Nabilon
| Strukturformel | |||||||||||||||||||
|---|---|---|---|---|---|---|---|---|---|---|---|---|---|---|---|---|---|---|---|
| |||||||||||||||||||
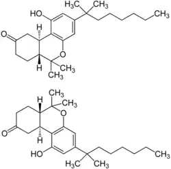
| 1:1-Gemisch aus den (Enantiomeren): (6aR,10aR)-Form (oben) und (6aS,10aS)-Form (unten) | |||||||||||||||||||
| Allgemeines | |||||||||||||||||||
| Freiname | Nabilon | ||||||||||||||||||
| Andere Namen |
| ||||||||||||||||||
| Summenformel | C24H36O3 | ||||||||||||||||||
| Kurzbeschreibung |
weißer Feststoff[1] | ||||||||||||||||||
| Externe Identifikatoren/Datenbanken | |||||||||||||||||||
| |||||||||||||||||||
| Arzneistoffangaben | |||||||||||||||||||
| ATC-Code |
A04AD11 | ||||||||||||||||||
| Wirkstoffklasse | |||||||||||||||||||
| Eigenschaften | |||||||||||||||||||
| Molare Masse | 372,54 g·mol−1 | ||||||||||||||||||
| Aggregatzustand |
fest | ||||||||||||||||||
| Schmelzpunkt | |||||||||||||||||||
| Löslichkeit | |||||||||||||||||||
| Sicherheitshinweise | |||||||||||||||||||
| |||||||||||||||||||
| Toxikologische Daten | |||||||||||||||||||
| Wenn nicht anders vermerkt, gelten die angegebenen Daten bei Standardbedingungen (0 °C, 1000 hPa). | |||||||||||||||||||
Nabilon ist ein vollsynthetisches Derivat des Δ9-Tetrahydrocannabinols. Nabilon wurde 1975 von Eli Lilly als Tranquilizer und Antiemetikum patentiert.
Herstellung
Eine vielstufige Synthese ausgehend von 3,5-Dimethoxybenzaldehyd ist in der Literatur beschrieben.[4] Die Synthese kann auch durch Isomerisierung aus dem entsprechenden 6a,10a-cis-Produkt erfolgen, welches seinerseits aus Kondensation von Resorcinderivaten mit 4-(1-Hydroxy-1-methylethyl)-3-cyclohexen-1-on zugänglich ist.[5][6]
Stereoisomerie
3-(1,1-Dimethylheptyl)-6,6a,7,8,10,10a-hexahydro-1-hydroxy-6,6-dimethyl-9H-dibenzo[b,d]pyran-9-on enthält zwei stereogene Zentren. Es kann also vier Stereoisomere geben. Der Arzneistoff Nabilon ist ein Racemat [1:1-Gemisch aus der (6aR,10aR)-Form und der (6aS,10aS)-Form, die ein einander enantiomer sind]. Die beiden anderen Stereoisomere [(6aR,10aS)-Form und (6aS,10aR)-Form] besitzen keine pharmakologische Bedeutung.
Rechtliches
Nabilon ist als Betäubungsmittel in der Anlage III des deutschen Betäubungsmittelgesetzes aufgeführt. Es ist somit in Deutschland verkehrsfähig und muss auf dem Betäubungsmittelrezept verschrieben werden.
Indikation
Nabilon ist zugelassen
- als Antiemetikum bei Übelkeit und Erbrechen unter Zytostatika bzw. Bestrahlungstherapie im Rahmen einer Krebstherapie.
Handelsnamen
- Cesamet (USA, GB)
- Canemes (AT, DE)
Weblinks
- FDA Label von Cesamet (PDF; 97 kB)
Einzelnachweise
- ↑ a b c d e Datenblatt Nabilone solid, ≥ 98 % (HPLC) bei Sigma-Aldrich, abgerufen am 12. April 2011 (PDF).
- ↑ The Merck Index. An Encyclopaedia of Chemicals, Drugs and Biologicals. 14. Auflage, 2006, S. 1097, ISBN 978-0-911910-00-1.
- ↑ Fundamental and Applied Toxicology., 9(185), 1987.
- ↑ Axel Kleemann, Jürgen Engel, Bernd Kutscher und Dietmar Reichert: Pharmaceutical Substances, 4. Auflage (2000), Thieme-Verlag Stuttgart, S. 1381–1382, ISBN 978-1-58890-031-9.
- ↑ Patent DE2729818C2: Verfahren zur Herstellung von 6A, 10A-Trans-1-Hydroxy-3-substituierten- 6,6Dimethyl-6,6A,7,8,10,10A-Hexahydro- 9H-Dibenzo Eckige Klammer auf B,D Eckige Klammer zu Pyran-9-onen. Angemeldet am 1. Juli 1977, veröffentlicht am 5. August 1982, Anmelder: Eli Lilly and Co., Erfinder: William Breven Blanchard, Charles Wilbur Ryan.
- ↑ Patent EP0004753B1: Herstellung von Tetrahydrobenzoxocinen und cis - Hexahydrodibenzopyranonen. Angemeldet am 30. März 1979, veröffentlicht am 26. Mai 1982, Anmelder: Eli Lilly and Company, Erfinder: Charles Wilbur Ryan.
