Resiniferatoxin
| Strukturformel | ||||||||||||||||
|---|---|---|---|---|---|---|---|---|---|---|---|---|---|---|---|---|
| ||||||||||||||||
| Allgemeines | ||||||||||||||||
| Freiname | Resiniferatoxin | |||||||||||||||
| Andere Namen |
| |||||||||||||||
| Summenformel | C37H40O9 | |||||||||||||||
| Kurzbeschreibung |
weißer Feststoff[1] | |||||||||||||||
| Externe Identifikatoren/Datenbanken | ||||||||||||||||
| ||||||||||||||||
| Arzneistoffangaben | ||||||||||||||||
| Wirkstoffklasse |
TRPV1-Agonist | |||||||||||||||
| Eigenschaften | ||||||||||||||||
| Molare Masse | 628,71 g·mol−1 | |||||||||||||||
| Aggregatzustand |
fest | |||||||||||||||
| Dichte |
1,35 g·cm−3[2] | |||||||||||||||
| Sicherheitshinweise | ||||||||||||||||
| ||||||||||||||||
| Wenn nicht anders vermerkt, gelten die angegebenen Daten bei Standardbedingungen (0 °C, 1000 hPa). | ||||||||||||||||
Resiniferatoxin (abgekürzt RTX) ist ein Naturstoff, der sich in Euphorbia resinifera findet. Der Milchsaft dieser Pflanze enthält eine hohe Konzentration von Resiniferatoxin.[3] Es ist ein stark hautreizender Diterpen-Ester aus der Daphnan-Gruppe.[2]
Biologische Aktivität

Resiniferatoxin ist im Geschmack 500- bis 1000-mal schärfer als Capsaicin, das in Paprika- oder Chilischoten enthalten ist.[4] Resiniferatoxin gilt als die schärfste Chemikalie der Welt, auf der Scoville-Skala besitzt es einen Wert von 16 Milliarden.[5]
Bereits in sehr geringen Konzentrationen verursacht der Kontakt mit Resiniferatoxin sofort starke brennende Schmerzen. Bei der Aufnahme kommt es bei Säugetieren zu neurogenen Entzündungen und Hypothermie, wobei in Experimenten mit Ratten ein Temperaturverlust von 2–3 K innerhalb einer Stunde festgestellt wurde. Im Anschluss erfolgt der Verlust der körpereigenen Thermoregulation sowie eine Desensibilisierung gegenüber neurogenen Entzündungen. Es tritt chemische und thermische Analgesie ein.[6]
Die Toxizität von Resiniferatoxin beruht auf der spezifischen Stimulation sensorischer Rezeptoren in den Ganglien, insbesondere der Wärmerezeptoren.[7] Die Anregung der für die Wahrnehmung von Schmerz verantwortlichen sensorischen Neuronen erfolgt zellselektiv über die Aktivierung des transienten Rezeptor-Proteins TRPV1. Dieses Vanilloid-Rezeptorprotein stellt einen Ionenkanal in der Plasmamembran der Neuronen dar, welcher durch die Stimulation mit Resiniferatoxin für Calcium-Ionen durchlässig wird. Durch die Wanderung der Ionen erfolgt eine vermehrte intrazelluläre Akkumulation der Calcium-Ionen, was wiederum zu der Depolarisierung der Zellmembran führt und anschließend die Löschung der Neuronen zur Folge hat.[8] Der LD50-Wert wurde für Ratten bei oraler Aufnahme zu 148,1 mg pro Kilogramm Körpergewicht festgestellt. Hochgerechnet auf den Menschen[9] verursacht die Aufnahme von ca. 1,5 g Resiniferatoxin sehr wahrscheinlich schwere gesundheitliche Schäden oder führt zum Tode, da durch die Überstimulation der Neuronen die Nervenenden im Körper irreversibel beschädigt werden.
Verwendung
Resiniferatoxin ist kein zugelassenes Arzneimittel. Es wird für die Anwendung zur intravesikalen Behandlung der interstitiellen Zystitis, einer chronischen und sehr schmerzhaften Entzündung der Blasenwand (Blasenschmerzsyndrom, englisch bladder pain syndrome, BPS), erforscht.[10][11]
Die Autoren eines 2022 veröffentlichten Review-Artikels kommen zu dem Ergebnis, dass es keine Hinweise darauf gibt, dass Injektionen von Resiniferatoxin die Symptome bei interstitieller Zystitis verbessern können.[12]
Außerdem wird eine Verwendung als Schmerzmittel, vor allem bei chronischen Krankheiten erforscht. Hierbei wird die Wirkung von Resiniferatoxin auf Nervenzellen ausgenutzt, besonders die Fähigkeit, selektiv Nervenzellen bis zu ihrer irreversiblen Zerstörung zu schädigen, und ist dadurch für die Behandlung von chronischen Schmerzen hoch interessant. Durch die Zerstörung von Nervenzellen im Applikationsbereich kommt es zu einer selektiven Desensibilisierung und Schmerzlinderung in den betreffenden Bereichen.[13][14] Resiniferatoxin wird dabei als mögliche Alternative für beispielsweise Opioide in der Langzeit-Schmerzbehandlung gesehen. Als Vorteil gilt eine für den Patienten spezifische Behandlung seiner Beschwerden aufgrund der selektiven Wirkung und Verabreichung von Resiniferatoxin gegenüber anderen Schmerzmedikamenten.
Die selektive Wirkung von Resiniferatoxin beruht auf der sehr spezifischen Beeinflussung von Nervenzellen, wobei lediglich Zellen mit den TRPV1-Rezeptoren absterben beziehungsweise beeinflusst werden und die restlichen Nervenzellen intakt bleiben. Aufgrund dieser sehr spezifischen Wirkung wird Resiniferatoxin auch als Molekulares Skalpell bezeichnet.[15][16][17]
Die Verabreichung von Resiniferatoxin kann über Injektionen in die Ganglien nahe der Wirbelsäule erfolgen, wobei die Dosis und der Verabreichungsort auf den Patienten angepasst werden können. Hier scheint die Dosis und der Verabreichungsort großen Einfluss auf den Erfolg der Therapie zu haben. Die Wirkung von Resiniferatoxin reicht von einer teilweise reversiblen Desensibilisierung bis zu einem permanenten erheblichen Schmerzlinderung in der betroffenen Region, in Abhängigkeit von der verabreichten Dosis. Hierdurch könnte sich ein breites Anwendungsspektrum ergeben, einerseits für Patienten mit vorübergehenden oder chronischen Schmerzen und andererseits für schwerkranke Patienten mit einer limitierten Lebenserwartung.[13][14][18]
Die Verabreichung erfolgt unter Narkose, da die Verabreichung sehr schmerzhaft ist, bevor die Nervenzellen absterben und keine weiteren Signale mehr weiterleiten können. Weiterhin ist zu beachten, dass Resiniferatoxin nicht alle Schmerzen unterdrückt, so bleiben Schmerzen als Folge mechanischer Reize erhalten. Außerdem birgt die Verabreichung von Resiniferatoxin unter anderem die Nebenwirkung, dass das allgemeine Hitzeempfinden geschwächt oder verloren wird. Daher wird Resiniferatoxin bisher nur lokal verabreicht, um diese Nebenwirkung nur auf den Applikationsbereich zu beschränken.[16][17][18]
Totalsynthese

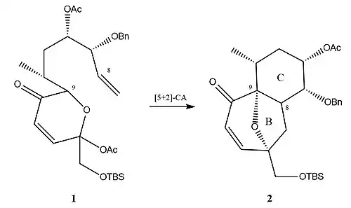
Die erste asymmetrische Totalsynthese von (+)-Resiniferatoxin gelang der Arbeitsgruppe von Paul Wender an der Stanford University im Jahre 1997. Der Aufbau des aliphatischen, trizyklischen Daphnan-Gerüsts stellte hierbei die größte Herausforderung dar. Der Hauptschritt der Synthese kann in der Abbildung betrachtet werden. Verbindung 2 wird in einem Schritt aus Verbindung 1 erhalten, wobei die Ringe B und C gebildet werden und die korrekte Sterik an den asymmetrisch substituierten Kohlenstoffatomen C8 und C9 erhalten wird. Die verwendete Reaktion war hierbei eine Oxidopyrilium-Cycloaddition, welche sich, im Gegensatz zur Diels-Alder-Reaktion, nicht als [4+2]-, sondern als [5+2]-Addition darstellt. Der Ring A wurde dann, über mehrere Schritte, mittels der funktionellen Gruppen des Enons addiert. Hierdurch konnte das Daphnan-Grundgerüst erhalten werden. Die Totalsynthese beinhaltet 44 einzelne Schritte.[19]
Die aktuellste Totalsynthese von RTX wurde 2022 veröffentlicht. Hierbei werden nur 15 Schritte benötigt.[20]
Einzelnachweise
- ↑ a b c Datenblatt Resiniferatoxin aus a T-cell leukemic cell line, from bei Sigma-Aldrich, abgerufen am 27. November 2020 (PDF).
- ↑ a b Eintrag zu Resiniferatoxin. In: Römpp Online. Georg Thieme Verlag, abgerufen am 27. November 2020.
- ↑ Bruno Vonarburg: Homöotanik: Extravagante Exoten. Haug, Stuttgart 2001, ISBN 3-8304-7029-0, S. 270.
- ↑ National Institutes of Health, Clinical Center Department of Perioperative Medicine Chemical from cactus-like plant shows promise in controlling surgical pain, while leaving touch and coordination intact, rat study shows News release 21. Dezember 2017, abgerufen am 28. Februar 2018.
- ↑ Ph.D. Anne Marie Helmenstine: Resiniferatoxin Is 1,000 Times Hotter Than Pure Hot Pepper Heat. In: thoughtco.com. Dotdash publishing family, 13. Januar 2019, abgerufen am 5. Januar 2020 (englisch).
- ↑ A. Szallasi, P. M. Blumberg: Resiniferatoxin, a phorbol-related diterpene, acts as an ultrapotent analog of capsaicin, the irritant constituent in red pepper. In: Neuroscience. Band 30, Nr. 2, Januar 1989, S. 515–520, doi:10.1016/0306-4522(89)90269-8.
- ↑ Arpad Szallasi, Peter M. Blumberg: Resiniferatoxin and its analogs provide novel insights into the pharmacology of the vanilloid (capsaicin) receptor. In: Life Sciences. Band 47, Nr. 16, Januar 1990, S. 1399–1408, doi:10.1016/0024-3205(90)90518-V.
- ↑ Zoltan Olah, Tamas Szabo, Laszlo Karai, Chris Hough, R. Douglas Fields, Robert M. Caudle, Peter M. Blumberg, Michael J. Iadarola: Ligand-induced Dynamic Membrane Changes and Cell Deletion Conferred by Vanilloid Receptor 1. In: Journal of Biological Chemistry. Band 276, Nr. 14, April 2001, S. 11021–11030, doi:10.1074/jbc.M008392200.
- ↑ AnroopB Nair, Shery Jacob: A simple practice guide for dose conversion between animals and human. In: Journal of Basic and Clinical Pharmacy. Band 7, Nr. 2, 2016, S. 27, doi:10.4103/0976-0105.177703, PMID 27057123, PMC 4804402 (freier Volltext).
- ↑ C. Guo et al.: Intravesical resiniferatoxin for the treatment of storage lower urinary tract symptoms in patients with either interstitial cystitis or detrusor overactivity: a meta-analysis. In: PloS One. 2013, doi:10.1371/journal.pone.0082591.
- ↑ E. G. Mourtzoukou: Resiniferatoxin in the treatment of interstitial cystitis: a systematic review. In: Int Urogynecol J Pelvic Floor Dysfunct. 2008, doi:10.1007/s00192-008-0663-2.
- ↑ D. A. Abelleyra Lastoria, N. Raison, A. Aydin, S. Khan, P. Dasgupta, K. Ahmed: Comparing surgical interventions for interstitial cystitis: A systematic review. In: Lower urinary tract symptoms. Band 14, Nummer 4, Juli 2022, S. 218–241, doi:10.1111/luts.12441, PMID 35393778 (Review).
- ↑ a b Jill-Desiree Brederson, Philip R. Kym, Arpad Szallasi: Targeting TRP channels for pain relief. In: European Journal of Pharmacology. Band 716, Nr. 1–3, 15. September 2013, S. 61–76, doi:10.1016/j.ejphar.2013.03.003, PMID 23500195.
- ↑ a b Michael J. Iadarola: Unilateral Periganglionic Resiniferatoxin for Personalized Pain Treatment. In: Pain Medicine (Malden, Mass.). Band 22, Nr. 3, 18. März 2021, S. 767–768, doi:10.1093/pm/pnaa393, PMID 33106868, PMC 8453629 (freier Volltext).
- ↑ Dorothy Cimino Brown: Resiniferatoxin: The Evolution of the "Molecular Scalpel" for Chronic Pain Relief. In: Pharmaceuticals. Band 9, Nr. 3, 11. August 2016, S. 47, doi:10.3390/ph9030047, PMID 27529257, PMC 5039500 (freier Volltext).
- ↑ a b J. Heiss, M. Iadarola, F. Cantor, A. Oughourli, R. Smith, A. Mannes: (364) A Phase I study of the intrathecal administration of resiniferatoxin for treating severe refractory pain associated with advanced cancer. In: The Journal of Pain. Band 15, Nr. 4, April 2014, S. S67, doi:10.1016/j.jpain.2014.01.275.
- ↑ a b Michael J. Iadarola, Andrew J. Mannes: The vanilloid agonist resiniferatoxin for interventional-based pain control. In: Current Topics in Medicinal Chemistry. Band 11, Nr. 17, 2011, S. 2171–2179, doi:10.2174/156802611796904942, PMID 21671877, PMC 4289604 (freier Volltext).
- ↑ a b Jacob D. Brown, Maythem Saeed, Loi Do, Joao Braz, Allan I. Basbaum, Michael J. Iadarola, David M. Wilson, William P. Dillon: CT-guided injection of a TRPV1 agonist around dorsal root ganglia decreases pain transmission in swine. In: Science Translational Medicine. Band 7, Nr. 305, 16. September 2015, S. 305ra145, doi:10.1126/scitranslmed.aac6589, PMID 26378245, PMC 4854290 (freier Volltext).
- ↑ Paul A. Wender, Cynthia D. Jesudason, Hiroyuki Nakahira, Norikazu Tamura, Anne Louise Tebbe, Yoshihide Ueno: The First Synthesis of a Daphnane Diterpene: The Enantiocontrolled Total Synthesis of (+)-Resiniferatoxin. In: Journal of the American Chemical Society. Band 119, Nr. 52, 1. Dezember 1997, S. 12976–12977, doi:10.1021/ja972279y.
- ↑ Vasil H. Vasilev, Lukas Spessert, Kuan Yu, Thomas J. Maimone: Total Synthesis of Resiniferatoxin. In: Journal of the American Chemical Society. Band 144, Nr. 36, 14. September 2022, S. 16332–16337, doi:10.1021/jacs.2c08200.


