Paraldehyd

Strukturformel
Struktur des Paraldehyds
Strukturformel des Trimers von Acetaldehyd ohne Stereochemie
Allgemeines
Freiname Paraldehyd
Andere Namen
  • 2,4,6-Trimethyl-1,3,5-trioxan
  • Paracetaldehyd
Summenformel C6H12O3
Kurzbeschreibung

farblose Flüssigkeit mit süßlichem Geruch[1]

Externe Identifikatoren/Datenbanken
CAS-Nummer 123-63-7
EG-Nummer 204-639-8
ECHA-InfoCard 100.004.219
PubChem 31264
ChemSpider 21106173
DrugBank DB09117
Wikidata Q424342
Arzneistoffangaben
ATC-Code

N05CC05

Wirkstoffklasse

Sedativum, Hypnotikum

Eigenschaften
Molare Masse 132,16 g·mol−1
Aggregatzustand

flüssig

Dichte

0,99 g·cm−3 (20 °C)[1]

Schmelzpunkt

12 °C[1]

Siedepunkt

124 °C[1]

Dampfdruck
  • 10,3 hPa (20 °C)[1]
  • 18,8 hPa (30 °C)[1]
  • 32,8 hPa (40 °C)[1]
  • 55 hPa (50 °C)[1]
Löslichkeit
  • leicht in Wasser (120 g·l−1 bei 20 °C)[1]
  • mischbar mit Ethanol, Chloroform, Ether[2]
Brechungsindex

1,405 (20 °C)[3]

Sicherheitshinweise
Bitte die Befreiung von der Kennzeichnungspflicht für Arzneimittel, Medizinprodukte, Kosmetika, Lebensmittel und Futtermittel beachten
GHS-Gefahrstoffkennzeichnung aus Verordnung (EG) Nr. 1272/2008 (CLP),[4] ggf. erweitert[1]
Gefahrensymbol

Achtung

H- und P-Sätze H: 226
P: 210[1]
Toxikologische Daten

2711 mg·kg−1 (LD50Ratteoral)[5]

Wenn nicht anders vermerkt, gelten die angegebenen Daten bei Standardbedingungen (0 °C, 1000 hPa). Brechungsindex: Na-D-Linie, 20 °C

Paraldehyd ist eine chemische Verbindung. Es ist das Trimer des Acetaldehyd. Es handelt sich um ein cyclisches Vollacetal. Entsprechend ist das Molekül instabil, schon gegenüber verdünnten Säuren. Paraldehyd ist ein Wirkstoff aus der Gruppe der Sedativa mit beruhigenden, schlaffördernden und krampflösenden Eigenschaften. Es wird heutzutage kaum mehr eingesetzt.

Das 1829 von Wiedenbusch entdeckte Paraldehyd wurde 1913 in London von H. Noel und H. S. Soutarr[6] zusammen mit einer Äther-Kochsalz-Lösung für die intravenöse Narkose benutzt.[7]

Gewinnung und Darstellung

Paraldehyd entsteht durch Cyclisierung von drei Molekülen Acetaldehyd in Gegenwart von Schwefelsäure. Die Produktbildung der Cyclisierungsreaktion ist temperaturabhängig. Bei Raumtemperatur ist die Bildung des Trimers bevorzugt. Bei niedrigeren Temperaturen um −10 °C entsteht eher das Tetramer Metaldehyd.[8]

Synthese von Paraldehyd und Metaldehyd
Synthese von Paraldehyd und Metaldehyd

Die Trimerisungsreaktion verläuft exotherm, wobei eine molare Reaktionsenthalpie von −113 kJ·mol−1 abgeschätzt werden kann.[9]

Eigenschaften

Physikalische Eigenschaften

Paraldehyd ist eine farblose Flüssigkeit mit einem durchdringenden etherartigen Geruch.[9] Sie ist mit typischen organischen Lösungsmitteln mischbar sowie in Wasser gut löslich.[9] Die Löslichkeit in Wasser sinkt dabei mit steigender Temperatur.

Zusammenstellung der wichtigsten thermodynamischen Eigenschaften
Eigenschaft Typ Wert [Einheit] Bemerkungen
Standardbildungsenthalpie ΔfH0liquid
ΔfH0gas
−681,8 kJ·mol−1[10]
−636 kJ·mol−1[10]
als Flüssigkeit
als Gas
Verbrennungsenthalpie ΔcH0liquid −3394,2 kJ·mol−1[10] als Flüssigkeit
Wärmekapazität cp 257,3 J·mol−1·K−1 (25 °C)[11]
1,947 J·g−1·K−1 (25 °C)[11][9]
als Flüssigkeit
Kritische Temperatur Tc 563 K[12]
Schmelzenthalpie ΔfH 13,52 kJ·mol−1[13]
Verdampfungsenthalpie ΔVH 41,5 kJ·mol−1[14] beim Normaldrucksiedepunkt
Viskosität 1,31 mPa·s−1[9] bei 20 °C
Brechungsindex 1,4049[9] bei 20 °C

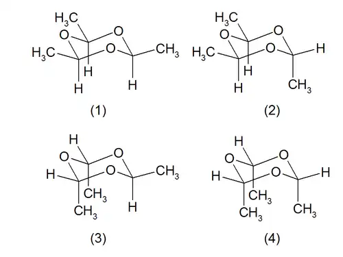
Stereochemie

Für die Molekülstruktur können zwei Stereoisomere formuliert werden, die als cis- (1) und trans-Paraldehyd (2) bekannt sind. Die beiden vorigen stehen im Gleichgewicht mit ihren jeweiligen Konformationsisomeren (4) bzw. (3), die allerdings aus sterischen Gründen, da sich hier die Methylgruppen gegenseitig behindern würden, sehr instabil sind.[15][16]

Stereoisomere von Paraldehyd
Stereoisomere von Paraldehyd

Sicherheitstechnische Kenngrößen

Paraldehyd bildet leicht entzündliche Dampf-Luft-Gemische. Die Verbindung hat einen Flammpunkt von 27 °C.[1] Der Explosionsbereich liegt zwischen 1,3 Vol.‑% (70 g/m³) als untere Explosionsgrenze (UEG) und 17 Vol.‑% als obere Explosionsgrenze (OEG).[17][1] Die Grenzspaltweite wurde mit 1,01 mm bestimmt.[1][17] Es resultiert damit eine Zuordnung in die Explosionsgruppe IIA.[1] Die Zündtemperatur beträgt 201 °C.[1][17] Der Stoff fällt somit in die Temperaturklasse T3.

Sicherheitshinweise

Die Lagerung ist auf Grund der Instabilität schwierig. Man setzt ein Antioxidans zu und lagert fern von Licht und Wärme bzw. in Braunglasflaschen. Die angebrochenen Mengen sollten möglichst klein gehalten und schnell verbraucht werden.

Nachweis

  • Der Aldehyd reagiert in der Tollensprobe mit einem Silberdiamminkomplex und bildet einen Silberspiegel aus elementarem Silber.
  • In der Iodoformreaktion lässt sich die CH3-CO-Gruppe nachweisen.

Für beide Reaktionen ist eine saure Hydrolyse des Paraldehyds zu Acetaldehyd erforderlich.

Paraldehyd wird in Arzneibüchern monographiert.

Siehe auch

Einzelnachweise

  1. a b c d e f g h i j k l m n o p Eintrag zu 2,4,6-Trimethyl-1,3,5-trioxan in der GESTIS-Stoffdatenbank des IFA, abgerufen am 9. Juni 2020. (JavaScript erforderlich)
  2. David R. Lide (Hrsg.): CRC Handbook of Chemistry and Physics. 90. Auflage. (Internet-Version: 2010), CRC Press / Taylor and Francis, Boca Raton FL, Physical Constants of Organic Compounds, S. 3-410.
  3. Datenblatt Paraldehyde bei Sigma-Aldrich, abgerufen am 18. April 2011 (PDF).
  4. Eintrag zu 2,4,6-trimethyl-1,3,5-trioxane in der Datenbank ECHA CHEM der Europäischen Chemikalienagentur (ECHA), abgerufen am 1. Februar 2016. Hersteller bzw. Inverkehrbringer können die harmonisierte Einstufung und Kennzeichnung erweitern.
  5. Datenblatt Paraldehyd bei Merck, abgerufen am 18. Januar 2011.
  6. Vgl. H. Noel, H. S. Soutarr: The anaesthetic effects of intravenous injections of paraldehyde. In: Annales of Surgery. Band 57, 1913, S. 64 ff.
  7. H. Orth, I. Kis: Schmerzbekämpfung und Narkose. In: Franz Xaver Sailer, Friedrich Wilhelm Gierhake (Hrsg.): Chirurgie historisch gesehen. Anfang – Entwicklung – Differenzierung. Dustri-Verlag, Deisenhofen bei München 1973, ISBN 3-87185-021-7, S. 1–32, hier: S. 16.
  8. H.P. Latscha; U. Kazmaier; H.A. Klein: Chemie für Biologen, Springer Verlag 2005, ISBN 3-540-21161-6, S. 515.
  9. a b c d e f M. Eckert, G. Fleischmann, R. Jira, H.M. Bolt, K. Golka: Acetaldehyd, in: Ullmanns Enzyklopädie der Technischen Chemie, Wiley-VCH Verlag GmbH & Co. KGaA, Weinheim 2012; doi:10.1002/14356007.a01_031.pub2.
  10. a b c Pihlaja, K.; Tuomi, M.: Bond-Bond interactions in organic oxygen compounds. Part II. Anomalous stablization in cis-2,4,6-trimethyl-1,3,5-trioxane in Suom. Kemistil. 43 (1970) 224–226.
  11. a b Clegg, G.A.; Melia, T.P.: Thermodynamics of polymerization of heterocyclic compounds. Part IV. The heat capacity, entropy, enthalpy and free energy of paraldehyde in Makromol. Chem. 123 (1969) 194–202.
  12. Hollmann, R.: Physical and natural equilibria between the modifications of aldehyde in Z. Phys. Chem., Stoechiom. Verwandtschaftsl. 43 (1903) 129–159.
  13. E. S. Domalski, E. D. Hearing: Heat Capacities and Entropies of Organic Compounds in the Condensed Phase. Volume III. in: J. Phys. Chem. Ref. Data 25, 1996, S. 1–525; doi:10.1063/1.555985.
  14. R. M. Stephenson, S. Malanowski: Handbook of the Thermodynamics of Organic Compounds. Springer 1987, ISBN 94-010-7923-4, doi:10.1007/978-94-009-3173-2.
  15. Kewley, R.: Microwave spectrum of paraldehyde. In: Canadian Journal of Chemistry. 48 (5), 1970, S. 852–855, doi:10.1139/v70-136.
  16. D. C. Carpenter, L. O. Brockway: The Electron Diffraction Study of Paraldehyde. In: Journal of the American Chemical Society. 58, 1936, S. 1270–1273, doi:10.1021/ja01298a053.
  17. a b c E. Brandes, W. Möller: Sicherheitstechnische Kenngrößen. Band 1: Brennbare Flüssigkeiten und Gase. Wirtschaftsverlag NW – Verlag für neue Wissenschaft, Bremerhaven 2003.