Quazepam
| Strukturformel | ||||||||||||||||||||||
|---|---|---|---|---|---|---|---|---|---|---|---|---|---|---|---|---|---|---|---|---|---|---|
| ||||||||||||||||||||||
| Allgemeines | ||||||||||||||||||||||
| Name | Quazepam | |||||||||||||||||||||
| Andere Namen |
7-Chlor-5-(2-fluorphenyl)-1,3-dihydro-1-(2,2,2-trifluorethyl)-2H-1,4-benzodiazepin-2-thion | |||||||||||||||||||||
| Summenformel | C17H11ClF4N2S | |||||||||||||||||||||
| Kurzbeschreibung |
weißer Feststoff[1] | |||||||||||||||||||||
| Externe Identifikatoren/Datenbanken | ||||||||||||||||||||||
| ||||||||||||||||||||||
| Arzneistoffangaben | ||||||||||||||||||||||
| ATC-Code |
N05CD10 | |||||||||||||||||||||
| Eigenschaften | ||||||||||||||||||||||
| Molare Masse | 386,79 g·mol−1 | |||||||||||||||||||||
| Aggregatzustand |
fest[2] | |||||||||||||||||||||
| Schmelzpunkt | ||||||||||||||||||||||
| Löslichkeit | ||||||||||||||||||||||
| Sicherheitshinweise | ||||||||||||||||||||||
| ||||||||||||||||||||||
| Toxikologische Daten | ||||||||||||||||||||||
| Wenn nicht anders vermerkt, gelten die angegebenen Daten bei Standardbedingungen (0 °C, 1000 hPa). | ||||||||||||||||||||||
Quazepam ist eine chemische Verbindung aus der Gruppe der Benzodiazepine, der strukturell mit Flurazepam und Temazepam verwandt ist.
Gewinnung und Darstellung
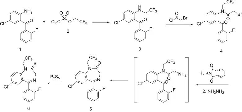
Quazepam kann durch den Herstellungsprozess von Diazepam (Friedel-Crafts-Alkylierung) gewonnen werden, wobei die Alkylierung mit Trifluorethylbromid[S 1] BrCH2CF3 oder Trifluorethyltrichlormethansulfonat[S 2] durchgeführt wird und eine anschließende Behandlung mit Phosphorpentasulfid zur Bildung des Thioamids eingesetzt wird.[5]
Eigenschaften
Quazepam ist ein Trifluorethylbenzodiazepin-Hypnotikum mit einer Halbwertszeit von 27 bis 41 Stunden.[6]
Verwendung
Quazepam wird als Sedativum und Hypnotikum eingesetzt.[3] Es wurde erstmals 1985 in den USA zugelassen und wird als Hypnotikum zur Behandlung von Schlaflosigkeit eingesetzt.[7][8] In Deutschland ist Quazepam nicht auf dem Markt erhältlich.[9] Viele Arzneistoffe und Grapefruitsaft können die Wirkung von Quazepam verstärken.[10]
Handelsnamen
- Doral
Regulierung
Über den Safe Drinking Water and Toxic Enforcement Act of 1986 besteht in Kalifornien seit dem 26. August 1997 eine Kennzeichnungspflicht für Produkte, die Quazepam enthalten.[11]
Einzelnachweise
- ↑ a b c Farzad Zamani, Esmail Doustkhah: Benzodiazepine-Based Drug Discovery. Elsevier, 2022, ISBN 978-0-323-86010-9, S. 168 (eingeschränkte Vorschau in der Google-Buchsuche).
- ↑ a b c Datenblatt Quazepam bei Sigma-Aldrich, abgerufen am 11. Februar 2025 (PDF).
- ↑ a b Franz v. Bruchhausen, Siegfried Ebel, Eberhard Hackenthal: Hagers Handbuch der Pharmazeutischen Praxis. Springer Berlin Heidelberg, ISBN 978-3-642-58388-9, S. 484 (eingeschränkte Vorschau in der Google-Buchsuche).
- ↑ a b G. W. A. Milne: Drugs. Wiley, 2002, ISBN 0-566-08491-0, S. 708 (eingeschränkte Vorschau in der Google-Buchsuche).
- ↑ Sriram D.: Medicinal Chemistry. Pearson Education, 2010, ISBN 978-81-317-3144-4, S. 137 (eingeschränkte Vorschau in der Google-Buchsuche).
- ↑ Stephen I. Ankier, Karen L. Goa: Quazepam. In: Drugs. Band 35, Nr. 1, 1988, S. 42–62, doi:10.2165/00003495-198835010-00003.
- ↑ DrugBank Online: Quazepam: Uses, Interactions, Mechanism of Action | DrugBank Online, abgerufen am 11. Februar 2025.
- ↑ Nader H. Moniri: Reintroduction of quazepam: an update on comparative hypnotic and adverse effects. In: International Clinical Psychopharmacology. Band 34, Nr. 6, 2019, S. 275, doi:10.1097/YIC.0000000000000277.
- ↑ DocCheck Flexikon: Quazepam - DocCheck Flexikon, abgerufen am 11. Februar 2025.
- ↑ John Preston, John H. O'Neal, Mary C. Talaga: A Consumer's Guide to Psychiatric Drugs. Pocket Books, 2008, ISBN 978-1-4165-7912-0, S. 455 (eingeschränkte Vorschau in der Google-Buchsuche).
- ↑ Quazepam. OEHHA, 26. August 1997, abgerufen am 11. Februar 2025 (englisch).
Externe Links zu erwähnten Verbindungen
- ↑ Externe Identifikatoren von bzw. Datenbank-Links zu Trifluorethylbromid: CAS-Nr.: 421-06-7, EG-Nr.: 207-001-7, ECHA-InfoCard: 100.006.366, PubChem: 67898, ChemSpider: 61215, Wikidata: Q27270694.
- ↑ Externe Identifikatoren von bzw. Datenbank-Links zu Trifluorethyltrichlormethansulfonat: CAS-Nr.: 23199-56-6, EG-Nr.: 245-484-6, ECHA-InfoCard: 100.041.334, PubChem: 90027, ChemSpider: 81272, Wikidata: Q83048120.

