Palladium
| Eigenschaften | |||||||||||
|---|---|---|---|---|---|---|---|---|---|---|---|
| Allgemein | |||||||||||
| Name, Symbol, Ordnungszahl | Palladium, Pd, 46 | ||||||||||
| Elementkategorie | Übergangsmetalle | ||||||||||
| Gruppe, Periode, Block | 10, 5, d | ||||||||||
| Aussehen | silbrig, weiß, metallisch | ||||||||||
| CAS-Nummer | |||||||||||
| EG-Nummer | 231-115-6 | ||||||||||
| ECHA-InfoCard | 100.028.286 | ||||||||||
| Massenanteil an der Erdhülle | 0,011 ppm[1] | ||||||||||
| Atomar[2] | |||||||||||
| Atommasse | 106,42(1)[3] u | ||||||||||
| Atomradius (berechnet) | 140 (169) pm | ||||||||||
| Kovalenter Radius | 139 pm | ||||||||||
| Van-der-Waals-Radius | 163 pm | ||||||||||
| Elektronenkonfiguration | [Kr] 4d10 | ||||||||||
| 1. Ionisierungsenergie | 8.336839(10) eV[4] | ||||||||||
| 2. Ionisierungsenergie | 19.43(12) eV[4] ≈ 1875 kJ/mol[5] | ||||||||||
| 3. Ionisierungsenergie | 32.93 eV[4] ≈ 3177 kJ/mol[5] | ||||||||||
| 4. Ionisierungsenergie | 46.0(1,7) eV[4] ≈ 4438 kJ/mol[5] | ||||||||||
| 5. Ionisierungsenergie | 61.0(1,9) eV[4] ≈ 5886 kJ/mol[5] | ||||||||||
| Physikalisch[2] | |||||||||||
| Aggregatzustand | fest | ||||||||||
| Kristallstruktur | kubisch flächenzentriert | ||||||||||
| Dichte | 12,023 g/cm3 (20 °C)[6] | ||||||||||
| Mohshärte | 4,75 | ||||||||||
| Magnetismus | paramagnetisch (χm = 8,0 · 10−4)[7] | ||||||||||
| Schmelzpunkt | 1828,05 K (1554,9 °C) | ||||||||||
| Siedepunkt | 3233 K[8] (2960 °C) | ||||||||||
| Molares Volumen | 8,56 · 10−6 m3·mol−1 | ||||||||||
| Verdampfungsenthalpie | 380 kJ·mol−1[8] | ||||||||||
| Schmelzenthalpie | 16,7 kJ·mol−1 | ||||||||||
| Schallgeschwindigkeit | 3070 m·s−1 | ||||||||||
| Elektrische Leitfähigkeit | 9,26 · 106 S·m−1 | ||||||||||
| Wärmeleitfähigkeit | 72 W·m−1·K−1 | ||||||||||
| Chemisch[2] | |||||||||||
| Oxidationszustände | 0, +2, +4 | ||||||||||
| Normalpotential | 0,915 V (Pd2+ + 2 e− → Pd) | ||||||||||
| Elektronegativität | 2,20 (Pauling-Skala) | ||||||||||
| Isotope | |||||||||||
| Weitere Isotope siehe Liste der Isotope | |||||||||||
| NMR-Eigenschaften | |||||||||||
| |||||||||||
| Sicherheitshinweise | |||||||||||
| |||||||||||
| Wenn nicht anders vermerkt, gelten die angegebenen Daten bei Standardbedingungen. | |||||||||||
Palladium ist ein chemisches Element mit dem Elementsymbol Pd und der Ordnungszahl 46. Das seltene, silberweiße Übergangsmetall bildet zusammen mit Platin, Rhodium, Ruthenium, Iridium und Osmium die Gruppe der Platinmetalle, grau- bis silberweiße Metalle mit verwandten chemischen und physikalischen Eigenschaften. Im Periodensystem steht Palladium in der 5. Periode und der 10. Gruppe oder Nickelgruppe. Früher wurde es in die 8. Nebengruppe eingeordnet.
Palladium kommt zusammen mit den anderen Platinmetallen in sehr geringen Konzentrationen in der Erdkruste vor. Umfangreiche Vorkommen wurden in Russland, Südafrika, Kanada, Simbabwe und den Vereinigten Staaten gefunden, wo es zum Teil gediegen als Begleiter von Gold und Platinmetallen vorkommt.
Das Metall wurde 1802 von William Hyde Wollaston entdeckt, der Verfahren zur Verarbeitung von Platinerzen untersuchte. Er benannte es nach dem damals gerade entdeckten Asteroiden Pallas, der zu dieser Zeit als Planet galt. Der Asteroid wiederum wurde nach dem Beinamen der griechischen Göttin Athene benannt.
Palladium ist neben Platin und Rhodium ein wirtschaftlich wichtiges Platinmetall. Die Automobilindustrie ist seit Mitte der 1990er Jahre der größte Palladiumverbraucher, vor allem bei der Herstellung von Drei-Wege-Katalysatoren. Auch in der chemischen Industrie wird es als Katalysator für eine Vielzahl von Reaktionen eingesetzt. Daneben findet es Anwendung in der Elektronik, der Zahnmedizin, in Brennstoffzellen und vielen weiteren Gebieten, etwa in der Schmuckindustrie, wo es mit Gold zu Weißgold legiert wird. Palladium verfügt über einzigartige wasserstoffabsorbierende Eigenschaften und ist in der Lage, bei Raumtemperatur und Atmosphärendruck große Mengen Wasserstoff zu absorbieren.
Die Analyse von Luft- und Staubproben sowie der Vergleich der Palladiumgehalte in aktuellen Schneeproben mit denjenigen aus alten Eisbohrkernen belegen einen Anstieg der Palladiumkonzentration in der Umwelt. Dies ist auf die Zunahme von Bergbau, Verhüttung und Verwendung von Palladium seit den 1990er Jahren zurückzuführen.
Geschichte

Palladium wurde unwissentlich als Bestandteil von Platinlegierungen von den präkolumbianischen Ureinwohnern Ecuadors und Kolumbiens genutzt. Dort wurden eine Reihe von Platinschmuckstücken gefunden, die etwa 85 % Platin, 7 % Eisen und 4,6 % einer Mischung der Platinmetalle Palladium, Rhodium und Iridium sowie Kupfer enthielten.[10]
William Hyde Wollaston entdeckte 1802 das Palladium in einem südamerikanischen Platinerz. Er hatte das Erz in Königswasser gelöst und neutralisierte anschließend die Lösung mit Natriumhydroxid. Danach fällte er das Platin mit Ammoniumchlorid als Ammoniumhexachloroplatinat und trennte dieses ab. Durch Zugabe von Quecksilbercyanid zur übrig gebliebenen Lösung erhielt Wollaston Palladiumcyanid, aus welchem er durch Erhitzen metallisches Palladium erhielt.[11][12]
Bereits 1866 bemerkte Thomas Graham die erstaunliche Speicherfähigkeit des feinverteilten Palladiums für Wasserstoff, das bei Raumtemperatur und Atmosphärendruck etwa das 900-fache seines eigenen Volumens an Wasserstoffgas aufnehmen kann.[13] Dies führte zu der Vermutung, dass Wasserstoff ein sehr leichtflüchtiges Metall sei und dass es sich bei dem Palladium mit dem eingeschlossenen Wasserstoff um eine Legierung dieses flüchtigen Metalls handele.[13]
Francis Clifford Phillips, ein US-amerikanischer Chemiker, entdeckte 1894 die stöchiometrische Oxidation von Ethen zu Acetaldehyd mittels Palladium(II)-chlorid, als er die Oxidation natürlich vorkommender Kohlenwasserstoffe untersuchte.[14] Gegen Ende der 1950er Jahre überführte die Wacker-Chemie die von Phillips gefundene stöchiometrische Reaktion im Wacker-Hoechst-Verfahren in eine katalytische Variante.[15] In dem Verfahren, mit dem pro Jahr Millionen Tonnen von Acetaldehyd und seinem Folgeprodukt Essigsäure produziert wurden, setzte die chemische Industrie erstmals einen Palladiumkatalysator in einer großtechnischen Anwendung ein. Außerdem handelte es sich um das erste großtechnische homogenkatalytische Verfahren.
Ab Ende der 1960er Jahre wurden Palladiumsalze für Kupplungsreaktionen eingesetzt. Daraus entwickelten sich für die organische Chemie wichtige Reaktionen wie die Heck-Reaktion, die Stille-Kupplung, die Suzuki-Kupplung oder die Negishi-Kupplung. Drei der daran beteiligten Forscher, Richard F. Heck, Ei-ichi Negishi und Akira Suzuki, erhielten dafür 2010 den Nobelpreis für Chemie.[16]
Elektrochemische Adsorptionsexperimente im Jahr 1989 durch Martin Fleischmann und Stanley Pons mit dem System Palladium-Deuterium wurden unter dem Begriff „kalte Fusion“ bekannt und gelangten weltweit in die Schlagzeilen. Die vermeintlich durch Palladium ausgelöste „kalte Fusion“ von Deuterium galt für kurze Zeit als wissenschaftliche Sensation mit der Hoffnung, dass dies eine praktisch unerschöpfliche Energiequelle zur Verfügung stellen könnte.[17]
Bei der Entwicklung von Fahrzeugkatalysatoren wurde zu Beginn der 1990er Jahre die Verwendung von Palladium als Ersatz für Platin und Rhodium angestrebt, da der Palladiumpreis zu dieser Zeit im Vergleich deutlich niedriger war. Anfänglich wurde Platin teilweise oder vollständig durch Palladium ersetzt, später wurde der Versuch unternommen, auch Rhodium durch Palladium zu ersetzen. Die Aktivität des Palladiums war jedoch deutlich geringer als die von Platin und Rhodium, sodass größere Mengen davon erforderlich waren. Die ersten kommerziellen Installationen erfolgten im Modelljahr 1995 bei Ford. Die Leistung des Platin-Palladium-Rhodium-Katalysators unter verschiedenen Fahrbedingungen wurde unter anderem durch den Einsatz einer Kombination aus stabilisiertem Ceroxid und weiteren speziellen Washcoat-Komponenten erzielt. In der Folge fand der Palladium zunehmend Verwendung in Drei-Wege-Katalysatoren.[18]
Vorkommen
Große Vorkommen von Palladium wurden in Südafrika im Bushveld-Komplex gefunden, im Stillwater-Komplex in Montana sowie in Ontario, in Russland, Simbabwe und den Philippinen. Metallisches Palladium und palladiumhaltige Legierungen finden sich hauptsächlich in Flusssedimenten als geologische Seifen im Ural, Australien, Äthiopien und in Nord- und Südamerika. Sie sind aber seit Jahrzehnten weitestgehend ausgebeutet.
In den USA wird es vor allem als Beiprodukt von Nickel-Kupfererzen gewonnen. Seit den 2020er Jahren beträgt die jährliche Förderung etwas über 200 Tonnen pro Jahr, etwa 70 Tonnen werden pro Jahr recyclet. In der „Platinmetallgruppe“ (Platin, Palladium, Iridium, Osmium, Rhodium und Ruthenium) verfügt Südafrika mit 63 Millionen Kilogramm von weltweit 70 Millionen Kilogramm über etwa 90 % der weltweiten Reserven.[19]
| Rang (2023) |
Land | 2020 | 2021 | 2022 | 2023 |
|---|---|---|---|---|---|
| 1. | 93.000 | 74.000 | 87.000 | 92.000 | |
| 2. | 73.500 | 80.000 | 73.100 | 71.000 | |
| 3. | 20.000 | 17.000 | 16.100 | 16.000 | |
| 4. | 12.900 | 13.000 | 14.300 | 15.000 | |
| 5. | 14.600 | 14.000 | 10.100 | 9.800 | |
| 6. | Restliche Welt | 2.670 | 2.800 | 2.700 | 2.700 |
| Summe | 216.670 | 200.800 | 203.300 | 206.500 |
Im Jahr 2023 wurden weltweit etwa 70.000 Kilogramm Palladium zurückgewonnen, davon 42.000 Kilogramm in den USA.[20] Ein großer Teil davon stammt aus recycleten Drei-Wege-Katalysatoren. Durch Di-n-hexylsulfid kann Palladium selektiv von anderen Metallen aus salzsauren Lösungen abgetrennt werden.[21]
Eigenschaften
Physikalische Eigenschaften

Palladium ist ein Metall. Es hat unter den Platinmetallen den niedrigsten Schmelzpunkt und ist auch am reaktionsfreudigsten. Bei Raumtemperatur reagiert es jedoch nicht mit Sauerstoff. Es behält an der Luft seinen metallischen Glanz und läuft nicht an. Bei Erhitzung auf etwa 400 °C läuft es aufgrund der Bildung einer Oxidschicht aus Palladium(II)-oxid stahlblau an. Bei etwa 800 °C zersetzt sich das Oxid wieder, wobei die Oberfläche wieder blank wird. Im geglühten Zustand ist es weich und duktil, bei Kaltverformung steigt die Festigkeit und Härte aber schnell an (Kaltverfestigung). Es ist dann deutlich härter als Platin. Bei Temperaturen über 500 °C reagiert Palladium empfindlich auf Schwefel und Schwefelverbindungen wie etwa Gips. Es bildet sich Palladium(II)-sulfid, das zur Versprödung von Palladium und Palladiumlegierungen führt.[22] Der thermische Ausdehnungskoeffizient liegt bei 11,7 × 10−6K−1.[23]
Chemische Eigenschaften
Palladium ist ein Edelmetall, auch wenn es deutlich reaktiver ist als das verwandte Element Platin: Es löst sich in Salpetersäure, wobei Palladium(II)-nitrat Pd(NO3)2 gebildet wird. Es löst sich ebenfalls in Königswasser und in heißer konzentrierter Schwefelsäure. In Salzsäure löst es sich bei Luftzutritt langsam unter Bildung eines Palladiumchloridanions (PdCl42−) auf. Der Edelmetallcharakter von Palladium ist dem des benachbarten Silbers vergleichbar. In Salzsäure verhält es sich aufgrund der Bildung leichtlöslicher Palladiumchloridverbindungen unedel. In feuchter Atmosphäre bei Anwesenheit von Schwefel wird die Oberfläche von Palladium getrübt.
Palladium besitzt die höchste Absorptionsfähigkeit aller Elemente für Wasserstoff. Diese grundlegende Entdeckung geht auf Thomas Graham im Jahre 1869 zurück. Bei Raumtemperatur kann es das 900fache, Palladiummohr (feinverteiltes schwarzes Palladiumpulver) das 1200fache und kolloidale Palladiumlösungen können das 3000fache des eigenen Volumens binden. Die Wasserstoffaufnahme kann als Lösen von Wasserstoff im Metallgitter und als Bildung eines Palladiumhydrids mit der ungefähren Zusammensetzung Pd2H beschrieben werden.[24]
Gewöhnlich nimmt es die Oxidationsstufen +2 und +4 an. Bei Verbindungen der scheinbaren Oxidationsstufe +3 handelt es sich meist um Pd(II)/Pd(IV)-Mischverbindungen. Die dreiwertige Oxidationsstufe von Palladium wurde etwa in Form von NaPdF4 stabilisiert. Dieser Komplex wird unter hohem Druck synthetisiert. Verbindungen vom Elpasolithtyp A2BPdF6, wobei A und B verschiedene Alkalimetalle sind, werden über Festkörperreaktionen erhalten.[25] Diese Verbindungen weisen eine starke Tendenz zur Disproportionierung in Pd(II)/Pd(IV)-Verbindungen auf. Weiterhin wurde dreiwertiges Palladium als relativ stabiles Lanthan-Palladiumoxid der Zusammensetzung LaPdO3 dargestellt.[26]
In neueren Untersuchungen konnte auch sechswertiges Palladium dargestellt werden. Es sind aber auch die Oxidationsstufen 0 [Pd(PR3)4], +1 oder +5 möglich.[27]
Verwendung
Feinverteilt ist Palladium ein exzellenter Katalysator zur Beschleunigung von chemischen Reaktionen, insbesondere Hydrierungen und Dehydrierungen (Addition und Eliminierung von Wasserstoff) sowie zum Cracken von Kohlenwasserstoffen.[28] Der Palladiumbedarf der Automobilindustrie lag 2023 bei etwa 243 Tonnen, gefolgt von einem Bedarf von 41 Tonnen in der chemischen Industrie. Der Bedarf der Schmuckindustrie lag 2023 bei etwa 6,5 Tonnen.[20]
Drei-Wege-Katalysator

Drei-Wege-Katalysatoren eliminieren gleichzeitig Stickoxide, Kohlenstoffmonoxid und Kohlenwasserstoffe aus den Autoabgasen. Die Katalysatoren enthalten oft Platin, Palladium und Rhodium, wobei Palladium die Oxidation von Kohlenstoffmonoxid zu Kohlenstoffdioxid und die Oxidation von Kohlenwasserstoffen zu Kohlenstoffdioxid und Wasser katalysiert.[29][30] Auch Katalysatoren, die nur Palladium und Rhodium enthalten, sind gebräuchlich.
Wacker-Hoechst-Verfahren
Palladium(II)-chlorid wird als Katalysator im Wacker-Hoechst-Verfahren verwendet. Dabei entsteht aus Palladium(II)-chlorid, Ethen und einem Chloridion ein zum Zeise-Salz äquivalenter anionischer Palladium(II)-Ethen-Komplex, das Trichloridoethylenpalladinat(II)-Anion. Der Ethenligand übt einen starken trans-Effekt aus, wodurch die Bindung des trans-ständigen Chloridoliganden geschwächt und die Anlagerung von Wasser unter Verdrängungen eines Chlorid-Ions ermöglicht. Durch diesen Austausch entsteht letztendlich wieder ein anionischer Ethen-Hydroxo-Komplex. Durch Insertion des Ethen-Liganden in die Pd-OH-Bindung und Addition von Wasser entsteht ein 2-Hydroxyethyl-Komplex.[31] Letztendlich entsteht durch Eliminierung von Acetaldehyd und zwei Wasserstoffionen metallisches Palladium, welches durch Kupfer(II)-Salze reoxidiert wird. Die entstehenden Kupfer(I)-Salze lassen sich in Gegenwart von Säure durch Luft reoxidieren.
Die Teilreaktionen lassen sich als gekoppelte Teilreaktionen darstellen:[31]
Hydrierkatalysator in der Fetthärtung
Palladium wird neben anderen Metallen als Katalysator für die katalytische Hydrierung von ungesättigten Ölen und deren Derivaten in der Lebensmittelindustrie und im Energiesektor eingesetzt. Das ursprüngliche Ziel war zunächst, eine pflanzliche Alternative zu Butter zu schaffen. Das Verfahren wird außerdem zur Verbesserung der physikalischen Eigenschaften von Biodiesel eingesetzt.[32]
Lindlar-Katalysator

Ein Lindlar-Katalysator ist ein heterogener Kontakt, der aus auf Calciumcarbonat abgeschiedenem Palladium besteht. Der Palladiumgehalt des Trägerkatalysators beträgt etwa 5 %. Zur Verringerung der katalytischen Aktivität wird das Palladium mit Blei und Chinolin partiell vergiftet. Es wird zur Hydrierung von Alkinen zu Alkenen verwendet, etwa zur Reduktion von Phenylacetylen zu Styrol ohne eine weitere Reduktion zu Alkanen. Der Katalysator ist nach seinem Erfinder Herbert Lindlar benannt.[33]
Rosenmund-Kontakt
Beim Rosenmund-Kontakt handelt es sich um einen durch Reduktion von Palladium(II)-chlorid in Gegenwart von Bariumsulfat hergestellten Katalysator.[34] Er wird in der Rosenmund-Reduktion eingesetzt, einem Hydrierprozess, bei dem ein Acylchlorid zum Aldehyd reduziert wird.
Die Reaktion wurde nach Karl Wilhelm Rosenmund benannt, der sie erstmals 1918 berichtete. Bariumsulfat dient als Metallträger und limitiert die Aktivität des Palladiums und verhindert so eine Reduktion über die Stufe des Aldehyds heraus. Durch Zugabe von Katalysatorgiften wie Thioharnstoff kann die Aktivität des Palladiums weiter vermindert werden.
Sonstige Verwendung in der chemischen Industrie
Palladium findet Verwendung bei der Herstellung von Platintiegeln (80 % Pt, 20 % Pd), die bei chemischen Analysen zum Einsatz kommen. Aufgrund seiner Inertheit verunreinigt es Proben für normale analytische Anwendungen nicht und zeigt bei einer Erwärmung auf über 1000 °C an Luft keinen signifikanten Gewichtsverlust.
Durch heißes Palladiumblech diffundiert Wasserstoff fast ohne Widerstand, wodurch es sich zum Reinigen von Wasserstoff oder Abtrennung von Wasserstoff aus Gasgemischen[35] eignet. In heißem Palladium besitzt Wasserstoff ein hohes Diffusionsvermögen.[36]
Palladium wird als Speichermedium für Wasserstoff verwendet, da es sehr große Mengen Wasserstoff absorbieren kann. Aus diesem Grund wurde es auch als Kathodenmaterial in den Experimenten von Fleischmann und Pons zur Kalten Fusion und zahlreichen Nachfolgeexperimenten verwendet.
Verwendung in der Schmuckindustrie
Palladium wird zur Herstellung von Schmuckwaren, vor allem in Ostasien, verwendet. Es findet Verwendung bei der Herstellung von Armbanduhren, Weißgold (Palladium „entfärbt“ Gold), Anlagemünzen, etwa der Palladium Maple Leaf, Federn für Füllfederhalter und Feinstfolien. Analog zum Blattgold kann Palladium zu 0,5 µm dünnen Folien ausgewalzt werden (Toleranz ±25 % in der Dicke).[37]
Medizinische Verwendung
Zu Beginn der 1980er Jahre wurden palladiumhaltige Gusslegierungen für Metall-Keramik-Restaurationen in der Dentalbranche eingeführt. Der entscheidende Faktor war wirtschaftlicher Natur und resultierte aus dem damaligen Kostenunterschied zwischen Gold und Palladium.[38][39] Zu den ersten Legierungen mit unedlen Metallen für Zahnersatz gehörten Legierungen auf Palladiumbasis. Die geringere Dichte von Palladium-Basislegierungen im Vergleich zu Gold oder Platin führt zu einer hohen Wirtschaftlichkeit, da bei gleichem Palladiumgewicht ein größeres Volumen verarbeitet werden kann. Der schwankende Palladiumpreis und die öffentliche Diskussion um Palladiumallergien führten jedoch dazu, dass nach kostengünstigeren Alternativen auf der Basis anderer Metalle gesucht wurde.[40]
In vitro konnte die biologische Wirksamkeit des Palladiumkomplexes Bis(diphenylphosphino)-2-ethylpyridylpalladium(II)-chlorid gegen Mycobacterium tuberculosis bei gleichzeitiger Hemmung der HIV-1-Protease nachgewiesen werden. Dies würde die Behandlung der HIV, die oft durch eine Koinfektion mit Mycobacterium tuberculosis erschwert wird, erleichtern.[41] Das Radionuklid 103Pd wird als Strahlenquelle bei der Brachytherapie von Prostatakrebs eingesetzt.[42]
Sonstige Verwendung
- Kontaktwerkstoffe für Relais in Kommunikationsanlagen
- Elektrodenwerkstoffe für Brennstoffzellen und Zündkerzen (Luftfahrt)
- Pd/Ni-Legierungen als Ersatz für Gold in der Elektroindustrie (z. B. bei der galvanischen Beschichtung von Kontakten)
- Nanotechnologie (dient als Katalysator, um z. B. molekulare Verbindungen herzustellen)[36]
- p-Kontakt für galliumnitridbasierte Halbleiterbauelemente
- zum Legieren des Werkstoffes Titan, als Grade 7- und Grade 11-Legierung[43]
- in GASFET-Sensoren als Gate
- In der Leiterplattenbeschichtung: Der Kunststoff, teils auch nur Bohrungen (Bekeimung), wird mit Palladium beschichtet, um darauf eine Nickel- oder Kupferschicht aufzubringen.
- 2011 wurde ein extrem widerstandsfähiges, amorphes Material – sogenanntes Metallisches Glas – mit dem Hauptbestandteil (etwa 40 %) Palladium hergestellt, das die für diese Materialklasse typische Sprödigkeit nicht aufweist.[44]
- Hydrodechlorierung von chlororganischen Verbindungen im Grundwasser[45]
Palladiummarkt


Als Teilmarkt hat sich im Edelmetallhandel ein Palladiummarkt entwickelt, auf dem die Export-Staaten das Edelmetall zur Verwendung in der Industrie (Schmuck, Prägeanstalten für Palladiummünzen) und im Handel (Münzhandel, Kreditinstitute) anbieten. Die Bezeichnung für Palladium, das als Handelsobjekt auf dem London Platinum and Palladium Market gehandelt wird, ist XPD. Die Internationale Wertpapierkennnummer ist ISIN XC0009665529.
Verbindungen
Von Palladium sind Verbindungen mit der Oxidationszahl des Metalls von 0, +2, +4 und +5 bekannt. Wie auch von Nickel und Platin sind eine Reihe von Verbindungen (häufig Komplexe) bekannt, in denen das Metall quadratisch-planar von vier Liganden koordiniert ist.[27]
Sicherheitshinweise
Palladium ist in kompakter Form nicht brennbar, jedoch als Pulver oder Staub leicht entzündlich.[9] Als Löschmittel kann Wasser, Kohlenstoffdioxid oder Schaum verwendet werden. Palladium ist ein Schwermetall, Erkenntnisse über eine akute Toxizität sind jedoch nicht verfügbar.
Nachweis
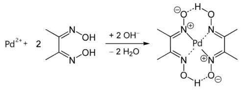
Palladium(II) wird quantitativ durch Dimethylglyoxim aus Lösungen von verdünnten Mineralsäuren bei einem pH-Wert von etwa 2 als Bis(dimethylglyoximato)palladium(II) ausgefällt und löst sich in basischen Lösungen bei einem pH-Wert größer 9.
Der Dimethylglyoxim-Nickel-Komplex hat die gleiche Zusammensetzung wie der Palladium-Komplex, jedoch löst sich dieser in Säuren und erlaubt so die analytische Trennung von Palladium und Nickel.[46]
Philatelistisches
Mit dem Erstausgabetag 6. Juni 2019 gab die Deutsche Post AG in der Serie Mikrowelten ein Postwertzeichen im Nennwert von 85 Eurocent heraus. Das Markenbild zeigt eine Mikrofotografie mit 230facher Vergrößerung des kristallinen Palladiums. Der Entwurf stammt von der Grafikerin Andrea Voß-Acker aus Wuppertal.[47]
Weblinks
- Literatur von und über Palladium im Katalog der Deutschen Nationalbibliothek
Einzelnachweise
- ↑ Harry H. Binder: Lexikon der chemischen Elemente. S. Hirzel Verlag, Stuttgart 1999, ISBN 3-7776-0736-3.
- ↑ Die Werte für die Eigenschaften (Infobox) sind, wenn nicht anders angegeben, aus www.webelements.com (Palladium) entnommen.
- ↑ Standard Atomic Weights | Commission on Isotopic Abundances and Atomic Weights. In: ciaaw.org. Abgerufen am 6. Februar 2024 (englisch).
- ↑ a b c d e Eintrag zu Palladium in Kramida, A., Ralchenko, Yu., Reader, J. und NIST ASD Team (2019): NIST Atomic Spectra Database (ver. 5.7.1). Hrsg.: NIST, Gaithersburg, MD. doi:10.18434/T4W30F (physics.nist.gov/asd). Abgerufen am 11. Juni 2020.
- ↑ a b c d Eintrag zu palladium bei WebElements, www.webelements.com, abgerufen am 11. Juni 2020.
- ↑ N. N. Greenwood, A. Earnshaw: Chemie der Elemente. 1. Auflage. VCH, Weinheim 1988, ISBN 3-527-26169-9, S. 1469.
- ↑ Robert C. Weast (Hrsg.): CRC Handbook of Chemistry and Physics. CRC (Chemical Rubber Publishing Company), Boca Raton 1990, ISBN 0-8493-0470-9, S. E-129 bis E-145. Werte dort sind auf g/mol bezogen und in cgs-Einheiten angegeben. Der hier angegebene Wert ist der daraus berechnete maßeinheitslose SI-Wert.
- ↑ a b Yiming Zhang, Julian R. G. Evans, Shoufeng Yang: Corrected Values for Boiling Points and Enthalpies of Vaporization of Elements in Handbooks. In: Journal of Chemical & Engineering Data. 56, 2011, S. 328–337, doi:10.1021/je1011086.
- ↑ a b c Eintrag zu Palladium in der GESTIS-Stoffdatenbank des IFA, abgerufen am 25. April 2017. (JavaScript erforderlich)
- ↑ Christopher W. Corti: Jewellery Alloys – Past, Present and Future., Keynote at the Jewellery Materials Congress, 8. und 9. July 2019, Goldsmiths’ Hall, London.
- ↑ William Hyde Wollaston: On a New Metal, Found in Crude Platina. In: Phil. Trans. R. Soc. Lond. 94, 1. Januar 1804, S. 419–430; doi:10.1098/rstl.1804.0019 (Volltext).
- ↑ William Hyde Wollaston: On the Discovery of Palladium; With Observations on Other Substances Found with Platina. In: Phil. Trans. R. Soc. Lond. 95, 1. Januar 1805, S. 316–330; doi:10.1098/rstl.1805.0024 (Volltext).
- ↑ a b Thomas Graham: On the relation of hydrogen to palladium. In: Proceedings of the Royal Society of London. 17, 1869, S. 212–220, doi:10.1098/rspl.1868.0030.
- ↑ Francis C. Phillips: Untersuchungen über die chemischen Eigenschaften von Gasen. II. Mitteilung. Qualitative Reaktionen. In: Zeitschrift für anorganische Chemie. 6.1, 1894, S. 229–254, doi:10.1002/zaac.18940060131.
- ↑ Reinhard Jira: Acetaldehyd aus Ethylen – ein Rückblick auf die Entdeckung des Wacker-Verfahrens. In: Angewandte Chemie. 121, 2009, S. 9196–9199, doi:10.1002/ange.200903992.
- ↑ The Nobel Prize in Chemistry 2010. In: nobelprize.org. 6. Februar 2024, abgerufen am 6. Februar 2024 (englisch).
- ↑ Frank Close: Das heisse Rennen um die kalte Fusion. Springer, Basel, 1990, ISBN 978-3-0348-6141-0, S. 90–156.
- ↑ Ronald M. Heck, Robert J. Farrauto, Suresh T. Gulati: Catalytic Air Pollution Control: Commercial Technology. John Wiley & Sons, 2009, ISBN 978-0-470-27503-0, S. 136–138.
- ↑ a b Ruth F. Schulte: Platinum-Group Metals. In: pubs.usgs.gov. 1. Januar 2022, abgerufen am 6. Februar 2024.
- ↑ a b Platinum Essentials May 2024. Updated Palladium supply/demand outlook (PDF; 0,4 MB) auf platinuminvestment.com
- ↑ Patent US3985552A: Separation of platinum group metals and gold. Angemeldet am 1. August 1975, veröffentlicht am 12. Oktober 1976, Anmelder: National Institute for Metallurgy, Erfinder: Roderick Ivan Edwards.
- ↑ Günther Rau, Reinhold Ströbel: Die Metalle: Werkstoffkunde mit ihren chemischen und physikalischen Grundlagen. 1999, ISBN 3-929360-44-6, S. 66.
- ↑ John Arblaster: Selected Values of the Crystallographic Properties of Elements. Materials Park, Ohio, 2018, ISBN 978-1-62708-155-9, S. 355.
- ↑ J. G. Aston, Paul Mitacek, Jr.: Structure of hydrides of Palladium. In: Nature. (London, United Kingdom), 195, 1962, S. 70–71.
- ↑ Alain Tressaud, Slimane Khairoun, Jean Grannec, Jean Michel Dance, P. Hagenmuller: Palladium compounds with +III oxidation state. In: Journal of Fluorine Chemistry. 29, 1985, S. 39, doi:10.1016/S0022-1139(00)83274-1.
- ↑ Seung-Joo Kim, Sylvain Lemaux, Gérard Demazeau, Jong-Young Kim, Jin-Ho Choy: LaPdO3: The First Pd(III) Oxide with the Perovskite Structure. In: Journal of the American Chemical Society. 123, 2001, S. 10413–10414, doi:10.1021/ja016522b.
- ↑ a b A. F. Holleman, E. Wiberg, N. Wiberg: Lehrbuch der Anorganischen Chemie. 102. Auflage. Walter de Gruyter, Berlin 2007, ISBN 978-3-11-017770-1, S. 1726–1739.
- ↑ Jie Jack Li, Gordon W. Gribble: Palladium in Heterocyclic Chemistry: A Guide for the Synthetic Chemist. 2007, ISBN 978-0-08-045117-6.
- ↑ Guido Kickelbick: Chemie für Ingenieure. Pearson Deutschland, 2008, ISBN 978-3-8273-7267-3, S. 155 (eingeschränkte Vorschau in der Google-Buchsuche).
- ↑ Dusan Gruden: Umweltschutz in der Automobilindustrie: Motor, Kraftstoffe, Recycling. Vieweg-Teubner, Wiesbaden, 2008, ISBN 978-3-8348-0404-4, S. 150–151.
- ↑ a b Dirk Steinborn: Grundlagen der metallorganischen Komplexkatalyse. Teubner, Wiesbaden 2007, ISBN 978-3-8351-0088-6, S. 283–292.
- ↑ M. L. Spiekermann, T. Seidensticker: Catalytic processes for the selective hydrogenation of fats and oils: reevaluating a mature technology for feedstock diversification. In: Catalysis Science & Technology. 14.16, 2024, S. 4390–4419, doi:10.1039/d4cy00488d.
- ↑ Herbert Lindlar: Ein neuer Katalysator für selektive Hydrierungen. In: Helvetica Chimica Acta. 35.2, 1952, S. 446–450. doi:10.1002/hlca.19520350205.
- ↑ Karl W. Rosenmund: Über eine neue Methode zur Darstellung von Aldehyden. 1. Mitteilung. In: Berichte der deutschen chemischen Gesellschaft. 51, 1918, S. 585–593, doi:10.1002/cber.19180510170.
- ↑ Volker Höllein: Palladiumbasierte Kompositmembranen zur Ethylbenzol- und Propan-Dehydrierung (PDF; 7,7 Mb). Dissertation. Friedrich-Alexander-Universität Erlangen-Nürnberg, 2004.
- ↑ a b Helmholtz-Zentrum für Umweltforschung – UFZ: Chancen und Risiken von nanoskaligen Katalysatoren zur Wasserreinigung. (PDF; 102 kB), Januar 2009.
- ↑ Pd-Folie. In: goodfellow.com. Ehemals im (nicht mehr online verfügbar); abgerufen am 7. Februar 2020. (Seite nicht mehr abrufbar. Suche in Webarchiven)
- ↑ Alan B. Cart, William A. Brantley: New High-Palladium Casting Alloys: Part 1. Overview and Initial Studies. In: International Journal of Prosthodontics. 4.3, 1991, PMID 1810318.
- ↑ gbu-net.de: Palladium als Zahnfüllungsmaterial ( vom 2. November 2012 im Internet Archive).
- ↑ H. Hesse, M. Özcan: A review on current additive manufacturing technologies and materials used for fabrication of metal-ceramic fixed dental prosthesis. In: Journal of Adhesion Science and Technology. 35.23, 2021, S. 2529–2546, doi:10.1080/01694243.2021.1899699.
- ↑ Ntombenhle H. Gama, Afag Y. F. Elkhadir, Bhavna G. Gordhan, Bavesh D. Kana, James Darkwa, Debra Meyer: Activity of phosphino palladium(II) and platinum(II) complexes against HIV-1 and Mycobacterium tuberculosis. In: BioMetals. 29, 2016, S. 637–650, doi:10.1007/s10534-016-9940-6.
- ↑ J. C. Blasko u. a.: Palladium-103 brachytherapy for prostate carcinoma. In: International Journal of Radiation Oncology, Biology, Physics. 46.4, 2000, S. 839–850, doi:10.1016/s0360-3016(99)00499-x, PMID 10705004.
- ↑ metaltec.de: Titanlegierung Ti Grade 7 ( vom 26. Juli 2009 im Internet Archive), abgerufen am 27. Mai 2013.
- ↑ Brian Wang: Metallic Glass stronger and tougher than steel follow up. In: nextbigfuture.com. 11. Januar 2011, abgerufen am 6. Februar 2024 (englisch).
- ↑ Detlev Fritsch, Karsten Kuhr, Katrin Mackenzie, Frank-Dieter Kopinke: Hydrodechlorination of chloroorganic compounds in ground water by palladium catalysts. In: Catalysis Today. 82, 2003, S. 105–118, doi:10.1016/S0920-5861(03)00208-6.
- ↑ Kálmán Burger, David Dyrssen, Lars Johansson, Bertil Norén, Jon Munch-Petersen: On the Complex Formation of Palladium with Dimethylglyoxime. In: Acta Chemica Scandinavica. 17, 1963, S. 1489–1501, doi:10.3891/acta.chem.scand.17-1489.
- ↑ admin: Bundesfinanzministerium-Serie "Mikrowelten" Palladium. In: bundesfinanzministerium.de. Abgerufen am 6. Februar 2024.


