Phillips-Ladenburg-Benzimidazol-Synthese
Die Phillips-Ladenburg-Benzimidazol-Synthese ist eine Namensreaktion der organischen Chemie. Sie dient der Synthese von Benzimidazolen und dessen Derivaten. Es handelt sich um eine Kondensationsreaktion, bei der es zur Abspaltung von Wasser kommt.
Die Reaktion wurde nach dem deutschen Chemiker Albert Ladenburg (1842–1911) und M. A. Phillips benannt.[1]
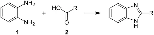
Übersichtsreaktion
Bei der Phillips-Ladenburg-Benzimidazol-Synthese reagiert 1,2-Diaminobenzol (o-Phenylendiamin) 1 mit dem Edukt 2. Bei dem Rest des zweiten Eduktes handelt es sich um eine Alkylgruppe. Als Produkt wird ein Benzimidazolderivat erhalten.

Reaktionsmechanismus
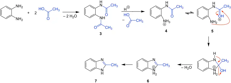
Der nachfoldgnde Mechanismus wird in der Literatur[2] beschrieben. Er wird beispielhaft an der Kondensation von 1,2-Diaminobenzol mit Essigsäure erläutert.

Das 1,2-Diaminobenzol reagiert mit der Essigsäure unter Abspaltung von Wasser zu dem Diamid 3. Durch die Zugabe einer Mineralsäure reagiert 3 weiter zum Ammoniumsalz 4, das mit dem Oxoniumsalz 5 im Gleichgewicht steht. Durch mehrfache Elektronenumlagerung kommt es dann unter Abspaltung vom Wasser zur Bildung der Zwischenstufe 6. Durch Deprotonierung entsteht dann das Benzimidazolderivat 7.
Anwendungsbereich
Benzimidazolderivate sind in der Pharmazie von großem Interesse. Der Grund dafür ist, dass sie in vielen unterschiedlichen medizinischen Drogen vorkommen. So werden sie zum Beispiel in Medikamenten gegen Krebs, Gerinnungsstörung, Entzündungen, Diabetik und vielen mehr genutzt.[3][4]
Einzelnachweise
- ↑ A. Ladenburg: Derivate von Diaminen In: Berichte der deutschen chemischen Gesellschaft 8, 1875, S. 677, doi: 10.1002/cber.187500801209.
- ↑ Zerong Wang: Comprehensive Organic Name Reactions and Reagents, Wiley, 2010, ISBN 9780470638859, S. 2197–2199, doi:10.1002/9780470638859.
- ↑ D. Singh Negi, G. Kumar, M. Singh und N. Singh: Antibacterial Activity of Benzimidazole Derivatives: A Mini Review In: Research & Reviews: Journal of Chemistry 6, 2017, S. 18.
- ↑ N. Singh: Benzimidazole: A short review of their antimicrobial activities In: International Current Pharmaceutical Journal 1, 2012, S. 119.