Orsat-Apparat



Ein Orsat-Apparat ist ein historisches Laborgerät zur volumetrischen Gasanalyse mittels chemischer Reaktionen.
Er wurde 1874 in Paris von H. Orsat (d. i. Louis Orsat)[1] zum Patent angemeldet.[2] Diese Methode ist heute bedeutungslos, da Gasgemische mit Hilfe der Gaschromatographie genauer und eleganter untersucht werden können.
Anwendungen
Diese Methode diente zur Untersuchung von Hochofengichtgas, Generatorgas, Koksofengas sowie Abgasen in verschiedenen industriellen Bereichen wie z. B. dem Brennen von Kalk und Zement.
Aufbau
Der Orsat-Apparat besteht aus einer Gasbürette A, die zur Konstanthaltung der Temperatur mit einem Temperiermantel (thermostatisierter Wassermantel) versehen ist. Dort wird das zu untersuchende Gasgemisch aufgenommen. Außerdem besteht der Orsat-Apparat aus mehreren speziellen Gaspipetten B–E, sogn. Orsat-Pipetten, deren Anzahl je nach zu analysierendem Gasgemisch variiert. Oft enthält der Orsat-Apparat einen Verbrennungsofen, zur Bestimmung des Gehalts nicht absorbierbarer Gase – wie Wasserstoff, Methan, Ethan etc. – im Gasgemisch. Gasbürette, Gaspipetten und Verbrennungsofen sind durch einzeln abschließbare (G und I) Kapillarröhrchen miteinander verbunden.[3] Außerdem besteht der Orsat-Apparat aus einer Niveauflasche F.
Funktion
Die einzelnen Gaspipetten sind mit verschiedenen Flüssigkeiten gefüllt, z. B. so
- Pipette B mit 25%iger Kalilauge zur Absorption von Kohlendioxid
- Pipette C mit Bromwasser oder 94%iger Schwefelsäure und 1 % Silbersulfat zur Absorption von Alkenen
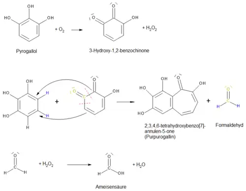
- Pipette D mit Pyrogallol-Lösung zur Absorption von Sauerstoff
- Pipette E mit ammoniakalischer Kupfer(I)-chlorid-Lösung zur Absorption von Kohlenmonoxid[3]
Die Gasbürette A ist mit Sperrflüssigkeit (mit Natriumchlorid oder -sulfat versetzte wässrige Lösung, oft angefärbt z. B. mit Methylrot) gefüllt, und am unteren Ende über einen Schlauch mit einer Niveuflasche verbunden. In die Bürette wird ein abgemessenes Gasvolumen (z. B. 100 ml) über den oberen Hahn G und den Filter H eingeleitet, wobei die Sperrflüssigkeit ins Ausgleichsgefäß gedrückt wird. Nacheinander wird das Gasvolumen durch Heben und Senken des Ausgleichgefäßes und Öffnen der entsprechenden Hähne I durch die einzelnen Gaspipetten geleitet. Hierdurch werden der Reihe nach die verschiedenen Gase absorbiert. Nach jedem Absoptionsschritt wird das Restvolumen des Gases in der Gasbürette abgelesen. Eine genaue Ablesung wird erreicht, indem man den Flüssigkeitsstand der Sperrflüssigkeit in der Niveauflasche auf dieselbe Höhe bringt wie in der Gasbürette (Prinzip der kommunizierenden Röhren). Die Differenz zum Ausgangsvolumen (bzw. des vorherigen Schrittes) ergibt den Volumenanteil der Gase im Gemisch. Das nach dem letzten Absorptionsschritt verbliebene Gasvolumen wird als Stickstoff angenommen.
Chemische Reaktionen
Absorption von Kohlendioxid
CO2 + 2 KOH → K2CO3 + H2O
Absorption von Alkenen
Beispiel Ethen in konz. Schwefelsäure>:

Absorption von Sauerstoff

Absorption von Kohlenmonoxid
CO + CuCl → [CuCl(CO)(H2O)2]