Phasensprung

Der Phasensprung ist ein physikalischer Vorgang, bei dem sich die Phase einer Welle abrupt ändert. Im nebenstehenden Bild beträgt der Phasensprung bei A etwa 90°, bei B und D je etwa 180°.

Phasensprünge bei Sinuswellen

Phasensprünge sind für Interferenzphänomene unterschiedlichster Wellenarten von Bedeutung, insbesondere für die Bildung von stehenden Wellen in geschlossenen Räumen.

Allgemeines

Ist nl, ns < ng, tritt an A ein Phasensprung auf, an B jedoch keiner (bei s-Polarisation).

Phasensprünge beliebiger Werte können spontan in einer Lichtquelle entstehen. In Glühlampen treten sie sehr häufig auf, in Lasern sehr selten (siehe Kohärenzlänge).

Phasensprünge elektromagnetischer Wellen treten häufig bei Reflexion an bestimmten Grenzflächen auf. Darauf wird weiter unten näher eingegangen. Bei einer unstetigen Änderung der Wellenimpedanz beispielsweise an der Verbindungsstelle einer elektrischen Leitung (Koaxialkabel) mit einer Antenne gilt Vergleichbares.

Für quantenmechanische Wellenfunktionen ergibt sich ein Phasensprung von bei der Reflexion an einem Potentialwall.

Phasensprung bei elektromagnetischen Wellen

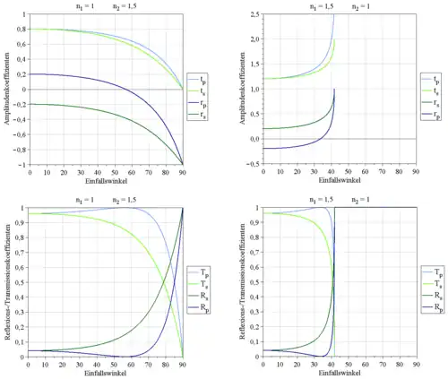
Amplitudenverhältnisse , (oben) und Reflexions-/ Transmissionsvermögen , (unten) für die Grenzfläche Luft und Glas ( und ). Auf Grenzfläche einfallendes Licht von der Luftseite (links) und von der Glasseite (rechts).

Den wichtigsten Fall stellt die Reflexion an einer Grenzfläche dar. Das Verhältnis der Amplitude der elektrischen Feldstärke der einfallenden und der reflektierten elektromagnetischen Welle wird durch die fresnelschen Formeln gegeben. Ist dieses Verhältnis reell und negativ (Amplitudenumkehr), so sind die einfallende und die reflektierte Welle um gegeneinander verschoben (λ = Wellenlänge). Das entspricht einer Phasenverschiebung um .

Das ist der Fall beim Übergang zum optisch dichteren Medium oder einer Metalloberfläche bei senkrechter Polarisation und bei paralleler Polarisation für Einfallswinkel ab dem Brewster-Winkel. Beim Übergang zum optisch dünneren Medium, z. B. am Übergang von Glas zu Luft, hingegen tritt der Phasensprung nur bei paralleler Polarisation für Einfallswinkel bis zum Brewster-Winkel auf.

Da der magnetische Feldstärkevektor senkrecht auf dem elektrischen Feldstärkevektor und der Ausbreitungsrichtung der elektromagnetischen Welle steht, gilt hier genau das Umgekehrte: Wenn das elektrische Feld einen Phasensprung von 180° erfährt, weist das magnetische Feld keinen Phasensprung auf und umgekehrt.

Wie in der Abbildung rechts zu erkennen, tritt für den transmittierten Strahl niemals eine Amplitudenumkehr auf (das Amplitudenverhältnis ist stets positiv), weshalb der transmittierte Strahl keinen Phasensprung an der Grenzfläche erfährt.

Phasensprung bei Wasserwellen

Partielle Clapotis

Im Gegensatz zur nahezu perfekten Reflexion an einer vertikalen Wand (Ufermauer), bei der kein nennenswerter Phasensprung auftritt, ist bei geneigten Uferböschungen (geneigten Wänden) die Größe des Phasensprunges (= Phasendifferenz zwischen einfallender und reflektierter Welle) sowohl vom Neigungswinkel und der Oberflächenbeschaffenheit der Wand als auch von der Länge und der Höhe der Wellen abhängig. Unter diesen Umständen überlagern sich einfallende und reflektierte Wellen zu partiell stehenden Wellen (partielle Clapotis). Relativ steile Uferböschungen vorausgesetzt, werden Phasensprünge umso größer, je kürzer die Wellen und je geringer die Böschungsneigung ist. Für Phasensprünge mit (180°) befindet sich ein Schwingungsknoten etwa an der Böschungsoberfläche, vergl. nebenstehende Abbildung. Phasensprünge mit (180°) wurden für ebene Böschungsneigungen 1:n ≤ 1:3 und Wellenfrequenzen f ≥ 0,6 Hz ermittelt. Der Phasensprung tritt auch als Phasenwinkel eines als komplex definierten Reflexionskoeffizienten in Erscheinung.

Literatur

Büsching, Fritz: Phasensprung bei der partiellen Reflexion irregulärer Wasserwellen an steilen Uferböschungen, 1. HANSA – International Maritime Journal - C 3503 E, 147, H.5 p.87-98, 2010. 2. BINNENSCHIFFFAHRT - C 4397 D, 65, H.9 p.73-77 & H.10 p.64-69, 2010.

Büsching, Fritz.: Phase Jump due to Partial Reflection of Irregular Water Waves at Steep Slopes, Coastlab 10, Barcelona, Spain, 28th-30th September, 1st October 2010, Paper No. 67, p.1-9.

Siehe auch