Methingruppe

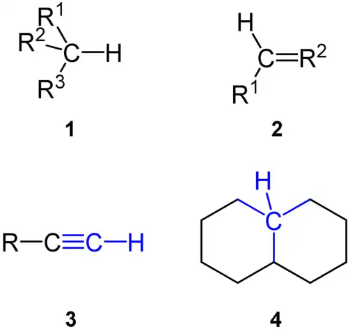
Die Methingruppe (CH) ist eine funktionelle Gruppe aus dem Bereich der organischen Chemie. Sie besteht aus einem Kohlenstoffatom, an das ein Wasserstoffatom gebunden ist, und besitzt somit ein Wasserstoffatom weniger als die Methylengruppe. Die freien Valenzen werden durch drei weitere Substituenten beziehungsweise durch Mehrfachbindungen abgesättigt.[1] Bei dem Kohlenstoffatom der Methingruppe handelt es sich um ein tertiäres Kohlenstoffatom. Die Substituenten können prinzipiell sowohl organisch als auch anorganisch sein. Unter dem Begriff Methingruppe werden die Methantriyl- (R3CH, 1), die Methanyliden- (2), die Methylidin- (3) und die Methenogruppe (4) zusammengefasst. Auch die Kohlenstoffatome von Aromaten, falls sie keinen Substituenten tragen, können als Methingruppen angesehen werden, obwohl keine lokalisierte Doppelbindung existiert.

Strukturen der Methingruppe
Strukturen der Methingruppe

Zu den einfachsten Verbindungen, die formal eine Methingruppe enthalten, zählen Ethin (C2H2), Propen (CH3-CH=CH2) und Isobutan (CH3-CH(CH3)-CH3). Des Weiteren ist die Gruppe der Polymethinfarbstoffe bekannt. Die Methylidingruppe kommt zum Beispiel an ein N-Atom gebunden im (Methylidin-λ5-azanyl)cyclopropan[2] vor.

Siehe auch

Einzelnachweise

  1. Eintrag zu Methin. In: Römpp Online. Georg Thieme Verlag, abgerufen am 23. September 2014.
  2. Eintrag zu (methylidyne-λ5-azanyl)cyclopropane in der ChemSpider-Datenbank der Royal Society of Chemistry, abgerufen am 22. Januar 2014.