Das Pushout (auch Kofaserprodukt , kokartesisches Quadrat , Fasersumme , amalgamierte Summe ) ist ein Begriff aus dem mathematischen Teilgebiet der Kategorientheorie . Es handelt sich um die zum Pullback duale Konstruktion.
Pushout von Moduln
Es seien
α
1
:
X
→
X
1
{\displaystyle \alpha _{1}:X\rightarrow X_{1}}
und
α
2
:
X
→
X
2
{\displaystyle \alpha _{2}:X\rightarrow X_{2}}
zwei Homomorphismen zwischen Moduln über einem Ring
R
{\displaystyle R}
.
Setzt man
Q
:=
{
(
α
1
(
x
)
,
α
2
(
x
)
)
:
x
∈
X
}
⊂
X
1
⊕
X
2
{\displaystyle Q:=\{(\alpha _{1}(x),\alpha _{2}(x)):\,x\in X\}\subset X_{1}\oplus X_{2}}
,
so ist das Pushout von
α
1
{\displaystyle \alpha _{1}}
und
α
2
{\displaystyle \alpha _{2}}
definiert als
P
:=
(
X
1
⊕
X
2
)
/
Q
{\displaystyle P:=(X_{1}\oplus X_{2})/Q}
mit den Homomorphismen
φ
1
:
X
1
→
P
,
φ
1
(
x
1
)
:=
(
x
1
,
0
)
+
Q
{\displaystyle \varphi _{1}:X_{1}\rightarrow P,\,\varphi _{1}(x_{1}):=(x_{1},0)+Q}
und
φ
2
:
X
2
→
P
,
φ
2
(
x
2
)
:=
(
0
,
−
x
2
)
+
Q
{\displaystyle \varphi _{2}:X_{2}\rightarrow P,\,\varphi _{2}(x_{2}):=(0,-x_{2})+Q}
Man kann zeigen, dass
φ
1
∘
α
1
=
φ
2
∘
α
2
{\displaystyle \varphi _{1}\circ \alpha _{1}=\varphi _{2}\circ \alpha _{2}}
und dass
P
,
φ
1
,
φ
2
{\displaystyle P,\varphi _{1},\varphi _{2}}
die folgende universelle Eigenschaft hat:
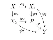
Ist
Y
{\displaystyle Y}
irgendein
R
{\displaystyle R}
-Modul mit Homomorphismen
ψ
1
:
X
1
→
Y
{\displaystyle \psi _{1}:X_{1}\rightarrow Y}
und
ψ
2
:
X
2
→
Y
{\displaystyle \psi _{2}:X_{2}\rightarrow Y}
, so dass
ψ
1
∘
α
1
=
ψ
2
∘
α
2
{\displaystyle \psi _{1}\circ \alpha _{1}=\psi _{2}\circ \alpha _{2}}
, so gibt es genau einen Homomorphismus
ρ
:
P
→
Y
{\displaystyle \rho :P\rightarrow Y}
mit
ψ
1
=
ρ
∘
φ
1
{\displaystyle \psi _{1}=\rho \circ \varphi _{1}}
und
ψ
2
=
ρ
∘
φ
2
{\displaystyle \psi _{2}=\rho \circ \varphi _{2}}
.[ 1]
Pushout in Kategorien
Durch obiges Beispiel motiviert, definiert man das Pushout in beliebigen Kategorien wie folgt.[ 2]
Es seien
α
1
:
X
→
X
1
{\displaystyle \alpha _{1}:X\rightarrow X_{1}}
und
α
2
:
X
→
X
2
{\displaystyle \alpha _{2}:X\rightarrow X_{2}}
zwei Morphismen einer Kategorie. Ein Paar
(
φ
1
,
φ
2
)
{\displaystyle (\varphi _{1},\varphi _{2})}
von Morphismen
φ
i
:
X
i
→
P
{\displaystyle \varphi _{i}:X_{i}\rightarrow P}
dieser Kategorie heißt Pushout von
(
α
1
,
α
2
)
{\displaystyle (\alpha _{1},\alpha _{2})}
, falls gilt:
φ
1
∘
α
1
=
φ
2
∘
α
2
{\displaystyle \varphi _{1}\circ \alpha _{1}=\varphi _{2}\circ \alpha _{2}}
Ist
(
ψ
1
,
ψ
2
)
{\displaystyle (\psi _{1},\psi _{2})}
ein Paar von Morphismen
ψ
i
:
X
i
→
Y
{\displaystyle \psi _{i}:X_{i}\rightarrow Y}
mit
ψ
1
∘
α
1
=
ψ
2
∘
α
2
{\displaystyle \psi _{1}\circ \alpha _{1}=\psi _{2}\circ \alpha _{2}}
, so gibt es genau einen Morphismus
ρ
:
P
→
Y
{\displaystyle \rho :P\rightarrow Y}
mit
ψ
1
=
ρ
∘
φ
1
{\displaystyle \psi _{1}=\rho \circ \varphi _{1}}
und
ψ
2
=
ρ
∘
φ
2
{\displaystyle \psi _{2}=\rho \circ \varphi _{2}}
.
Manchmal nennt man nur das Objekt
P
{\displaystyle P}
ein Pushout und meint damit, dass es Morphismen
φ
i
:
X
i
→
P
{\displaystyle \varphi _{i}:X_{i}\rightarrow P}
gibt, die obiger Definition genügen. Auch das Diagramm
X
→
α
1
X
1
↓
α
2
↓
φ
1
X
2
→
φ
2
P
{\displaystyle {\begin{array}{ccc}X&\xrightarrow {\alpha _{1}} &X_{1}\\\downarrow _{\alpha _{2}}&&\downarrow _{\varphi _{1}}\\X_{2}&\xrightarrow {\varphi _{2}} &P\end{array}}}
wird bisweilen als Pushout bezeichnet. Es gibt die zum Pullback analoge Schreibweise
P
=
X
1
⊔
X
X
2
{\displaystyle P=X_{1}\sqcup _{X}X_{2}}
.
Beispiele
Jedes Pullback in einer Kategorie
K
{\displaystyle {\mathcal {K}}}
ist ein Pushout in der dualen Kategorie
K
o
p
{\displaystyle {\mathcal {K}}^{op}}
, denn offenbar ist das Pushout genau das zum Pullback duale Konzept.
In einer abelschen Kategorie ist das Pushout zu
X
→
α
1
X
1
↓
0
0
{\displaystyle {\begin{array}{ccc}X&\xrightarrow {\alpha _{1}} &X_{1}\\\downarrow _{0}&&\\0&&\end{array}}}
gleich dem Kokern von
α
1
{\displaystyle \alpha _{1}}
.
Ist mit obigen Bezeichnungen
X
{\displaystyle X}
das Nullobjekt einer additiven Kategorie , so ist das Pushout gleich der direkten Summe
X
1
⊕
X
2
{\displaystyle X_{1}\oplus X_{2}}
.
Das einleitende Beispiel zeigt, dass es in der Kategorie der
R
{\displaystyle R}
-Moduln stets Pushouts gibt.
In der Kategorie der Gruppen existiert stets ein Pushout. Mit obigen Bezeichnungen ist dieses gleich dem freien Produkt
X
1
∗
X
2
{\displaystyle X_{1}*X_{2}}
modulo dem von
{
α
1
(
x
)
α
2
(
x
)
−
1
:
x
∈
X
}
{\displaystyle \{\alpha _{1}(x)\alpha _{2}(x)^{-1}:\,x\in X\}}
erzeugten Normalteiler
N
{\displaystyle N}
mit den natürlichen Abbildungen
φ
i
:
X
i
→
X
1
∗
X
2
→
X
1
∗
X
2
/
N
{\displaystyle \varphi _{i}:X_{i}\rightarrow X_{1}*X_{2}\rightarrow X_{1}*X_{2}/N}
[ 3] Diese Konstruktion tritt beim Satz von Seifert-van Kampen auf.
In der Kategorie der kommutativen Ringe mit Einselement ist das Pushout mit obigen Bezeichnungen gleich dem Tensorprodukt
X
1
⊗
X
X
2
{\displaystyle X_{1}\otimes _{X}X_{2}}
versehen mit der Eins
1
⊗
1
{\displaystyle 1\otimes 1}
und der durch
(
a
⊗
b
)
⋅
(
c
⊗
d
)
:=
(
a
⋅
c
)
⊗
(
b
⋅
d
)
{\displaystyle (a\otimes b)\cdot (c\otimes d):=(a\cdot c)\otimes (b\cdot d)}
bestimmten Multiplikation.
In der Kategorie der Mengen ist das Pushout
(
X
1
⊔
X
2
)
/
∼
{\displaystyle (X_{1}\sqcup X_{2})/{\sim }}
, wobei
∼
{\displaystyle \sim }
die von
{
(
α
1
(
x
)
,
α
2
(
x
)
)
:
x
∈
X
}
{\displaystyle \{(\alpha _{1}(x),\alpha _{2}(x)):x\in X\}}
erzeugte Äquivalenzrelation auf der disjunkten Vereinigung
X
:=
X
1
⊔
X
2
{\displaystyle X:=X_{1}\sqcup X_{2}}
ist.
Ähnlich lassen sich Pushouts von topologischen Räumen beschreiben. Diese spielen bei Verklebekonstruktionen eine Rolle.
Einzelnachweise
↑ Louis D. Tarmin: Lineare Algebra, Moduln 2 , Buch X Verlag (April 2008), ISBN 3-934671-51-9, Satz 4.158.3
↑ Peter Hilton: Lectures in Homological Algebra , American Mathematical Society (2005), ISBN 0-8218-3872-5, Definition 4.1
↑ Joseph J. Rotman: An Introduction to the Theory of Groups . Springer, Graduate Texts in Mathematics, 1995, ISBN 0-387-94285-8, Theorem 11.58