychiatric Symptoms in a Military Service Member Exposed to Mefloquine. In: Drug Safety - Case Reports. 3, 2016, doi:10.1007/s40800-016-0030-z.
- ↑ Sheila Pratt: Risky anti-malaria drug given to thousands of Canadian veterans. The Star, 25. Mai 2016.
- ↑ Chris Doucette: Former soldier suffers after taking anti-malaria drug. Toronto Star, 18. Dezember 2016.
- ↑ Chris Doucette: Veterans, families want answers over Forces’ use of Mefloquine. Toronto Sun, 23. Januar 2017.
- ↑ Cullen Crozier: APTN Investigates: Bad Medicine. APTN National News, 7. April 2017.
- ↑ Agnieszka Brugger, Tobias Lindner, Doris Wagner: Antrag der Fraktion Bündnis 90/Die Grünen im Verteidigungsausschuss des Deutschen Bundestages zum Entwurf des Einzelplans 14, Kapitel 1403, Titelgruppe 01. (PDF; 279 kB) Deutscher Bundestag. Verteidigungsausschuss. Ausschussdrucksache 18(12)786. Veröffentlicht auf der Internetseite von Agnieszka Brugger (Bündnis 90/Die Grünen, MdB).
- ↑ Sheila Pratt: Germany bans drug linked to brain damage, ramps up pressure on Canada. iPolitics, 9. Dezember 2016.
- ↑ Agnieszka Brugger: Ende für umstrittenes Lariam-Medikament bei der Bundeswehr. Pressemeldung, 15. Dezember 2016. Veröffentlicht auf der Internetseite von Agnieszka Brugger (Bündnis 90/Die Grünen, MdB).
- ↑ Rachel Riley: Vets back ban on anti-malaria drug. Townsville Bulletin, 11. Dezember 2016.
- ↑ Addam Higgins: Irish Defence Forces blasted for continuing to give troops ‘dated’ Lariam pills that leave some soldiers with suicidal thoughts. The Irish Sun, 16. Dezember 2016.
- ↑ Antrag der Fraktionen CDU/CSU und SPD im Verteidigungsausschuss des Deutschen Bundestages zu dem Gesetzentwurf der Bundesregierung. Drucksachen 19/1700, 19/1701. Entwurf eines Gesetzes über die Feststellung des Bundeshaushaltsplans für das Haushaltsjahr 2018 (Haushaltsgesetz 2018). (PDF; 1,2 MB) Deutscher Bundestag. Drucksache 19/2426.
- ↑ Cheplapharm bleibt auf Wachstumskurs und ergänzt sein Portfolio mit vier weiteren Produkten. Pressemeldung von Cheplapharm, 26. Januar 2018.
- ↑ Discontinuation of Lariam® (Mefloquine) 250mg × 8 Tablets. (PDF; 221 kB) Roche New Zealand, Pressemeldung, 15. August 2018.
- ↑ Use of the Quinoline anti-malarial drugs Mefloquine and Tafenoquine in the Australian Defence Force. Internetpräsenz des Australischen Parlaments, Senate Foreign Affairs Defence and Trade References Committee, Juni 2018.
- ↑ Michael Atkin: It’s destroyed my life: Hopes inquiry will back veterans claims anti-malaria drug caused illness. ABC News. 31. Juli 2018.
- ↑ Paul Cleary: Drug trial a test of ethics. The Australian, 11.9.2015.
- ↑ Mandie Sami: Defence Force accused of 'massive cover-up' over anti-malarial drug. ABC News, 4.12.2015.
- ↑ Jesse Dorsett: Former soldiers, families face military officials in Townsville over anti-malaria drug side effects. ABC News, 14.3.2016.
- ↑ Henry Belot: Therapeutic Goods Administration warned military doctors before using experimental drug on soldiers. Sydney Morning Herald, 29.4.2016.
- ↑ S. McCarthy: Malaria Prevention, Mefloquine Neurotoxicity, Neuropsychiatric Illness and Risk-Benefit Analysis in the Australian Defence Force. (PDF; 1,4 MB) In: J Parasitol Res. 2015, S. 287651.
- ↑ Use of the Quinoline anti-malarial drugs Mefloquine and Tafenoquine in the Australian Defence Force. Executive Summary. Internetpräsenz des Australischen Parlaments, Senate Foreign Affairs Defence and Trade References Committee, Dezember 2018. Zitat: “The committee needs to state that it is not comprised of medical professionals or health experts and so cannot make any findings or rulings in relation to the medical causes for health issues. However, it notes that the weight of prevailing medical evidence provided to the committee in response to these claims is that long term problems as a result of taking mefloquine are rare and there is no compelling evidence that tafenoquine causes long term effects. To be clear, there has always been recognition by Defence that mefloquine, like any drug, has side effects and this has been taken into consideration in the development of its health policy.”
- ↑ Rachel Eddie: ‘Disheartening’: Veterans ‘let down’ by inquiry into anti-malarial drug trials. The New Daily, 5. Dezember 2018.
- ↑ a b Malariaprophylaxe – Empfehlungen des Ständigen Ausschusses Reisemedizin (StAR) der DTG. ( vom 21. Juli 2019 im Internet Archive) (PDF) Deutsche Gesellschaft für Tropenmedizin und Internationale Gesundheit e. V., Juni 2019.
- ↑ M. Schawaller, D. Wiemer, RM. Hagen, H. Frickmann: Infectious diseases in German military personnel after predominantly tropical deployments: a retrospective assessment over 13 years. In: BMJ Mil Health, 2020 Nov 30, bmjmilitary-2020-001575. PMID 33257519
- ↑ Malariaprophylaxe – Empfehlungen des Ständigen Ausschusses Reisemedizin (StAR) der DTG. (PDF; 3,6 MB) Deutsche Gesellschaft für Tropenmedizin und Internationale Gesundheit e. V., August 2022.
- ↑ M. Tickell-Painter, R. Saunders, N. Maayan, V. Lutje, A. Mateo-Urdiales, P. Garner: Deaths and parasuicides associated with mefloquine chemoprophylaxis: A systematic review. In: Travel Med Infect Dis., 2017 Nov - Dec, 20, S. 5–14. Epub 2017 Nov 2. doi:10.1016/j.tmaid.2017.10.011. PMID 29107173
- ↑ Lariam Fachinformation. Roche Pharma AG, Dezember 2010.
- ↑ Lariam Fachinformation. Roche Pharma AG, August 2012, geringfügig modifiziert im November 2012.
- ↑ Informationen des Bundesinstituts für Arzneimittel und Medizinprodukte zu Flupirtin und Lariam. (PDF) Bundesinstitut für Arzneimittel und Medizinprodukte, 25. Oktober 2013.
- ↑ SmPC Guideline Rev.2, September 2009. (PDF) EudraLex der Europäischen Kommission
- ↑ Rote Hand Brief. (PDF; 2,2 MB).
- ↑ Österreich: Behördlich beauflagtes Schulungsmaterial für medizinisches Fachpersonal für Lariam® 250 mg. Patientenpass. (PDF) Cheplapharm 2018.
- ↑ Empfehlungen zur Vorbeugung von Malaria. Deutsche Gesellschaft für Tropenmedizin und Internationale Gesundheit e. V., Mai 2018.
- ↑ P Schlagenhauf, M Adamcova, L Regep, MT Schaerer, S Bansod, HG Rhein: Use of mefloquine in children – a review of dosage, pharmacokinetics and tolerability data. In: Malar J., 2011 Oct 7;10, S. 292, doi:10.1186/1475-2875-10-292, PMC 3215676 (freier Volltext), PMID 21981927
- ↑ R Nevin: Biased Measurement of Neuropsychiatric Adverse Effects of Pediatric Mefloquine Treatment. In: Pediatr Infect Dis J., Jan 2011 31;1, S. 102. PMID 22217970.
- ↑ FDA Drug Safety Communication: FDA approves label changes for antimalarial drug mefloquine hydrochloride due to risk of serious psychiatric and nerve side effects.
- ↑ R Rieke: Mefloquin: Totgesagte schaden länger. (PDF) In: Flug u Reisemed, 2018; 25, S. 153–156.
- ↑ Malariaprophylaxe – Empfehlungen des Ständigen Ausschusses Reisemedizin (StAR) der DTG. ( vom 21. Juli 2019 im Internet Archive) (PDF) Deutsche Gesellschaft für Tropenmedizin und Internationale Gesundheit e. V., Juni 2019.
- ↑ FDA Drug Safety Communication: FDA approves label changes for antimalarial drug mefloquine hydrochloride due to risk of serious psychiatric and nerve side effects.
- ↑ Empfehlungen zur Vorbeugung von Malaria. Deutsche Gesellschaft für Tropenmedizin und Internationale Gesundheit e. V., Mai 2018.
- ↑ SP. Schlagenhauf, C. Hatz, R. Behrens, L. Visser, M. Funk, B. Holzer, B. Beck, C. Bourquin, H. Etter, H. Furrer, B. Genton, P. Landry, F. Chappuis, L. Loutan, U. Stössel, E. Jeschko, A. Rossanese, HD. Nothdurft: Mefloquine at the crossroads? Implications for malaria chemoprophylaxis in Europe. In: Travel Med Infect Dis., 2015 Mar-Apr;13(2), S. 192–196. PMID 25825015
- ↑ Empfehlungen zur Malariavorbeugung. Deutsche Gesellschaft für Tropenmedizin und Internationale Gesundheit e. V., April 2013. Ergänzung vom 22. Oktober 2013.
- ↑ Mark Tighe: Army’s Lariam expert funded by drug maker. The Sunday Times, 27. Oktober 2013.
- ↑ Malariaprophylaxe – Empfehlungen des Ständigen Ausschusses Reisemedizin (StAR) der DTG. ( vom 21. Juli 2019 im Internet Archive) (PDF) Deutsche Gesellschaft für Tropenmedizin und Internationale Gesundheit e. V., Juni 2019.
- ↑ Mark Denbeaux, Sean Camoni, Brian Beroth, Meghan Chrisner, Chrystal Loyer, Kelli Stout, Paul Taylor: Drug abuse. An exploration of the government’s use of mefloquine at Guantanamo. ( vom 15. Februar 2012 im Internet Archive; PDF; 1,2 MB) Website der Seton University School of Law, Dezember 2010.
- ↑ Elke Brüser: Folter in Guantanamo. „Pharmakologisches Waterboarding“. In: Süddeutsche Zeitung. 15. Dezember 2010.
- ↑ Anna Gabriel: Folter in Guantánamo mit Medikamenten? In: Die Presse. 18. Dezember 2010.
- ↑ Andreas Förster: Guantanamo-Häftlinge als Versuchskaninchen. In: Berliner Zeitung, 3. März 2011.
- ↑ R. L. Nevin: Mass administration of the antimalarial drug mefloquine to Guantánamo detainees: a critical analysis. In: Trop Med Int Health. 12. August 2012, doi:10.1111/j.1365-3156.2012.03063.x. PMID 22882560.
- ↑ Inge Hoeger (Die Linke): Schriftliche Anfrage: Entschädigung von Bundeswehrsoldaten wegen psychischer Nebenwirkungen des Malariamittels Lariam ®. (PDF; 3,7 MB) Deutscher Bundestag. 18. Wahlperiode. Drucksache 18/115. 29. November 2013, S. 43–44.
- ↑ Penny Wright: Anfrage zu Mefloquin im australischen Senat. 18. September 2012.
- ↑ Rolf Käppeli: Kamboriam. Ein Bericht. Im Malaria-Dschungel Kambodschas und der Schweiz. Mit einem Nachwort von Adolf Muschg. Zug: Balmer Verlag 1995. ISBN 978-3-85548-037-1
- ↑ Law & Order: New York. Episodenführer: Folge Nebenwirkungen. Universal TV 2005.
- ↑ Christian Kracht, David Woodard: Five Years. Briefwechsel 2004-2009. Hannover: Wehrhahn Verlag 2001. S. 18–19. ISBN 978-3-86525-235-7. Zitat: „[O]ne needs to take extraordinary little white pills called 'Lariam', which, once ingested, tend to creat havoc with one’s emotions. Upon visiting Somalia in the early nineties, I found the little buggers down daily and could not stop crying and falling into thoughts of deepest chemical depression. I would rather chance malaria than have to take those pills again.“
- ↑ Ann Patchett: Fluss der Wunder. Übersetzt v. Werner Löcher-Lawrence. Berlin: Bloomsbury 2012. ISBN 978-3-8270-1056-8.
- ↑ David Stuart MacLean: The Answer to the Riddle is Me. A memoir to Amnesia. Boston: Houghton Mifflin Harcourt 2014. ISBN 978-0-547-51927-2
- ↑ Robert Löhr (Drehbuch), Markus Sehr (Regie): Das Instituts – Oase des Scheiterns. Episode „Der Exorzismus der Anneliese E.“ Novafilm 2019.
- ↑ Smo: Personalien: Scheue Kollegen. In: Der Spiegel. Nr. 42, 2017 (online).
- ↑ Kim-Aileen Sterzel: Stromae: Ohrwürmer für gute und schlechte Tage. Deutsche Welle, 22. April 2022.
- ↑ Stromae beendet seine Tour vorzeitig. N-TV, 9. Mai 2023.
