Pterin
| Strukturformel | |||||||||||||||||||
|---|---|---|---|---|---|---|---|---|---|---|---|---|---|---|---|---|---|---|---|
| |||||||||||||||||||
| Allgemeines | |||||||||||||||||||
| Name | Pterin | ||||||||||||||||||
| Andere Namen |
2-Amino-3H-pteridin-4-on | ||||||||||||||||||
| Summenformel | C6H5N5O | ||||||||||||||||||
| Kurzbeschreibung |
beiger Feststoff[1] | ||||||||||||||||||
| Externe Identifikatoren/Datenbanken | |||||||||||||||||||
| |||||||||||||||||||
| Eigenschaften | |||||||||||||||||||
| Molare Masse | 163,14 g·mol−1 | ||||||||||||||||||
| Aggregatzustand |
fest | ||||||||||||||||||
| Schmelzpunkt | |||||||||||||||||||
| pKS-Wert | |||||||||||||||||||
| Sicherheitshinweise | |||||||||||||||||||
| |||||||||||||||||||
| Wenn nicht anders vermerkt, gelten die angegebenen Daten bei Standardbedingungen (0 °C, 1000 hPa). | |||||||||||||||||||
Pterin ist ein Derivat des Pteridins und damit eine heterocyclische Verbindung. Sie tritt als Strukturelement in vielen Biomolekülen auf, so z. B. in verschiedenen Farbpigmenten von Insekten wie Leukopterin und Xanthopterin, im Cofaktor Biopterin oder im Vitamin Folsäure.
Eigenschaften
Pterin bildet hellgelbe Kristalle. Beim Erhitzen zersetzt es sich, ohne zu schmelzen. Die Verbindung zeigt zwei Säurekonstanten mit pKs1 2,20 und pKs2 7,86 (in Wasser bei 20 °C).[3] Die Löslichkeit in Wasser beträgt 0,175 g*l−1.[4]
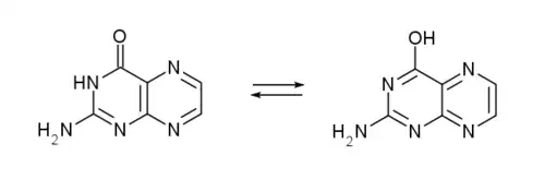
Die Verbindung kann in zwei tautomeren Strukturen auftreten.[5]

Synthese
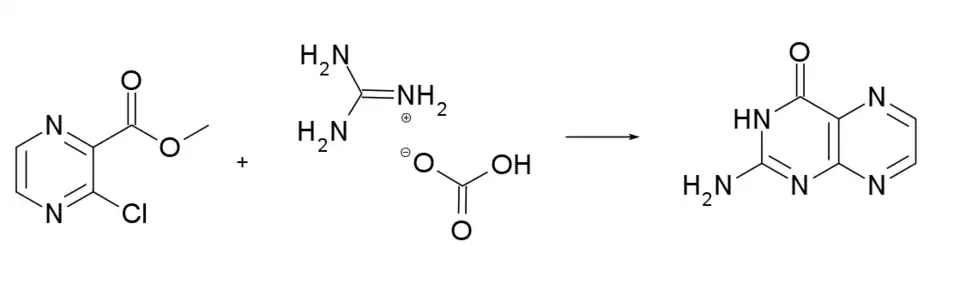
Die Herstellung von Pterin gelingt durch die Umsetzung von 3-Chlorpyrazin-carbonsäuremethylester mit Guanidiniumhydrogencarbonat.[6]

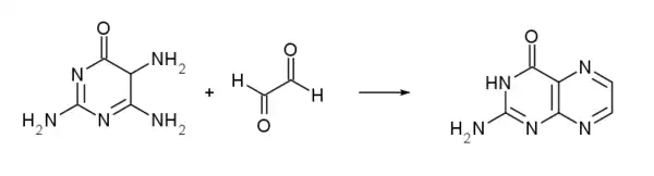
Eine andere Synthese geht von 2,4,5-Triamino-6-hydroxypyrimidin aus, das mit Glyoxal umgesetzt wird.[7]

Einzelnachweise
- ↑ a b c Datenblatt Pterine bei Sigma-Aldrich, abgerufen am 14. Oktober 2023 (PDF).
- ↑ Eintrag zu Pteridine. In: Römpp Online. Georg Thieme Verlag, abgerufen am 10. November 2014.
- ↑ a b c Pfleiderer, W.; Liedek, E.; Lohrmann, R.; Rukwied, M.: Pteridine, X. Zur Struktur des Pterins. In: Chem. Ber. 93, 1960, S. 2015–2022. doi:10.1002/cber.19600930916.
- ↑ Albert et al.: J. Chem. Soc. 1952, S. 4219–4220.
- ↑ Jaramillo, P.; Coutinho, K.; Canuto, S.: Solvent Effects in Chemical Processes. Water-Assisted Proton Transfer Reaction of Pterin in Aqueous Environment. In: J. Phys. Chem. A 113, 2009, S. 12485–12495. doi:10.1021/jp903638n.
- ↑ G. P. G. Dick, H. C. S. Wood: Pteridine derivatives. Part I. A new synthesis of 2-amino-4-hydroxypteridines. In: Journal of the Chemical Society (Resumed). 1955, S. 1379, doi:10.1039/JR9550001379.
- ↑ J. H. Mowat, J. H. Boothe, B. L. Hutchings, E. L. R. Stokstad, C. W. Waller, R. B. Angier, J. Semb, D. B. Cosulich, Y. SubbaRow: The Structure of the Liver L. casei Factor. In: J. Am. Chem. Soc. 70, 1948, S. 14–18, doi:10.1021/ja01181a005.

