Natriumphenolat

Strukturformel
Struktur von Natriumphenolat
Allgemeines
Name Natriumphenolat
Andere Namen
  • Phenol-Natriumsalz
  • Natriumphenoxid
  • SODIUM PHENOXIDE (INCI)[1]
Summenformel C6H5NaO
Kurzbeschreibung

weißer pulverförmiger Feststoff mit phenolartigem Geruch[2]

Externe Identifikatoren/Datenbanken
CAS-Nummer
EG-Nummer 205-347-3
ECHA-InfoCard 100.004.862
PubChem 4445035
Wikidata Q410045
Eigenschaften
Molare Masse 116,09 g·mol−1
Aggregatzustand

fest[2]

Schmelzpunkt

384 °C[2]

Löslichkeit

leicht in Wasser (> 300 g·l−1 bei 20 °C)[2]

Sicherheitshinweise
GHS-Gefahrstoffkennzeichnung[2]
Gefahrensymbol

Gefahr

H- und P-Sätze H: 314
P: 280​‐​301+330+331​‐​303+361+353​‐​305+351+338​‐​310[2]
Wenn nicht anders vermerkt, gelten die angegebenen Daten bei Standardbedingungen (0 °C, 1000 hPa).

Natriumphenolat ist das Natriumsalz von Phenol. Es entsteht durch die Umsetzung von Phenol mit Natronlauge.

Verwendung

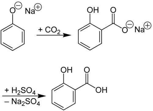
Natriumphenolat wird für die Darstellung von Salicylsäure mittels Kolbe-Schmitt-Reaktion verwendet. Dazu wird es mit Kohlendioxid unter Druck erhitzt und das entstehende Natriumsalicylat mit Schwefelsäure umgesetzt:[3]

Darstellung von Natriumphenolat mittels Kolbe-Schmitt-Reaktion
Darstellung von Natriumphenolat mittels Kolbe-Schmitt-Reaktion

Einzelnachweise

  1. Eintrag zu SODIUM PHENOXIDE in der CosIng-Datenbank der EU-Kommission, abgerufen am 23. Oktober 2021.
  2. a b c d e f Eintrag zu Natriumphenolat in der GESTIS-Stoffdatenbank des IFA, abgerufen am 8. Januar 2020. (JavaScript erforderlich)
  3. Hans Beyer, Wittko Francke, Wolfgang Walter: Lehrbuch der organischen Chemie. 24. Auflage. Hirzel, Stuttgart Leipzig 2004, ISBN 978-3-7776-1221-8, S. 591.