Polyphenylenether
| Strukturformel | |||||||
|---|---|---|---|---|---|---|---|
| |||||||
| Allgemeines | |||||||
| Name | Polyphenylenether | ||||||
| Andere Namen |
| ||||||
| CAS-Nummer | 25134-01-4 | ||||||
| Monomer | 2,6-Xylenol | ||||||
| Summenformel der Wiederholeinheit | C8H8O | ||||||
| Molare Masse der Wiederholeinheit | 120,15 g·mol−1 | ||||||
| Art des Polymers | |||||||
| Eigenschaften | |||||||
| Aggregatzustand |
fest | ||||||
| Dichte |
1,06 g·cm−3 [1] | ||||||
| Glastemperatur |
215 °C[2] | ||||||
| Elastizitätsmodul |
2000 MPa (Vestoran 1090)[3] | ||||||
| Chemische Beständigkeit |
verdünnte Säuren, starke Laugen, Alkohol, Detergenzien[4] | ||||||
| Sicherheitshinweise | |||||||
| |||||||
| Soweit möglich und gebräuchlich, werden SI-Einheiten verwendet. Wenn nicht anders vermerkt, gelten die angegebenen Daten bei Standardbedingungen. | |||||||
Polyphenylenether (Kurzzeichen PPE, auch Poly(oxy-2,6-dimethyl-1,4-phenylen) oder Polyether, früher Polyphenylenoxid, PPO genannt) ist ein hochtemperaturbeständiger, thermoplastischer Kunststoff mit der allgemeinen Formel (C8H8O)n. Technisch wird es durch oxidative Kupplung von 2,6-Dimethylphenol hergestellt. In reiner Form wird PPE kaum genutzt, es wird überwiegend als Blend mit Polystyrol, schlagzähem Styrol-Butadien-Copolymer oder Polyamid eingesetzt.
Geschichte
Polyphenylenether wurde 1956 von Allan S. Hay entdeckt und seit 1960 von General Electric in den Markt eingeführt. Die auch gebräuchliche Bezeichnung Polyphenylenoxid (PPO) ist falsch, da es sich nicht um ein Oxid, sondern einen Ether handelt.
Er galt zwar als einer der kostengünstigsten hochtemperaturbeständigen Kunststoffe, die Verarbeitung war aber schwierig und die Schlagzähigkeit und Temperaturbeständigkeit ließen mit der Zeit nach. Durch Mischung mit Polystyrol in beliebigem Verhältnis konnten die Nachteile kompensiert und zudem die Eigenschaften gezielt modifiziert werden. Ende der 1960er Jahre kamen dann modifizierte PPE-Produkte unter dem Handelsnamen Noryl auf den Markt.[6]
Eigenschaften
PPE ist ein amorpher Hochleistungskunststoff. Die Glasübergangstemperatur liegt bei 215 °C, kann aber durch die Mischung mit Polystyrol in einem weiten Bereich modifiziert werden. Durch die Modifizierung und Beimischung von Füllstoffen wie Glasfasern lassen sich die Eigenschaften in einem weiten Bereich modifizieren.
Herstellung
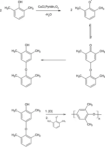
Setzt man 2,6-Xylenol mit Kupfer(I)- oder Kupfer(II)-chlorid in Pyridin unter Anwesenheit von Luftsauerstoff um, so entsteht der Polyphenylether.[7] Im Falle des Kupfer(I)-chlorids wird dieses zunächst durch den Luftsauerstoff zum Kupfer(II)-chlorid oxidiert. Anschließend findet eine Einelektronenübertragung vom 2,6-Xylenol auf das Kupfer(II)-chlorid statt, welches zu Kupfer(I)chlorid reduziert wird. Der Luftsauerstoff oxidiert die reduzierte Spezies wieder zum Kupfer(II)-chlorid. Zwei 2,6-Xylenolradikale können nun dimerisieren. Das entstandene Dimer kann durch Einelektronenübertragung ein Radikal bilden und sich mit einem weiteren 2,6-Xylenolradikal umsetzen; diese Reaktion kann sich n-mal wiederholen und wird oxidative Kupplung genannt. Da bei dieser Reaktion Wasser als Kondensationsprodukt entsteht, handelt es sich um eine Polykondensationsreaktion.
Verwendung

PPE-Blends finden Einsatz für Formteile im Elektronik-, Haushalts- und Fahrzeugsektor, bei denen es auf hohe Wärmeformbeständigkeit, Dimensionsstabilität und Maßhaltigkeit ankommt. Aber auch in der Medizintechnik – etwa für häufig zu sterilisierende Instrumente aus Kunststoff – werden sie eingesetzt.[8] Die PPE-Blends zeichnen sich durch Heißwasserbeständigkeit bei geringer Wasseraufnahme, hohe Schlagzähigkeit, halogenfreien Brandschutz und geringe Dichte aus. Die Verarbeitung erfolgt durch Spritzgießen oder Extrusion bei einer Verarbeitungstemperatur je nach Typ zwischen 260 °C und 300 °C. Die Oberfläche kann bedruckt, heißgeprägt, lackiert oder metallisiert werden. Verschweißungen sind mittels Heizelement-, Reib- oder Ultraschallschweißen möglich. Es kann mit halogenierten Lösemitteln oder verschiedenen Klebstoffen verklebt werden.
Handelsnamen
Handelsnamen von Polyphenylenether sind unter anderem:[9][10][11]
- Artley (PPE + PE) von Sumitomo Chemical
- Gecet (PPE + EPS) von Huntsman
- Iupiace (PPE + PE) von Mitsubishi Engineering-Plastics
- Lemalloy (PPE + PA) von Mitsubishi Engineering-Plastics
- Luranyl (PPE + PS) von ROMIRA[12]
- Noryl (PPE + PS) von SABIC
- Noryl EF (PPE + EPS) von SABIC
- Noryl GTX (PPE + PA) von SABIC
- Suncolor PPE (PPE + EPS) von Sunpor
- Ultranyl (PPE + PA) von BASF
- Vestoran (PPE + PS) von Evonik Degussa, früher Chemische Werke Hüls
- Xyron (PPE + PS), (PPE + PA), (PPE + PP), (PPE + PPS), (PPE Pulver) von Asahi Kasei
Normen
- ASTM D 4349–1996 Polyphenylenether-(PPE)Materialien
- DIN EN ISO 28941-1 Kunststoffe – Polyphenylenether (PPE)-Formmassen – Teil 1: Bezeichnungssystem und Basis für Spezifikationen (2008)
Einzelnachweise
- ↑ Aldrich Chemistry Handbuch Feinchemikalien. 2009/2010, S. 2212.
- ↑ E. Kaisersberger, S. Knappe, H. Möhler: TA for Polymer Engineering - DSC TG DMA. In: NETZSCH Annual for Science and Industry. Vol. 2, 1993, S. 83 (Anmerkung: In der Literatur finden sich zum Teil auch andere Werte, da PPE in reiner Form kaum noch Anwendung findet, ist die Glastemperatur aber von geringerer Bedeutung).
- ↑ CAMPUS-Datenbank, Herstellerangabe, Stand 16. Dezember 2002.
- ↑ Christian Krebs, Marc-André Avondet, Kurt W. Leu: Langzeitverhalten von Thermoplasten. Carl Hanser Verlag 1999.
- ↑ Datenblatt Poly(2,6-dimethyl-1,4-phenylene oxide) bei Sigma-Aldrich, abgerufen am 30. Juli 2017 (PDF).
- ↑ D. Alberti: Modifizierte aromatische Polyether. In: Kunststoffe. 10, 1987, S. 1001.
- ↑ Martin Bartmann, Udo Kowalczik: Zum Mechanismus der oxidativen Kupplung von Phenolen. In: Die Makromolekulare Chemie. Band 189, Nr. 10, 1988, S. 2285–2292, doi:10.1002/macp.1988.021891008.
- ↑ A. Hohmann, W. Hielscher: Lexikon der Zahntechnik: Das grundlegende Werk: 12,000 Begriffe aus Zahntechnik und Zahnheilkunde in einem Band. Verlag Neuer Merkur, 1998, ISBN 3-929360-28-4.
- ↑ Modifizierte Polyphenylenether (PPE). In: Kunststoffe. 10, 1989, S. 921.
- ↑ H. Feldmann, P. Steiert: Modifizierte Polyphenylenether (PPE-Blends). In: Kunststoffe. 10, 1990, S. 1123.
- ↑ Jos van Gisbergen, Wim Minderhout: Modifizierte Polyphenylenether (PPE). In: Kunststoffe. 10, 2001, S. 304.
- ↑ BASF verkauft das Geschäft mit dem Kunststoff Luranyl
