Pyridoxin
| Strukturformel | |||||||||
|---|---|---|---|---|---|---|---|---|---|
![]() | |||||||||
| Allgemeines | |||||||||
| Trivialname | Pyridoxin | ||||||||
| Andere Namen | |||||||||
| Summenformel | C8H11NO3 | ||||||||
| CAS-Nummer | |||||||||
| ATC-Code |
A11HA02 | ||||||||
| Kurzbeschreibung | farbloser Feststoff | ||||||||
| Vorkommen | Leber, Geflügel, Mais, Hefe | ||||||||
| Physiologie | |||||||||
| Funktion | wichtiges Coenzym u. a. im Aminosäurestoffwechsel und der Glykogenolyse | ||||||||
| Täglicher Bedarf | 1,2–1,5 mg | ||||||||
| Folgen bei Mangel | Durchfall und Erbrechen, Dermatitis, Krampfzustände, neurologische Störungen | ||||||||
| Überdosis | > 500 mg·d−1 | ||||||||
| Eigenschaften | |||||||||
| Molare Masse | 169,18 g·mol−1 | ||||||||
| Aggregatzustand | fest[2] | ||||||||
| Schmelzpunkt | |||||||||
| Löslichkeit | löslich in Wasser (120 g·l−1 bei 20 °C)[2] | ||||||||
| Sicherheitshinweise | |||||||||
| |||||||||
| Toxikologische Daten |
| ||||||||
| Soweit möglich und gebräuchlich, werden SI-Einheiten verwendet. Wenn nicht anders vermerkt, gelten die angegebenen Daten bei Standardbedingungen. | |||||||||
Pyridoxin ist eine feste, wasserlösliche chemische Verbindung. Sie gehört der Vitamin B6-Gruppe an.
Zu dieser Gruppe gehören auch Pyridoxal, Pyridoxamin sowie die jeweiligen phosphorylierten Derivaten, die in vivo leicht ineinander umgewandelt werden. Der wichtigste Vertreter ist jedoch Pyridoxalphosphat.
Geschichte
Die physiologische Bedeutung von Pyridoxin wurde durch diätetische Fütterversuche an Ratten 1934 durch Paul György entdeckt und die Verbindung erstmals 1938 kristallin dargestellt. Die vollständige Aufklärung seiner Konstitution gelang bereits ein Jahr später. Der Wirkmechanismus wurde insbesondere von Alexander E. Braunstein in den 1950er Jahren geklärt. Heute wird Pyridoxin zur Gruppe der B-Vitamine als Vitamin B6 gezählt und findet, wie auch sein Hydrochlorid, als Arzneistoff Anwendung.
Vorkommen
Pyridoxin kommt hauptsächlich im pflanzlichen Gewebe vor.[4]
Bedarf
In der Literatur wird der Bedarf mit 1,2–1,5 mg pro Tag angegeben.
Synthese
Synthese nach Roche / DSM
Als Ausgangspunkt dient hier 2-Chloracetessigsäureethylester, der mit Formamid zum 4-Methyloxazol-5-carbonsäureester kondensiert wird. Im nächsten Schritt wird aus diesem mit Ammoniak das Amid gebildet und anschließend mit Phosphorpentoxid in das Nitril überführt. Das so entstandene 4-Methyloxazol-5-carbonitril reagiert in einer Diels-Alder-Reaktion mit dem cyclischen Ketal von 2-Buten-1,4-diol bei 180 °C zum Primäraddukt, das unter Cyanwasserstoffabspaltung das cyclische Ketal von Pyridoxin mit Aceton ergibt. Eine saure Spaltung liefert schließlich Pyridoxin.[3]
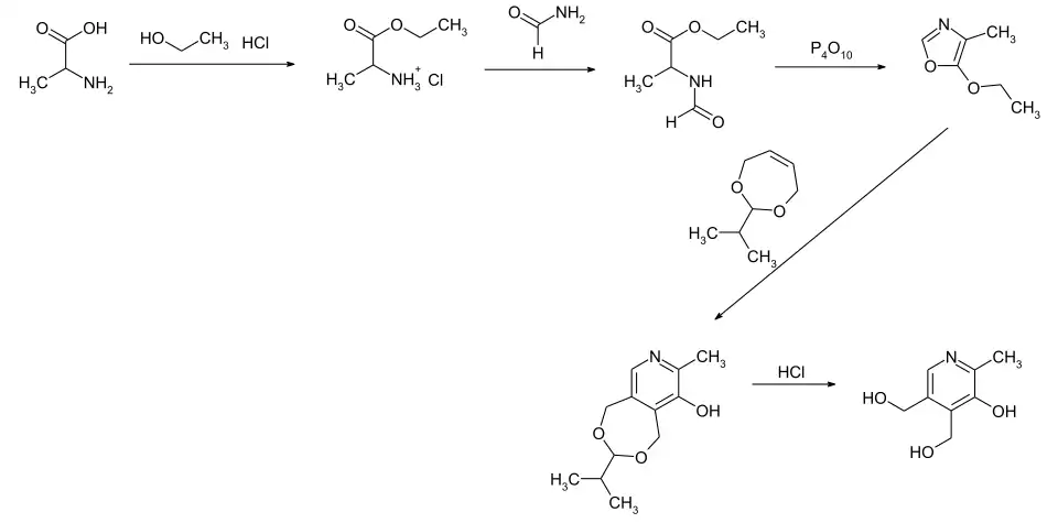
Synthese nach MSD
Die Firma MSD beginnt mit DL-Alanin, das mit Ethanol und HCl zum Ethylester-Hydrochlorid verestert wird. Mit Formamid entsteht im nächsten Schritt der N-Formyl-DL-alanin-ethylester, der mit Phosphorpentoxid zum 5-Ethoxy-4-methyloxazol reagiert. Dieses wird mit 2-Isopropyl-4,7-dihydro-1,3-dioxepin, dem Acetal aus 2-Buten-1,4-diol und Isobutyraldehyd, bei 180 °C und anschließender saurer Spaltung zu Pyridoxin umgesetzt.[3]
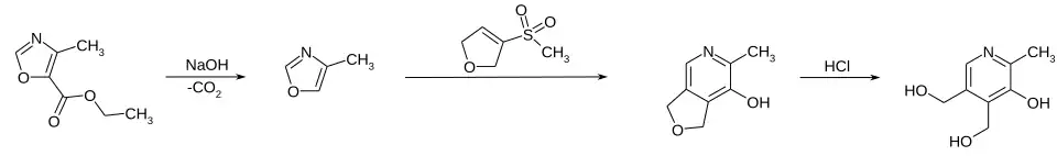
Synthese nach BASF
Bei der Methode der BASF wird der Methyloxazol-5-carbonsäureester zuerst alkalisch hydrolysiert und anschließend unter Wärmezufuhr decarboxyliert. Das entstandene 4-Methyloxazol wird mit 3-Methylsulfonyl-2,5-dihydrofuran zu 6-Methyl-1,3-dihydrofuro[3,4-c]pyridin-7-ol umgesetzt. Dieses wird mit Salzsäure zum Endprodukt gespalten.[3]
Pyridoxin und Traumerleben
Eine Studie von 2002 mit 12 Probanden berichtete, dass bei der täglichen Einnahme von 250 mg Pyridoxin vor dem Schlafengehen sich nach drei Tagen ein stärkeres Traumerleben einstellte.[5] Diese Ergebnisse wurden durch eine randomisierte, doppelblinde, Placebo-kontrollierte Folgestudie (2018) mit 100 Probanden validiert.[6]
Siehe auch
Literatur
- Kleemann, Engel: Pharmaceutical Substances. 3rd Edition; Thieme Verlag 1999.
- Auterhoff, Knabe, Höltje: Lehrbuch der Pharmazeutischen Chemie. 14. Auflage; Wissenschaftliche Verlagsgesellschaft mbH, Stuttgart 1999.
- Eger, Troschütz, Roth: Arzneistoffanalyse. 4. Auflage; Deutscher Apotheker Verlag, Stuttgart 1999.
- Kleemann, Roth: Arzneistoffgewinnung. Thieme Verlag 1983.
- Karin Hauser: Vitamine. In: J. Rassow, K. Hauser, R. Deutzmann et al. (Hrsg.): Duale Reihe Biochemie. 4. Auflage. Thieme, Stuttgart 2016, doi:10.1055/b-003-129341.
Weblinks
Einzelnachweise
- ↑ Eintrag zu PYRIDOXINE in der CosIng-Datenbank der EU-Kommission, abgerufen am 13. November 2021.
- ↑ a b c d e Datenblatt Pyridoxine, ≥98% bei Sigma-Aldrich, abgerufen am 25. Juni 2017 (PDF).
- ↑ a b c d e f g h i j A. Kleemann, J. Engel, B. Kutscher, D. Reichert: Pharmaceutical Substances - Synthesis, Patents, Applications. 4. Auflage. Thieme 2001, ISBN 3-13-115134-X.
- ↑ Ermin Welzl: Biochemie der Ernährung. Walter de Gruyter, 1985, ISBN 978-3-11-085431-2, S. 231 (eingeschränkte Vorschau in der Google-Buchsuche).
- ↑ Matthew Ebben, Anthony Lequerica, Arthur Spielman: Effects of pyridoxine on dreaming: a preliminary study. In: Perceptual and Motor Skills. Band 94, Nr. 1, 2002, S. 135–140, doi:10.2466/pms.2002.94.1.135, PMID 11883552.
- ↑ Denholm J. Aspy, Natasha A. Madden, Paul Delfabbro: Effects of Vitamin B6 (Pyridoxine) and a B Complex Preparation on Dreaming and Sleep. In: Perceptual and Motor Skills. Band 125, Nr. 3, 17. April 2018, S. 451–462, doi:10.1177/0031512518770326, PMID 29665762.

