Nifedipin
| Strukturformel | ||||||||||||||||||||||
|---|---|---|---|---|---|---|---|---|---|---|---|---|---|---|---|---|---|---|---|---|---|---|
| ||||||||||||||||||||||
| Allgemeines | ||||||||||||||||||||||
| Freiname | Nifedipin | |||||||||||||||||||||
| Andere Namen |
| |||||||||||||||||||||
| Summenformel | C17H18N2O6 | |||||||||||||||||||||
| Kurzbeschreibung | ||||||||||||||||||||||
| Externe Identifikatoren/Datenbanken | ||||||||||||||||||||||
| ||||||||||||||||||||||
| Arzneistoffangaben | ||||||||||||||||||||||
| ATC-Code |
C08CA05 | |||||||||||||||||||||
| Wirkstoffklasse | ||||||||||||||||||||||
| Wirkmechanismus | ||||||||||||||||||||||
| Eigenschaften | ||||||||||||||||||||||
| Molare Masse | 346,33 g·mol−1 | |||||||||||||||||||||
| Aggregatzustand |
fest[2] | |||||||||||||||||||||
| Schmelzpunkt | ||||||||||||||||||||||
| Löslichkeit | ||||||||||||||||||||||
| Sicherheitshinweise | ||||||||||||||||||||||
| ||||||||||||||||||||||
| Toxikologische Daten | ||||||||||||||||||||||
| Wenn nicht anders vermerkt, gelten die angegebenen Daten bei Standardbedingungen (0 °C, 1000 hPa). | ||||||||||||||||||||||
Nifedipin ist ein Arzneistoff aus der Gruppe der Calciumantagonisten vom 1,4-Dihydropyridin-Typ. Über eine Erweiterung der glatten Muskulatur der Gefäße senkt es stark den Blutdruck. Therapeutisch wird Nifedipin hauptsächlich eingesetzt zur Behandlung der arteriellen Hypertonie, der koronaren Herzkrankheit sowie des Raynaud-Syndroms. Es darf nicht bei der instabilen Angina pectoris und beim akuten Herzinfarkt gegeben werden. Nifedipin ist stark lichtempfindlich.
Geschichte
Nifedipin (der Wirkstoff von Adalat) wurde Ende der 1960er Jahre von dem Chemiker Friedrich Bossert das erste Mal synthetisiert und von dem Pharmakologen Wulf Vater biologisch und medizinisch getestet. Im Jahr 1969 wurde Albrecht Fleckenstein von der Bayer AG beauftragt, den Wirkmechanismus des Arzneimittels zu untersuchen. Das Herzmittel Adalat wurde das erste deutsche Medikament, das 1980 den „Prix Galien“ erhielt.[5][6]
Zum Beginn der 1970er Jahre wurde Nifedipin in die Kategorie der Calciumantagonisten eingeordnet. Von diesem ausgehend wurden weitere 1,4-Dihydropyridine, wie z. B. Nimodipin, Nisoldipin und Nicardipin entwickelt und auf den Markt gebracht, die sogenannten Dihydropyridine der 2. Generation.[7]
Der Pharmazeut Ahmed Hegazy (1939–2021) entwickelte die retardierende (verzögert bzw. langsam den Wirkstoff freigebende) Darreichungsform mit Langzeitwirkung bis zu 36 h und patentierte am 9. September 1980 „Nifedipin 1–4 m²/g“ (Patent EP0047899 bzw. DE3033919).[8] Bayer meldete die feste Arzneizubereitung mit Nifedipin anschließend in über 40 Ländern zum Patent an. Im Schutz dieser Patente konnte Adalat-retard in den 1990er Jahren zu Bayers erfolgreichstem Einzelprodukt werden, mit jährlichen Umsätzen von mehr als 1 Mrd. US$. Die Ausweitung der Indikation auf Bluthochdruck im Jahr 1985 sowie die neue Tagesdosis nach Erfindung der Retard-Tablette führten zu dem weltweiten Umsatzanstieg.[9]
Herstellung und Gewinnung
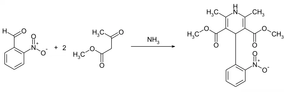
Die Herstellung von Nifedipin erfolgt entsprechend einer Hantzschschen Dihydropyridinsynthese durch die Umsetzung von 2-Nitrobenzaldehyd mit Methylacetoacetat (Acetessigsäuremethylester) in Gegenwart von Ammoniak.[10][11]


Wirkmechanismus
Nifedipin blockiert den Calciumionen-Einstrom in die Zellen der glatten Gefäßmuskulatur, was eine gefäßerweiternde Wirkung zur Folge hat. Unter therapeutischen Dosen hat Nifedipin ebenso wie die anderen Calciumantagonisten vom Dihydropyridin-Typ keine relevante Wirkung auf die Herzmuskelzellen.[12]
Indikationen
Nifedipin ist zugelassen zur Therapie der essentiellen Hypertonie, des hypertensiven Notfalls, des Raynaud-Syndroms sowie der stabilen Angina Pectoris. Zusätzlich hat es sich bei der Behandlung vorzeitiger Wehentätigkeit bewährt (off label). Auch wurde Nifedipin zur Vorbeugung eines Höhenlungenödems untersucht.[13] Zur Behandlung von Analfissuren kann Nifedipin als 0,2%ige Creme verwendet werden.
Wehenhemmung
Nifedipin kann außerhalb der zugelassenen Anwendungsgebiete (Off-Label-Use) auch als Wehenhemmer eingesetzt werden. Bei vorzeitigen muttermundwirksamen Wehen vermag die tokolytische Therapie mit Nifedipin die Geburt in 75–93 % der Fälle um 48 Stunden und in 62–78 % der Fälle um 7 Tage zu verzögern.[14] Mehrere Untersuchungen haben Verträglichkeit und Wirksamkeit dieser Mittel im Vergleich mit anderen Wehenhemmern, wie β2-Sympathomimetika und Prostaglandinantagonisten bestätigt. Bei bestehendem Hypertonus oder Diabetes mellitus besitzen die Calciumantagonisten Vorteile gegenüber den β2-Sympathomimetika. Sie haben seltenere und weniger schwere Nebenwirkungen als diese.
Glaukom
Nifedipin hat bei Patienten mit Offenwinkelglaukom zu einer deutlichen Reduktion des retinalen Zentralvenendrucks geführt (ein erhöhter Druck in der zentralen Vene der Netzhaut gilt, ähnlich wie ein zu hoher Augeninnendruck, als ein Risikofaktor des Glaukoms). Der Effekt war vor allem bei Glaukompatienten mit Flammer-Syndrom besonders ausgeprägt: bei ihnen sank der retinale Zentralvenendruck nach drei Wochen mit niedrig dosierter Nifedipin-Therapie im Durchschnitt um 16,07 mm Hg, bei Glaukompatienten ohne Flammer-Syndrom um 7,28 mm Hg.[15]
Unerwünschte Wirkungen
Die bedeutendste Nebenwirkung von Nifedipin ist ein (zu) starker Blutdruckabfall.[16] Insbesondere zu Therapiebeginn können Kopfschmerzen auftreten. Eine weitere häufige Nebenwirkung ist ein allgemeines Schwächegefühl. Seltene Nebenwirkungen sind: Dyspepsie (Verdauungsstörungen), Bauchschmerzen, Verstopfung, Blähungen, Aufstoßen, Erbrechen, Mundtrockenheit, Appetitlosigkeit, Unwohlsein, Dyspnoe (Luftnot), Nervosität, Schlafstörungen, Schläfrigkeit, Hypästhesien, Erregungszustände, Gelbsucht, Schwitzen, Arthralgien (Gelenkbeschwerden), Muskelkrämpfe, Fieber, Schwachsichtigkeit, vermehrter Harndrang und Reflextachykardie.
Nifedipin greift zudem reversibel in die Funktionsweise der Spermien ein und kann somit zu Unfruchtbarkeit für die Dauer der Einnahme und einige Zeit darüber hinaus führen.[17][18]
Im Jahr 2007 ergaben sich Hinweise, dass Nifedipin entgegen der Lehrmeinung nicht nur auf die Gefäße wirkt, sondern zumindest im Tierversuch auch auf das hochdruckgeschädigte Herz. Im Tierversuch verändert Nifedipin die genetischen Informationen zur Bildung von Transportproteinen. Ein Vergleich der Muster dieser an- und abgeschalteten Gene mit solchen, die in erkrankten menschlichen Herzen gefunden wurden, lassen vermuten, dass Nifedipin eine unerwünschte Wirkung zumindest auch am erkrankten menschlichen Herzen entfalten kann.[19]
Kontraindikationen
Bei folgenden Erkrankungen ist die Gabe von Nifedipin kontraindiziert: kardiogener Schock, instabile Angina Pectoris, akuter Herzinfarkt (Herzinfarkt) (innerhalb der ersten 4 Wochen), höhergradige Aortenklappenstenose, gleichzeitige Gabe von Rifampicin.
Aufgrund der Gefahr der Auslösung von Verengungen der Herzkranzgefäße wird Nifedipin in der Notfallmedizin bei gleichzeitigem Verdacht auf Vorhandensein einer koronaren Herzerkrankung nur noch sehr zurückhaltend eingesetzt.
Aufgrund der vorliegenden klinischen Studien ist es bislang nicht möglich, das Risiko der Nifedipin-Anwendung in der Schwangerschaft abschließend zu beurteilen. Dies gilt insbesondere für den Zeitraum vor der 20. Schwangerschaftswoche. Da sich Nifedipin im Tierversuch als nachweislich embryo-/fetotoxisch darstellt, bleibt die Therapie mit Nifedipin vor Abschluss der 20. Schwangerschaftswoche kontraindiziert.[20]
Handelsnamen
Monopräparate[21][22][23]
Adalat (D, A, CH), Aprical (D), Buconif (A), Cardipin (CH), Cisday (D), Corinfar (D), Corotrend (CH), Ecodipin (CH), Fedip (A), Jutadilat (D), Nifeclair (D), Nifedicor (CH), Nifecor (D), Nifelat (D), Nifical (D), Ospocard (A), zahlreiche Generika (D, A, CH)
- mit Metoprolol: Belnif (D),
- mit Atenolol: Bresben (D), Nif-Ten (D).
Einzelnachweise
- ↑ a b Europäische Arzneibuch-Kommission (Hrsg.): Europäische Pharmakopöe, 5. Ausgabe. Band 5.0–5.8, 2006.
- ↑ a b c d e Datenblatt Nifedipin bei Sigma-Aldrich, abgerufen am 21. Januar 2025 (PDF).
- ↑ a b c A. Burger, K. T. Koller: Polymorphism and Pseudopolymorphism on Nifedipine. In: Sci. Pharm. 64, 1996, S. 293–301.
- ↑ Eintrag zu Nifedipine in der ChemIDplus-Datenbank der United States National Library of Medicine (NLM) (Seite nicht mehr abrufbar)
- ↑ Erik Verg: Meilensteine. 125 Jahre Bayer. Selbstverlag Bayer AG, Leverkusen 1988, ISBN 3-921349-48-6 (Digitalisat), S. 497.
- ↑ Prix Galien Hall of Fame. Abgerufen am 13. Januar 2023.
- ↑ Wolf-Dieter Müller-Jahncke, Christoph Friedrich, Ulrich Meyer: Arzneimittelgeschichte. 2., überarbeitete und erweiterte Auflage. Wissenschaftliche Verlags-Gesellschaft, Stuttgart 2005, ISBN 3-8047-2113-3, S. 173 f.
- ↑ Patent EP0047899B2: Feste Arzneizubereitungen enthaltend Nifedipin und Verfahren zu ihrer Herstellung. Angemeldet am 28. August 1981, veröffentlicht am 28. Februar 1996, Anmelder: Bayer AG, Erfinder: Ahmed Hegasy, Klaus-Dieter Rämsch.
- ↑ Alexander Mey: Life-Cycle-Management für pharmazeutische Produkte. (PDF) Erfurter Hefte, 2013, S. 17, abgerufen am 10. März 2021.
- ↑ Patentanmeldung DE1670827A1: Neue Arzneimittel auf der Grundlage von 4-Aryl-1,4-dihydropyridinderivaten. Angemeldet am 20. März 1967, veröffentlicht am 11. März 1971, Anmelder: Bayer AG, Erfinder: Friedrich Bossert, Wulf Vater.
- ↑ A. Kleemann, J. Engel, B. Kutscher, D. Reichert: Pharmaceutical Substances – Synthesis, Patents, Applications. 4. Auflage. Thieme-Verlag, Stuttgart 2001, ISBN 1-58890-031-2.
- ↑ K. Aktories, U. Förstermann, F. Hofmann, K. Starke: Allgemeine und Spezielle Pharmakologie und Toxikologie. 9. Auflage. Urban & Fischer Verlag / Elsevier, München / Jena 2006, ISBN 3-437-44490-5, S. 626–629.
- ↑ Peter Bärtsch, M. Maggiorini, M. Ritter, C. Noti, P. Vock, O. Oelz: Prevention of high-altitude pulmonary edema by nifedipine. In: Engl J Med. 325, 1991, S. 1284–1289.
- ↑ Prävention und Therapie der Frühgeburt. Leitlinie der DGGG, OEGGG und SGGG (S2k-Niveau, AWMF-Registernummer 015/025, Februar 2019) – Teil 1 mit Empfehlungen zur Epidemiologie, Ätiologie, Prädiktion, primären und sekundären Prävention der Frühgeburt, gültig bis 30. September 2022. www.awmf.org, abgerufen am 13. Dezember 2021.
- ↑ L. Fang, S. Turtschi, M. Mozaffarieh: The effect of nifedipine on retinal venous pressure of glaucoma patients with the Flammer-Syndrome. In: Graefes Arch Clin Exp Ophthalmol., 253(6), Jun 2015, S. 935–939. doi:10.1007/s00417-015-3001-7.
- ↑ Reinhard Larsen: Anästhesie und Intensivmedizin in Herz-, Thorax- und Gefäßchirurgie. 5. Auflage. Springer, Berlin / Heidelberg / New York u. a. 1999, ISBN 3-540-65024-5, S. 63 f.
- ↑ Susan Benoff, Ian Hurley, George W. Cooper, Francine S. Mandel, David L. Rosenfeld, Avner Hershlag: Fertilization and early embryology: Head-specific mannose—ligand receptor expression in human spermatozoa is dependent on capacitation-associated membrane cholesterol loss*. In: Human Reproduction. Band 8, Nr. 12, Dezember 1993, S. 2141–2154, doi:10.1093/oxfordjournals.humrep.a137996.
- ↑ Susan Benoff, George W. Cooper, Ian Hurley, Francine S. Mandel, David L. Rosenfeld, Gerald M. Scholl, Bruce R. Gilbert, Avner Hershlag: The effect of calcium ion channel blockers on sperm fertilization potential. In: Fertility and Sterility. Band 62, Nr. 3, September 1994, S. 606–617, doi:10.1016/s0015-0282(16)56953-2.
- ↑ Janine Drexler: Mehr Sicherheit für Hochdruck-Patienten. Fraunhofer-Gesellschaft, Pressemitteilung vom 11. Oktober 2007 beim Informationsdienst Wissenschaft (idw-online.de), abgerufen am 24. August 2015.
- ↑ M. Smollich: Nifedipin bei Schwangerschaftshochdruck – Indikation und pränataltoxikologische Sicherheit. GRIN, 2009, ISBN 978-3-640-24380-8.
- ↑ Rote Liste online, Stand: Oktober 2009.
- ↑ AM-Komp. d. Schweiz, Stand: Oktober 2009.
- ↑ AGES-PharmMed, Stand: Oktober 2009.
- ↑ Stand: Januar 2020.
