Mometasonfuroat

Strukturformel
Mometasone furoate
Allgemeines
Freiname Mometasonfuroat
Andere Namen
  • 9α,21-Dichlor-11β,17α-dihydroxy-16α-methyl-1,4-pregnadien-3,20-dion-17-(2-furoat) (IUPAC)
  • Mometasoni furoas (Latein)
Summenformel C27H30Cl2O6
Kurzbeschreibung

weißes Pulver mit schwachem Geruch[1]

Externe Identifikatoren/Datenbanken
CAS-Nummer 83919-23-7
EG-Nummer (Listennummer) 617-501-0
ECHA-InfoCard 100.125.600
PubChem 441336
ChemSpider 390091
DrugBank DB14512
Wikidata Q1044248
Arzneistoffangaben
ATC-Code

R01AD09

Wirkstoffklasse

Glucocorticoid

Eigenschaften
Molare Masse 521,4 g·mol−1
Aggregatzustand

fest[1]

Schmelzpunkt

218–220 °C[1]

Löslichkeit
  • praktisch unlöslich in Wasser[1]
  • schwer löslich in Ethanol 96 %, löslich in Aceton und Dichlormethan (Monohydrat)[2]
Sicherheitshinweise
Bitte die Befreiung von der Kennzeichnungspflicht für Arzneimittel, Medizinprodukte, Kosmetika, Lebensmittel und Futtermittel beachten
GHS-Gefahrstoffkennzeichnung[1]

Gefahr

H- und P-Sätze H: 372
P: 260​‐​264​‐​270​‐​314​‐​501[1]
Toxikologische Daten

> 2000 mg·kg−1 (LD50Ratteoral)[1]

Wenn nicht anders vermerkt, gelten die angegebenen Daten bei Standardbedingungen (0 °C, 1000 hPa).

Mometasonfuroat ist ein Arzneistoff aus der Gruppe der Glucocorticoide, der zur Behandlung verschiedener Hautkrankheiten, der allergischen Rhinitis und Nasenpolypen sowie des Asthma bronchiale eingesetzt wird. Es handelt sich um ein stark wirksames synthetisches Glucocorticoid.[3][4]

Entdeckung

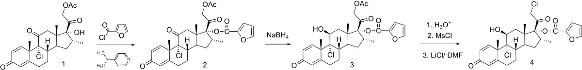
Die Verbindung wurde von Elliot L. Shapiro und Mitarbeitern der US-amerikanischen Firma Merck Sharp & Dohme (heute Merck & Co.) synthetisiert, im Jahr 1982 zum Patent angemeldet und 1984 patentiert.[5] Die Ergebnisse der US-Forscher wurden 1986 zur Publikation im Journal of Medicinal Chemistry eingereicht und 1987 veröffentlicht.[6] Im ersten Schritt einer mehrstufigen Synthese wurde die OH-Gruppe des Prednison-Derivats (1) mit dem Chlorid der Furan-2-carbonsäure acyliert. Da die tertiäre OH-Gruppe sterisch behindert ist, wurde die Methode der Steglich-Veresterung herangezogen.

Synthese von Mometasonfuroat

Pharmakologische Eigenschaften

Mometason basiert auf dem Grundgerüst von Prednisolon. Durch die strukturelle chemische Modifizierung und Veresterung wird Mometason lipophiler, weshalb dieses besser in die Haut eindringt. Die Furoatgruppe (Ester der Furan-2-carbonsäure) bewirkt gleichzeitig eine längere Verweildauer in der Haut, was zu einer langen Wirkungsdauer führt.[7]

Die Wirkung des Mometasonfuroats ist dreifach:

Auch beim Inhalieren von Mometasonfuroat-Präparaten (s. u.) kommt die hemmende Wirkung auf Entzündungsmediatoren zum Tragen. Zusätzlich konnte gezeigt werden, dass Mometasonfuroat die Reagibilität der Atemwege von Allergikern auf Adenosinmonophosphat und Methacholin senkt.[8] Die Wirksamkeit bei Nasenpolypen resultiert aus der antiproliferativen Wirkung.

Klinische Angaben

Anwendungsgebiete

In Salben, Cremes und Fettcremes findet Mometasonfuroat Anwendung bei der Behandlung entzündlicher Hautkrankheiten wie z. B. atopischer Dermatitis und Psoriasis.[9] Zur Therapie der allergischen Rhinitis und von Nasenpolypen wird Mometasonfuroat wegen seiner schlechten Wasserlöslichkeit als Suspension im Dosierspray für die Nase (Nasenspray) angewendet.[10] Für die inhalative Anwendung bei Asthma bronchiale aller Schweregrade wird Mometasonfuroat als mikronisiertes einzeldosiertes Pulver eingesetzt (Twisthaler, Breezhaler). Kann das Asthma bronchiale mit inhalativen Kortikosteroiden und inhalativen, kurzwirksamen β2-Agonisten nicht ausreichend kontrolliert werden, so kommt Mometasonfuroat auch in fixer Kombination mit dem langwirkenden β2-Agonisten Indacaterol oder mit Indacaterol und dem Anticholinergikum Glycopyrroniumbromid zur Anwendung.

Art und Dauer der Anwendung

Die Anwendung auf der Haut sollte auf drei Wochen und maximal 20 % der Körperoberfläche, bei Anwendung im Gesicht auf fünf Tage beschränkt bleiben.[3][9] Bei inhalativer Anwendung bestehen keine zeitlichen Beschränkungen.[8]

Gegenanzeigen

Mometasonfuroat ist generell kontraindiziert bei Überempfindlichkeit gegenüber der Substanz. In diesem Zusammenhang müssen auch die restlichen Bestandteile der Zubereitung beachtet werden. Zusätzliche Gegenanzeigen bei topischer Anwendung sind Rosacea, Acne vulgaris, periorale Dermatitis und Anwendung unter einem Okklusivverband, um nur einige wichtige zu nennen.[9][8] Als Nasenspray darf es nicht angewendet werden bei (aktiver oder inaktiver) Lungentuberkulose, unbehandelten Pilzinfektionen, systemischen bakteriellen oder viralen Infektionen, Augenherpes, Infektionen der Nasenschleimhaut und nach Nasenverletzungen oder -operationen.[10]

Wechselwirkungen mit anderen Medikamenten

Es sind keine Wechselwirkungen bekannt. Bei inhalativer Anwendung und gleichzeitiger Einnahme von Medikamenten, die zu einer Hemmung des Cytochroms P450 3A4 führen (z. B. Ketoconazol), besteht jedoch möglicherweise ein leichtes Risiko für systemische Nebenwirkungen.[9][8][10]

Anwendung während Schwangerschaft und Stillzeit

Es existieren keine geeigneten Studien zur Anwendung von Mometasonfuroat in Schwangerschaft und Stillzeit. In tierexperimentellen Untersuchungen zeigten sich jedoch Missbildungen beim Fötus einschließlich Gaumenspalten und ein Übertritt geringer Wirkstoffmengen in die Muttermilch, so dass eine Gabe der Substanz nur nach äußerst sorgfältiger Nutzen-Risiko-Abwägung erfolgen sollte. Das Neugeborene muss in diesem Fall hinsichtlich einer Nebennierenrindeninsuffizienz überwacht werden, insbesondere wenn eine inhalative oder großflächige Anwendung erfolgte.[9][8][10]

Besondere Patientengruppen

Für die Sicherheit und Wirksamkeit bei der Behandlung des Asthma bronchiale bei Kindern unter 12 Jahren liegen keine Daten vor.[8]

Unerwünschte Wirkungen

Mometasonfuroat kann vielfältige unerwünschte Wirkungen haben, siehe hierzu Glucocorticoide: Nebenwirkungen. Charakteristisch für Mometasonfuroat ist jedoch, dass es häufig zu einem Kribbeln der Haut an der Auftragsstelle kommen kann.[9]

Handelsnamen

  • Dermal: Ecural (D), Elocon (D, A), Elocom (CH), Momecutan (D, A), MomeGalen (D), Momekort (D), Mometason Glenmark (D), Monovo (D, CH), Ovixan (CH
  • Nasal: Allergo-Momelind (D), MomeAllerg (D), MomeGalen (D), MometaHexal Heuschnupfenspray (D), Mometason Bei Heuschnupfen 1 A Pharma (D), Mometason Cipla (D, A), Mometason Hexal (A), Mometason-ratiopharm (A), Mometasonfuroat Abz (D), Mometasonfuroat AL (D), Mometasonfuroat ratiopharm (D), Mometasonfuroat Sandoz (CH), Nasonex (D, CH), Nasonex Aquosum (A), Vividrin Mometason (D),
    • als Kombinationspräparat mit Olopatadin: Ryaltris (D, A)
  • Inhalativ: Asmanex (D, A)
    • als Kombinationspräparat mit Indacaterol: Atectura (EU, CH), Bemrist (EU)
    • als Kombinationspräparat mit Indacaterol und Glycopyrroniumbromid: Enerzair (EU, CH), Zimbus (EU)
  • Tiermedizin: als Kombinationspräparat

Literatur

  • Wolfgang Blaschek et al. (Hrsg.): Hagers Enzyklopädie der Arzneistoffe und Drogen. Band 10. 6. Auflage. Wiss. Verlagsges., Stuttgart 2007, ISBN 978-3-8047-2384-9, S. 974–977.
  • Axel Kleemann et al.: Pharmaceutical substances: syntheses, patents and applications of the most relevant APIs. 5. Auflage. Thieme, Stuttgart 2009, S. 915–916.

Einzelnachweise

  1. a b c d e f g Sicherheitsdatenblatt Mometasonfuroat bei Fagron (Memento vom 21. Juli 2019 im Internet Archive; PDF; 60 kB)
  2. nlm.nih.gov: NASONEX® (mometasone furoate monohydrate) Nasal Spray, 50 mcg calculated on the anhydrous basis FOR INTRANASAL USE ONLY.
  3. a b Aktories, Förstermann, Hofmann, Starke: Allgemeine und spezielle Pharmakologie und Toxikologie. Urban & Schwarzenberg, München 2009, ISBN 978-3-437-42522-6.
  4. Andrea Hämmerlein, Martin Schulz: Ciclesonid und Mometason – zwei neue inhalative Glucocorticoide. In: Pharmazeutische Zeitung, Ausgabe 1/2006, abgerufen am 21. Januar 2014.
  5. US-Patent 4472393, 3,20-Dioxo-1,4-pregnadiene-17α-ol-17-aromatic heterocycle carboxylates, Chemical Abstracts 1985, Bd. 102, 95905h.
  6. E. L. Shapiro, M. J. Gentles et al., 17-Heteroaroyl Esters of Corticosteroids. 2. 11-β-Hydroxy Series. Journal of Medicinal Chemistry 1987, Bd. 30, S. 1581–1588.
  7. Schürer, Ruzicka: Ekzeme. Springer Verlag, Berlin/Heidelberg/New York 1999, ISBN 3-540-63952-7.
  8. a b c d e f Fachinformation Asmanex. (PDF) MSD SHARP & DOHME, Juli 2012, abgerufen am 24. Januar 2014.
  9. a b c d e f Fachinformation Ecural. (PDF) MSD SHARP & DOHME, März 2012, abgerufen am 24. Januar 2014.
  10. a b c d Fachinformation Nasonex. (PDF) MSD SHARP & DOHME, Juli 2012, abgerufen am 24. Januar 2014.