Melanotan II
| Strukturformel | |||||||||||||
|---|---|---|---|---|---|---|---|---|---|---|---|---|---|
| |||||||||||||
| Allgemeines | |||||||||||||
| Name | Melanotan II | ||||||||||||
| Summenformel | C50H69N15O9 | ||||||||||||
| Externe Identifikatoren/Datenbanken | |||||||||||||
| |||||||||||||
| Eigenschaften | |||||||||||||
| Molare Masse | 1024,18 g·mol−1 | ||||||||||||
| Sicherheitshinweise | |||||||||||||
| |||||||||||||
| Wenn nicht anders vermerkt, gelten die angegebenen Daten bei Standardbedingungen (0 °C, 1000 hPa). | |||||||||||||
Melanotan II ist wie Melanotan I eine synthetische Substanz, die ähnliche Wirkungen besitzt wie das natürlich vorkommende Melanozyten-stimulierende Hormon α-MSH.
Eigenschaften und Wirkungen
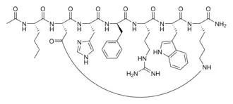
Melanotan II ist ein aus sieben Aminosäuren aufgebautes cyclisches Peptid mit der Primärstruktur Ac-Nle-cyclo[Asp-His-D-Phe-Arg-Trp-Lys]-NH2.
Melanotan II wird als Bräunungsmittel und Aphrodisiakum beschrieben.[2][3] Ein klinischer Versuch an der University of Arizona (Tucson) mit drei männlichen Probanden zeigte 1996, dass Melanotan II beim Menschen eine Hautbräunung nach fünf niedrigdosierten, an jedem zweiten Tag durchgeführten subkutanen Injektionen bewirkt. Als weitere Wirkungen wurden Übelkeit und ein Gähn- und Streckbedürfnis beobachtet, das mit einer spontanen Erektion einherging.[4] Weitere Studien beschreiben ähnliche Effekte.[5][6]
Gefahren für die Gesundheit
Melanotan II ist kein zugelassenes Arzneimittel. Da sich dennoch ein illegaler Handel mit der Substanz entwickelte, sah sich die US-amerikanische Arzneimittelzulassungs- und -überwachungsbehörde FDA im September 2007 genötigt, die Verbraucher vor der Einnahme von Melanotan II zu warnen und eine Warnung an eine der vermarktenden Firmen auszusprechen.[7][8][9] Auch die britische Behörde „Medicines and Healthcare Products Regulatory Agency“ (MHRA) warnte im November 2008 vor Risiken für Verwender der beiden nicht zugelassenen Melanotan-Typen.[10]
Anwendung als Kosmetikum
Das Giftinformationszentrum Nord warnte 2011 aufgrund der Gesundheitsgefahren vor der Anwendung zu kosmetischen Zwecken. Die Substanz anzubieten und zu verkaufen sei illegal.[11]
Gesetzeslage in Deutschland
Der Besitz von Melanotan ist in Deutschland nicht gesetzlich geregelt. In der Vergangenheit wurde, da der Wirkstoff nicht als Arzneimittel zugelassen ist, das In-Verkehr-Bringen nach den Bestimmungen des Arzneimittelgesetzes verfolgt.[12] Eine abschließende Bewertung durch ein Gericht wurde bezüglich derartiger Substanzen noch nicht gefällt.
Siehe auch
Weblinks
Einzelnachweise
- ↑ a b Datenblatt Melanotan II acetate salt bei Sigma-Aldrich, abgerufen am 21. Juni 2021 (PDF).
- ↑ CNN.com: Tanning drug may find new life as Viagra alternative, 17. Juni 1999 (engl.), abgerufen am 10. Januar 2009.
- ↑ Time.com: Tanning Bonus, 20. Juni 1999 (engl.), abgerufen am 10. Januar 2009.
- ↑ R.T. Dorr, R. Lines, N. Levine et al.: Evaluation of melanotan-II, a superpotent cyclic melanotropic peptide in a pilot phase-I clinical study, Life Sci. 58 (20), 1777–1784 (1996), doi:10.1016/0024-3205(96)00160-9.
- ↑ H. Wessells, K. Fuciarelli, J. Hansen et al.: Synthetic melanotropic peptide initiates erections in men with psychogenic erectile dysfunction: Double-blind, placebo controlled crossover study, J. Urol. 160(2), 389–393 (1998), doi:10.1016/S0022-5347(01)62903-3.
- ↑ H. Wessells, N. Levine, M. E. Hadley,R. Dorr, V. Hruby: Melanocortin receptor agonists, penile erection, and sexual motivation: Human studies with Melanotan II, Int. J. Impot. Res. 12 (Suppl. 4), S74–79 (2000), doi:10.1038/sj.ijir.3900582.
- ↑ Warnung der FDA vor Melanotan II (engl)., abgerufen am 10. Januar 2009.
- ↑ Warnbrief der FDA wegen illegalem Verkauf (engl)., abgerufen am 10. Januar 2009.
- ↑ Deutsches Ärzteblatt: Bräunungs-Junkies: Internethandel mit nicht zugelassenem Hormon ( vom 4. Dezember 2008 im Internet Archive), 17. November 2008, abgerufen am 10. Januar 2009.
- ↑ Pressemitteilung der britischen MHRA (engl.), abgerufen am 11. Januar 2009.
- ↑ GIZ-Nord warnt vor "Melanotan II"
- ↑ pz.de:»Barbie-Droge« Melanotan
