Polycyclische aromatische Kohlenwasserstoffe





Polycyclische aromatische Kohlenwasserstoffe oder polyzyklische aromatische Kohlenwasserstoffe (kurz PAK oder PAH von englisch Polycyclic Aromatic Hydrocarbons) bilden eine Stoffgruppe von organischen Verbindungen, die aus mindestens zwei verbundenen aromatischen Ringsystemen bestehen. Einfache Vertreter wie Naphthalin oder Fluoren sind planar, andere, wie beispielsweise das Benzo[c]phenanthren weisen eine helikale Struktur auf (siehe auch Helicene). Diese resultiert aus der sterischen Abstoßung der Wasserstoffatome in der Bay-Region. Der einfachste PAK ist Naphthalin, bei dem zwei Benzolringe über eine gemeinsame Bindung anelliert sind, man spricht hier auch von kondensierten Ringsystemen. Fluoren ist ebenfalls ein PAK, da beide Ringe durch die zusätzliche Methyleneinheit starr miteinander verbunden sind. Kein PAK ist Biphenyl, hier sind die beiden Benzolringe nicht anelliert.
Diese ringförmigen Kohlenwasserstoffe können zusätzlich Substituenten (häufig Methylgruppen) tragen. In einer erweiterten Bezeichnung werden auch Derivate mit Heteroatomen (vorrangig Sauerstoff und Stickstoff) in Form von Aldehyd-, Keto-, Carboxy- und Nitrogruppen, aber auch Heteroaromaten zu den PAK gezählt.[2] Dadurch ergibt sich ein großer Variantenreichtum innerhalb der PAK; mehrere hundert Verbindungen sind bekannt.
Stoffdaten
Eigenschaften

PAK sind überwiegend neutrale, unpolare Feststoffe. Viele zeigen Fluoreszenz. PAK sind nur sehr gering wasserlöslich; mit zunehmender Anzahl kondensierter Ringe nehmen Flüchtigkeit und Löslichkeit (auch in organischen Lösungsmitteln) ab.
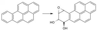
Zahlreiche PAK sind nachweislich karzinogen (krebserregend), da sie bei der Metabolisierung im Körper epoxidiert (zu Epoxiden oxidiert) werden und diese Epoxide in einer nucleophilen Ringöffnungsreaktion mit der DNA reagieren können. Das ist nicht zu verwechseln mit der Einschiebung planarer hydrophober Moleküle zwischen wasserstoffverbrückten Basenpaaren der DNA (Interkalation).
Wegen der unterschiedlichen toxikologischen und physikalisch-chemischen Eigenschaften ist eine Einteilung in niedermolekulare PAK (2–3 Ringe) und höher molekulare PAK (4–6 Ringe) sinnvoll.
PAK sind auch dann aromatisch, wenn die Zahl der π-Elektronen nicht der Hückel-Regel für Aromatizität ([4n+2] π-Elektronen) entspricht.
Verbindungen
Naphthalin, ein farbloser Feststoff, ist der einfachste PAK, der aus zwei anellierten Benzolmolekülen besteht. Weitere wichtige PAK sind Anthracen und Benzo[a]pyren. Darüber hinaus zählt man Acenaphthylen, Acenaphthen, Fluoren, Phenanthren, Fluoranthen, Pyren, Benzo[a]anthracen, Coronen, Ovalen, Tetracen, Pentacen und Chrysen zu dieser Stoffgruppe. In den letzten Jahren war es möglich, sogenannte „Superacene“ zu synthetisieren und charakterisieren. Diese Verbindungen bestehen aus einer Vielzahl anellierter Benzoleinheiten, sind sehr stabil, haben einen extrem hohen Schmelzpunkt und stellen quasi eine Vorstufe des Graphits dar.
Eigenschaften verschiedener PAK sind der folgenden Liste zu entnehmen:
| Name | Struktur | Summenformel | Molmasse / g·mol−1 | Smp. / °C | Sdp. / °C | Dichte / g·cm−3 |
|---|---|---|---|---|---|---|
| Naphthalin | C10H8 | 128,17 | 80 | 218 | 1,03 | |
| Fluoren | C13H10 | 166,22 | 116–117 | 295 | 1,2 | |
| Phenalen | C13H10 | 166,22 | ||||
| Anthracen | C14H10 | 178,23 | 216 | 340 | 1,28 | |
| Phenanthren | C14H10 | 178,23 | 101 | 340 | 0,98 | |
| Pyren | C16H10 | 202,26 | 150 | 395 | 1,27 | |
| Tetracen | C18H12 | 228,29 | 357 | 440 | 1,35 | |
| Chrysen | C18H12 | 228,29 | 256 | 441 | 1,27 | |
| Perylen | C20H12 | 252,32 | 273–278 | 350–400 subl.[3] | 1,35 | |
| Benzo[a]fluoranthen | C20H12 | 252,32 | 144–145 | |||
| Benzo[j]fluoranthen | C20H12 | 252,32 | 166 | |||
| Anthanthren | C22H12 | 276,33 | 264[4] | 547[4] | 1,39[4] | |
| Pentacen | C22H14 | 278,35 | <300 subl. | |||
| Pentaphen | C22H14 | 278,35 | 264 | |||
| Coronen | C24H12 | 300,36 | 438 | 525 | ||
| Hexacen | C26H16 | 328,41 | 380 zers. | |||
| Heptaphen | C30H18 | 378,47 | 473 | |||
| Heptacen | C30H18 | 378,47 | ||||
| Trinaphthylen | ![]() |
C30H18 | 378,47 | 392 | ||
| Superphenalen | ![]() |
C96H30 | 1183,27 |
Vorkommen
PAK sind natürlicher Bestandteil von Kohle und Erdöl. Der bei der Verkokung von Steinkohle anfallende Teer enthält hohe Anteile an PAK. Daher ist seine Verwendung im Straßenbau[5] und z. B. als Dachpappe seit 1984 verboten. Mit Steinkohleteer behandelte Produkte, z. B. teergebundener Asphalt aus der Zeit vor 1984, Teerpappe oder teerölbehandelte Hölzer (für Telegrafenmasten oder Eisenbahnschwellen), enthalten daher viel PAK. Führt man die Destillation von Erdöl schonend durch, entstehen nur geringste Mengen an PAK.
In Otto- und Dieselkraftstoff bzw. Heizöl findet man Spuren von PAK. Auch kommen PAK in Tabakrauch und geräuchertem, gegrilltem und gebratenem Fleisch vor. An verkehrsreichen Straßen können sich PAK auch im Hausstaub anreichern. In Basisölen von Kühlschmierstoffen können aufgrund des Herstellungsprozesses Spuren von Verunreinigungen PAK enthalten sein.[6]
PAK sind ein wichtiger Bestandteil interstellarer Materie und werden mit den Methoden der Infrarotastronomie in vielen Gebieten unserer Milchstraße und anderer Galaxien nachgewiesen. Die beobachteten PAK werden vor allem mit kurzwelliger Ultraviolettstrahlung naher Sterne angeregt und emittieren im Infrarot.[7] Darum kann man PAK in Regionen mit starker UV-Strahlung finden, wie z. B. im H-II-Gebiet bzw. in Sternentstehungs-Regionen massereicher Sterne. Ein sehr erfolgreiches Instrument für die Detektion solcher PAK war die Infrarot-Array-Kamera (IRAC) an Bord des Spitzer-Weltraumteleskopes. Der 8-μm-Bereich des Infraroten wird von PAK-Banden dominiert. Durch den Infrarot-Spektrographen von Spitzer war es möglich, viele bereits durch das Infrared Space Observatory (ISO) im interstellaren Medium beobachtete Unidentified Infrared Bands (UIB) als PAK-Emissionsbande zu identifizieren.[8][9]
Entstehung
PAK entstehen bei der Pyrolyse (unvollständige Verbrennung) von organischem Material (z. B. Kohle, Heizöl, Kraftstoff, Holz, Tabak) und sind deswegen weltweit nachzuweisen. Der überwiegende Anteil der PAK stammt heute aus anthropogenen Prozessen, sie können aber auch natürlichen Ursprungs sein (Waldbrände).
Eine wichtige Quelle auch in Hinblick auf die Altlastenproblematik ist die Gewinnung von Koks und Gas aus Kohle. PAK-haltige Teere, und Teeröle sind Neben- bzw. Abfallprodukte von Kokereien und ehemaligen Gaswerken und gelangten durch Löschwasser bzw. Verarbeitung (Holzkonservierung) in die Umwelt.
PAK werden außerdem durch Kondensationsreaktionen aus Huminsäuren gebildet. In der Natur beobachtet man die Produktion von PAK durch Mikroorganismen, Pilze, Pflanzen und Tiere.
Verwendung
Nur wenige PAK-Einzelverbindungen werden gezielt hergestellt und finden als End- oder Zwischenprodukt Verwendung. Naphthalin dient in der chemischen Industrie als Zwischenprodukt hauptsächlich für Azofarbstoffe, Insektizide, Stabilisatoren, Pharmaka, Kosmetikzusätze und Weichmacher. Es wurde in geringem Umfang auch als Mottenbekämpfungsmittel verwendet. 1-Methylnaphthalin dient zur Herstellung des Phytohormons 1-Naphthylessigsäure. In der Textilindustrie wurde ein Isomerengemisch aus 1- und 2-Methylnaphthalin als Lösungsmittel verwendet. Anthracen ist ein Zwischenprodukt bei der Farben- und Plastikherstellung. Einige Perylenderivate werden als hochwertige Pigmente verwendet.
PAK sind ein natürlicher Bestandteil von Weichmacherölen auf Mineralölbasis. Diese finden in Weichkunststoffen (z. B. in Kautschukprodukten) Anwendung. Tendenziell weisen schwarze (z. B. Autoreifen, Gummigriffe an Werkzeugen, Kunstleder) Kautschukerzeugnisse einen höheren PAK-Gehalt als helle Gummiartikel auf. Dies hängt allerdings stark vom eingesetzten Rußtyp bzw. von dessen Mengenanteil in der Gummimischung ab.
Massivparkette, insbesondere Mosaik-, Hochkantlamellen- und Stabparkette, aber auch Holzpflaster, wurden in den 1950er- bis 1970er-Jahren mit teer- oder bitumenhaltigen PAK-haltigen Klebern auf Zement- oder Asphaltestriche verklebt.
PAK-haltiges Teeröl wurde in großem Umfang zur Holzimprägnierung eingesetzt (Carbolineum). Produkte waren Eisenbahnschwellen, Strommasten und Holzschutzanstriche. Durch die Teerölverordnung wurde es seit den 1990er Jahren in Deutschland unter Ausnahmen verboten. In der Europäischen Union ist mit unmittelbarer Wirkung ab 1. Juni 2009 das Inverkehrbringen und Verwenden von Teerölen, ihren Gemischen und damit behandelten Hölzern weitgehend verboten.[10]
Schädlichkeit
PAK als Umweltschadstoffe
Wegen ihrer Persistenz, ihrer Toxizität und ihres allgegenwärtigen Vorhandenseins haben PAK eine große Bedeutung als Schadstoffe in der Umwelt. Bereits 1976 hat die amerikanische Bundesumweltschutzbehörde (EPA) aus den mehrere hundert zählenden PAK-Einzelverbindungen 16 in die Liste der Priority Pollutants aufgenommen (siehe Tabelle rechts).[11] Diese 16 „EPA-PAK“ werden seitdem hauptsächlich und stellvertretend für die ganze Stoffgruppe analysiert. Es gibt jedoch auch Vorschläge für eine Ablösung dieser Auswahl.[12]
PAK gelangen überwiegend bei der Verbrennung fossiler Energieträger mit den Abgasen in die Luft. Mit der Deposition werden sie auf und in den Boden eingetragen, wo PAK flächendeckend nachweisbar sind[13][14]. Lokal von Bedeutung als PAK-Emittenten sind Altlasten, z. B. ehemalige Gaswerke und Kokereien, Teeröl verarbeitende Betriebe (z. B. und vor allem Bahnschwellen-Imprägnierung) oder Altablagerungen mit PAK-haltigen Abfällen (z. B. Aschen, Altöl).
Höhermolekulare PAK mit vier und mehr Ringen liegen in der Luft und im Boden überwiegend partikelgebunden vor. Niedermolekulare PAK mit zwei und drei Ringen liegen in der Luft hauptsächlich gasförmig vor, im Untergrund gelöst im Sicker- oder Grundwasser.
PAK in Verbraucherprodukten
In einer Untersuchungsreihe im März 2009[15] fand der TÜV Rheinland alarmierend hohe PAK-Werte in Gummiprodukten wie Hammerstielen, Fahrradhupen, Badesandalen und Armbanduhr-Bändern. Die PAK werden über den langen Hautkontakt vom Körper aufgenommen. Aus diesem Grund vergab auch die Stiftung Warentest nach dem Test von Rollkoffern mehrmals die Note „Mangelhaft“. Sie hatte PAK in den Griffen der Koffer nachgewiesen. Die Belastung sei so groß, dass das Ziehen des Koffers zum Gesundheitsrisiko werden könne.[16]
Immer noch wird häufig (Stand 2017) sowohl für Billigprodukte als auch für höherwertige Erzeugnisse auf PAK-belastete Weichmacher zurückgegriffen. Auch in Kunstleder (z. B. Handtaschen, Besatz an Kleidung, Gürtel, Polsterungen an Trageriemen) und anderen Weichkunststoffen (Werkzeuggriffe, Sporttaschen aus glattem Kunststoff (kein Gewebe) usw.) finden sich fast immer PAK; die unten genannten Grenzwerte werden dabei häufig überschritten.[17] Im Test von Ferngläsern der Stiftung Warentest im August 2019 wurden 16 der 17 getesteten Ferngläser aufgrund von PAK in Gehäuse, Augenmuscheln und Trageriemen, mit denen der Nutzer in Kontakt kommt, deutlich abgewertet.[18]
Indizien für die Verwendung von PAKs sind Gerüche, die auch nach intensivem Lüften und dauerhaftem Benutzen nicht verfliegen. Insbesondere ein Geruch wie nach verbranntem Gummi („pyrolytisch“),[19] nach Teer oder nach Mottenkugeln oder ein gummiartig-öliger Geruch weisen auf einen hohen PAK-Gehalt hin.[20][21] PAK lassen sich auch durch wiederholtes Waschen praktisch nicht entfernen.[20]
PAK finden sich nach Erkenntnissen der Stiftung Warentest auch in Lebensmitteln. Sie wies PAK in verschiedenen Teesorten nach, bezeichnet die Funde im Vergleich zu Funden von anderen Verbindungen wie Pyrrolizidinalkaloide aber als „weniger kritisch“.[22]
Wirkung bei Menschen
Die Aufnahme der Schadstoffe erfolgt durch die Nahrung und Trinkwasser, durch die Atmung der belasteten Luft über die Lunge (wobei Autoabgase und Tabakrauch für die allgemeine Bevölkerung am bedeutendsten sind) sowie durch die Haut. Bei Kindern ist die Schadstoff-Aufnahme besonders hoch.[23]
PAK entfetten die Haut, führen zu Hautentzündungen und können Hornhautschädigungen hervorrufen sowie die Atemwege, Augen und den Verdauungstrakt reizen.
Einige PAK sind beim Menschen eindeutig krebserzeugend (z. B. Lungen-, Kehlkopf-, Hautkrebs sowie Magen- und Darmkrebs bzw. Blasenkrebs). Die Möglichkeit der Fruchtschädigung oder Beeinträchtigung der Fortpflanzungsfähigkeit besteht. So wird Benzo[a]pyren für Hautkrebs bei Schornsteinfegern verantwortlich gemacht.
Biomonitoring
Derzeit ist die Bestimmung von 1-Hydroxypyren im Urin die Methode der Wahl zur Beurteilung der Belastung mit polycyclischen aromatischen Kohlenwasserstoffen.[24][25]
Anerkannte Berufskrankheit
Seit August 2017 können Erkrankungen wie Schleimhautveränderungen, Krebs oder andere Neubildungen der Harnwege durch polycyclische aromatische Kohlenwasserstoffe bei Nachweis der Einwirkung einer kumulativen Dosis von mindestens 80 Benzo(a)pyren-Jahren in Deutschland auf Antrag als Berufskrankheit anerkannt werden.[26] Das gilt auch für solche Erkrankungen, die vor diesem Termin eingetreten sind.[27]
Verbote und Grenzwerte
Polycyclische aromatische Kohlenwasserstoffe sind als „prioritärer gefährlicher Stoff“ in Anhang X der europäischen Richtlinie 2000/60/EG (Wasserrahmenrichtlinie) aufgeführt.[28]
Bedarfsgegenstände
In der Europäischen Union verbietet mit unmittelbarer Wirkung die Verordnung (EG) Nr. 1907/2006 (REACH-VO)[29]
- seit 1. Januar 2010 das Verwenden und Inverkehrbringen von Weichmachern für die (Kfz-)Reifenproduktion und das Inverkehrbringen seither hergestellter Reifen mit je Kilogramm Weichmacheröl mehr als
- 1 mg Benzo[a]pyren oder
- 10 mg in der Summe von Benzo[a]pyren und weiterer sieben gelisteter PAK sowie
- das Inverkehrbringen von Verbraucherprodukten und Bedarfsgegenständen mit Bestandteilen aus Kunststoff oder Gummi, die bei normalem oder vernünftigerweise zu erwartendem Gebrauch in längeren oder wiederholten direkten Kontakt zur Haut oder Mundhöhle kommen, dabei mehr als 1 mg/kg, bei Spielzeug und Babyartikeln 0,5 mg/kg eines der acht gelisteten PAK enthalten und nicht erstmals bis 27. Dezember 2015 in Verkehr gebracht waren.[29]
Lebensmittel
In der EU werden die Höchstmengen an PAK in Lebensmitteln durch die Verordnung (EG) Nr. 1881/2006 geregelt. Die jeweiligen Höchstgrenzen hängen dabei vom Erzeugnis ab und orientieren sich auch daran, was durch gute Herstellungspraxis oder gute landwirtschaftliche Praxis erreichbar ist. Sowohl für Benzo[a]pyren als auch die Summe der PAK (Benzo[a]pyren, Benzo[a]anthracen, Benzo[b]fluoranthen, Chrysen) gibt es verschiedene – auch von der Verarbeitung abhängige – Grenzwerte.[30]
| Erzeugnis | Benzo[a]pyren | Summe PAK |
|---|---|---|
| Säuglingsanfangs- und -folgenahrung, Säuglingsmilchnahrung und Folgemilch, Beikost diätetische Lebensmittel für medizinische Zwecke, die für Säuglinge bestimmt sind |
1,0 µg/kg | 1,0 µg/kg |
| Öle und Fette | 2,0 µg/kg | 10,0 µg/kg |
| Fleisch und Fisch, geräuchert | 2,0 µg/kg | 12,0 µg/kg |
| Bananenchips Kokosnussöl |
2,0 µg/kg | 20,0 µg/kg |
| Kakaofasern und daraus hergestellte Erzeugnisse | 3,0 µg/kg | 15,0 µg/kg |
| Kakaobohnen und daraus hergestellte Erzeugnisse | 5,0 µg/kg Fett | 30,0 µg/kg Fett |
| Sprotten und Ostseeheringe, geräuchert, Katsuobushi, Muscheln (frisch, gekühlt oder gefroren), wärmebehandeltes Fleisch und Fleischerzeugnisse |
5,0 µg/kg Fett | 30,0 µg/kg Fett |
| Muscheln, geräuchert | 6,0 µg/kg | 35,0 µg/kg |
| Nahrungsergänzungsmittel mit pflanzlichen Stoffen getrocknete Kräuter und Gewürze Pulver aus Lebensmitteln pflanzlichen Ursprungs zur Zubereitung von Getränken |
10,0 µg/kg | 50,0 µg/kg |
Nachweisverfahren
Die zuverlässige Identifizierung und Quantifizierung erfolgt mit Hilfe der GC-MS-Kopplung nach adäquater Probenvorbereitung.[31][32] Ergebnisse verfügbarer Schnelltests mit PAK-Indikatorstreifen sollten mit den vorerwähnten Methoden abgesichert werden, um Fehlinterpretationen zu verhindern und gesundheitliche und ökonomische Konsequenzen zuverlässig zu bewerten.
Eine Studie hat gezeigt, dass sowohl die gaschromatographische – GC – als auch die flüssigchromatographische – Hochleistungsflüssigkeitschromatographie, HPLC – Bestimmung von PAK in Luftproben die Anforderungen an valide Messverfahren erfüllen. Die GC-Methode zeigt eine bessere Empfindlichkeit und weist einen größeren Arbeitsbereich auf. Bei der HPLC-Methode ist der Arbeitsbereich aufgrund des verwendeten Fluoreszenz-Detektors deutlich kleiner. Höhermolekulare PAK lassen sich allerdings besser mit der HPLC untersuchen.[33]
Nomenklatur
Die IUPAC beschäftigt sich seit 1957 mit der Nomenklatur von PAK. Die letzte Aktualisierung der Empfehlungen wurde 2013 publiziert.[34]
Literatur
- Karsten Strey: Die Welt der polycyclischen Aromaten. Lehmanns Media, Berlin 2007, ISBN 978-3-86541-184-6.
- Maximilian Zander: Polycyclische Aromaten – Kohlenwasserstoffe und Fullerene. Teubner Verlag, 1995, ISBN 3-519-03537-5.
- Michael Herrenbauer: Biosorption von Polyzyklischen Aromatischen Kohlenwasserstoffen (PAK) an Mikroorganismen und Liposomen. Shaker Verlag, 2002, ISBN 3-8265-9903-9.
- Tilman Gocht, Peter Gratwohl: Polyzyklische aromatische Kohlenwasserstoffe aus diffusen Quellen. Atmosphärische Deposition und Anreicherung in Böden des ländlichen Raums. In: Umweltwissenschaften und Schadstoffforschung – Zeitschrift für Umweltchemie und Ökotoxikologie. Band 16, Nr. 4, 2004, S. 245–254; doi:10.1007/BF03039576.
- Ronald G. Harvey: Polycyclic Aromatic Hydrocarbons. Wiley-VCH, 1997, ISBN 0-471-18608-2.
- C. Glende: Synthese und Mutagenitätsuntersuchungen von Derivaten des Pyrens, 1-Nitropyren und 1-Aminopyrens. Cuvillier Verlag, Göttingen 2001, ISBN 3-89873-327-0.
- Andreas Luch: The Carcinogenic Effects of Polycyclic Aromatic Hydrocarbons. Imperial College Press, 2005, ISBN 1-86094-417-5.
- Wolfgang Mücke (Hrsg.): Analytik und Mutagenität von verkehrsbedingtem Feinstaub: PAK und Nitro-PAK. Herbert Utz Verlag, München 2009, ISBN 978-3-8316-0941-3.
- M. T. Wu, T. C. Lee u. a.: Whole Genome Expression in Peripheral-Blood Samples of Workers Professionally Exposed to Polycyclic Aromatic Hydrocarbons. In: Chemical Research in Toxicology. Band 24, Nr. 10, 2011, S. 1636–1643, doi:10.1021/tx200181q. PMID 21854004.
Weblinks
- Polycyclische Aromatische Kohlenwasserstoffe (PAH) [MAK Value Documentation in German language, 2008]. In: The MAK-Collection for Occupational Health and Safety. Wiley-VCH Verlag, Weinheim 31. Januar 2012, S. 1–210, doi:10.1002/3527600418.mb0223orgd0045.
- Stiftung Warentest: FAQ PAK: Das müssen Sie über diese Schadstoffe wissen vom 5. Februar 2018
- mtm ingenieurgemeinschaft: Hinweise für die Bewertung und Maßnahmen zur Verminderung der PAK-Belastung durch Parkettböden mit Teerklebstoffen in Gebäuden
- arguk.de: PAK im Innenraum ( vom 6. September 2012 im Internet Archive)
- BfR: Polyzyklische aromatische Kohlenwasserstoffe (PAK) in Spielzeug (PDF; 135 kB), aktualisierte Stellungnahme Nr. 051/2009 des BfR vom 14. Oktober 2009
- Bundesamt für Gesundheit: Polyzyklische aromatische Kohlenwasserstoffe (PAK)
Einzelnachweise
- ↑ Milan Randić, Xiaofeng Guo: Giant benzenoid hydrocarbons. Superphenalene resonance energy. In: New J. Chem. Band 23, 1999, S. 251–260. doi:10.1039/A808949C
- ↑ Eintrag zu polycyclische aromatische Kohlenwasserstoffe. In: Römpp Online. Georg Thieme Verlag, abgerufen am 15. Juni 2014.
- ↑ Claudia Synowietz (Hrsg.): Taschenbuch für Chemiker und Physiker. Begründet von Jean d’Ans, Ellen Lax. 4. Auflage. Band 2: Organische Verbindungen. Springer, Berlin 1983, ISBN 3-540-12263-X.
- ↑ a b c Eintrag zu Anthanthren in der GESTIS-Stoffdatenbank des IFA, abgerufen am 24. Juni 2019. (JavaScript erforderlich)
- ↑ S. W. R. Aktuell: Giftiger Straßenaufbruch-Erklärstück. 14. Mai 2024, abgerufen am 21. Mai 2024.
- ↑ Institut für Arbeitsschutz der Deutschen Gesetzlichen Unfallversicherung (IFA): Polycyclische Aromatische Kohlenwasserstoffe. Abgerufen am 3. Mai 2023.
- ↑ PAH IR Spectral Database. In: astrochem.org. Abgerufen am 4. Oktober 2010 (englisch).
- ↑ A. G. G. M. Tielens: Interstellar Polycyclic Aromatic Hydrocarbon Molecules. In: Annual Review of Astronomy and Astrophysics. Band 46, 2008, S. 289–337; doi:10.1146/annurev.astro.46.060407.145211.
- ↑ A. Leger, J. L. Puget: Identification of the 'unidentified' IR emission features of interstellar dust? In: Astronomy and Astrophysics. 137, 1984, L5; bibcode:1984A&A...137L...5L; (PDF)
- ↑ Artikel 67 der Verordnung (EG) Nr. 1907/2006 in ihrem Anhang XVII unter Eintrag 31 für die in Spalte 1 gelisteten Stoffe.
- ↑ Lawrence H. Keith: The Source of U.S. EPA's Sixteen PAH Priority Pollutants. In: Polycyclic Aromatic Compounds. Band 35, Nr. 2–4, 2015, S. 147–160, doi:10.1080/10406638.2014.892886.
- ↑ Jan T. Andersson, Christine Achten: Time to Say Goodbye to the 16 EPA PAHs? Toward an Up-to-Date Use of PACs for Environmental Purposes. In: Polycyclic Aromatic Compounds. Band 35, Nr. 2–4, 2015, S. 330–354, doi:10.1080/10406638.2014.991042, PMID 26823645, PMC 4714241 (freier Volltext).
- ↑ Bernhard Aichner, Bernd Bussian, Petra Lehnik-Habrink, Sebastian Hein: Levels and Spatial Distribution of Persistent Organic Pollutants in the Environment: A Case Study of German Forest Soils. In: Environmental Science & Technology. Band 47, Nr. 22, 2013, S. 12703–12714, doi:10.1021/es4019833.
- ↑ Marc Marx, Juliane Ackermann, Simone Schmidt, Jens Utermann, Bernd M. Bussian: Occurrence and Spatial Distribution of Selected Organic Substances in Germany’s Forest Soils. In: Status and Dynamics of Forests in Germany. Band 237. Springer International Publishing, Cham 2019, ISBN 978-3-03015732-6, S. 231–259, doi:10.1007/978-3-030-15734-0_8.
- ↑ Risikofaktor PAK: Konzentration in Produkten alarmierend hoch. Pressemitteilung TÜV Rheinland AG vom 31. März 2009, 6. März 2018 abrufbar
- ↑ Koffer: Gift im Griff. In: test.de, Stand 24. Mai 2012, abrufbar am 6. März 2018.
- ↑ ÖKO-TEST: Test Handtaschen und Kunstleder, April 2016, 6. März 2018 abrufbar
- ↑ test.de von 08/2019, Ferngläser im Test: Schadstoffe in Gurten, Gehäusen und Augenmuscheln
- ↑ Stiftung Warentest: Grundlegende Informationen über PAK, 5. Februar 2018, abgerufen am 11. April 2018.
- ↑ a b Stiftung Warentest: Test von Plüschtieren, 26. November 2015, abgerufen am 11. April 2018.
- ↑ Stiftung Warentest: Schadstoffe in Alltagsgegenständen: Was stinkt, ist oft gefährlich, 28. Juni 2017, abgerufen am 11. April 2018.
- ↑ Schwarzer Tee im Test: Darjeeling und Ceylon-Assam schadstoffbelastet. In: test.de, 23. Oktober 2014, abrufbar am 6. März 2018.
- ↑ Bundesinstitut für Risikobewertung: Polyzyklische aromatische Kohlenwasserstoffe (PAK) in Spielzeug. (PDF; 135 kB) Aktualisierte Stellungnahme Nr. 051/2009 des BfR vom 14. Oktober 2009, Abschnitt 3.1.3 „Exposition“; 6. März 2018 abrufbar
- ↑ Freya Riechert, Marion Berger, Norbert Kersten: Biomonitoring bei der Holzimprägnierung mit Steinkohlenteerölen – 1-Hydroxypyren im Urin als Marker für die innere Belastung mit polyzyklischen aromatischen Kohlenwasserstoffen (PAK). In: Zbl Arbeitsmed. Band 61, 2011, S. 4–12.
- ↑ D. Pigini, A. M. Cialdella, P. Faranda, G. Tranfo: Comparison between external and internal standard calibration in the validation of an analytical method for 1-hydroxypyrene in human urine by high-performance liquid chromatography/tandem mass spectrometry. In: Rapid Commun Mass Spectrom. Band 20, Nr. 6, 2006, S. 1013–1018. PMID 16479558.
- ↑ Nummer 1321 der Anlage 1 zur Berufskrankheiten-Verordnung – BKV
- ↑ § 6 Abs. 1 BKV
- ↑ Richtlinie 2000/60/EG des Europäischen Parlaments und des Rates vom 23. Oktober 2000 zur Schaffung eines Ordnungsrahmens für Maßnahmen der Gemeinschaft im Bereich der Wasserpolitik in der konsolidierten Fassung vom 20. November 2014, abgerufen am 28. Februar 2024. Anhang X.
- ↑ a b Verordnung (EG) Nr. 1907/2006, Artikel 67 mit Anhang XVII, Eintrag Nummer 50, Spalte 2 Ziff. 1–4 für Reifen, Ziff. 5–7 für Bedarfsgegenstände. Abgerufen am 5. März 2020.
- ↑ Verordnung (EG) Nr. 1881/2006 der Kommission vom 19. Dezember 2006 zur Festsetzung der Höchstgehalte für bestimmte Kontaminanten in Lebensmitteln, Anhang Abschnitt 6.
- ↑ K. Ziegenhals, H. J. Hübschmann, K. Speer, W. Jira: Fast-GC/HRMS to quantify the EU priority PAH. In: J Sep Sci. Band 31, Nr. 10, 2008, S. 1779–1786. PMID 18461643.
- ↑ S. Naydenova, A. Veli, Z. Mustafa, L. Gonsalvesh: Qualitative and quantitative determination of polycyclic aromatic hydrocarbons in fine particulate matter. In: J Environ Sci Health A Tox Hazard Subst Environ Eng. 17. Dez 2019, S. 1–12. PMID 31847692
- ↑ Deutsche Gesetzliche Unfallversicherung e. V. (DGUV): Vergleich einer gas- mit einer flüssigchromatographischen Messmethode zur Analytik von polyzyklischen aromatischen Kohlenwasserstoffen. Abgerufen am 3. Mai 2023.
- ↑ Franz S. Ehrenhauser: PAH and IUPAC Nomenclature. In: Polycyclic Aromatic Compounds. Band 35, Nr. 2–4, 2015, S. 161–176, doi:10.1080/10406638.2014.918551.









acephenanthrylene_200.svg.png)
fluoranthene_200.svg.png)
tetraphene_200.svg.png)
tetraphene_200.svg.png)
pyrene_200.svg.png)
perylene_200.svg.png)