Squalen
| Strukturformel | ||||||||||||||||||||||
|---|---|---|---|---|---|---|---|---|---|---|---|---|---|---|---|---|---|---|---|---|---|---|
| Allgemeines | ||||||||||||||||||||||
| Name | Squalen | |||||||||||||||||||||
| Andere Namen | ||||||||||||||||||||||
| Summenformel | C30H50 | |||||||||||||||||||||
| Kurzbeschreibung |
farblose, ölige Flüssigkeit mit schwachem Geruch[2] | |||||||||||||||||||||
| Externe Identifikatoren/Datenbanken | ||||||||||||||||||||||
| ||||||||||||||||||||||
| Eigenschaften | ||||||||||||||||||||||
| Molare Masse | 410,71 g·mol−1 | |||||||||||||||||||||
| Aggregatzustand |
flüssig | |||||||||||||||||||||
| Dichte |
0,86 g·cm−3[2] | |||||||||||||||||||||
| Schmelzpunkt | ||||||||||||||||||||||
| Siedepunkt |
275 °C (20 hPa)[4] | |||||||||||||||||||||
| Löslichkeit |
nahezu unlöslich in Wasser[2] | |||||||||||||||||||||
| Brechungsindex |
1,4990 (20 °C)[5] | |||||||||||||||||||||
| Sicherheitshinweise | ||||||||||||||||||||||
| ||||||||||||||||||||||
| Toxikologische Daten | ||||||||||||||||||||||
| Wenn nicht anders vermerkt, gelten die angegebenen Daten bei Standardbedingungen (0 °C, 1000 hPa). Brechungsindex: Na-D-Linie, 20 °C | ||||||||||||||||||||||
Squalen (mit Betonung auf der letzten Silbe Squalen), Summenformel: C30H50, ist eine organische, ungesättigte Verbindung aus der Gruppe der Triterpene und der Gruppe der Kohlenwasserstoffe, die von allen höheren Organismen produziert wird. Der Stoff spielt auch im menschlichen Stoffwechsel eine wichtige Rolle.[7]
Geschichte
Squalen wurde 1906 von Mitsumaru Tsujimoto in Haifischleber entdeckt und 1916[8] als Reinsubstanz isoliert.[9] Er erkannte es als Kohlenwasserstoff, bestimmte die korrekte Summenformel C30H50 und schlug aufgrund der Herkunft aus Haifischleber den Namen „Squalen“ vor, nach der Familie der Squalidae (lateinisch squalus ‚Haifisch‘).[10] Die systematische medizinische Forschung wurde erst 1930 durch Keijiro Kogami von der Tokyo Imperial University angestoßen.
Nobelpreisträger Paul Karrer verifizierte 1931 die exakte chemische Struktur des Squalens durch Totalsynthese.[11][12][13] 1935 wurde Squalen erstmals in Olivenöl und damit in einem pflanzlichen Produkt aufgefunden.[14][15]
Natürliches Vorkommen
Squalen ist in der Natur weit verbreitet, da es in allen höheren Lebewesen und damit auch im Menschen vorkommt. Es ist ein wesentlicher Bestandteil der Hautlipide[16] und kommt ebenfalls im menschlichen Blutserum vor.[17] Die natürliche Menge von körpereigenem Squalen im menschlichen Blut beträgt etwa 250 ng/ml.[18][19]
Squalen kommt in verschiedenen Lebensmitteln in hohen Konzentrationen vor, beispielsweise in Ziegenmilch[20] und in vielen pflanzlichen Ölen wie Olivenöl (0,1–0,7 %), Weizenkeimöl oder Reisöl (unter 0,03 %). Das Hauptvorkommen sind allerdings Fischöle. Am höchsten ist der Gehalt in Lebertran verschiedener Haie (40–90 %), doch auch in vielen anderen Fischölen ist es in hohem Anteil (bis zu 30 %) enthalten.[21]
Eigenschaften und biologische Wirkung
Squalen ist eine farblose, ölige Flüssigkeit, die aufgrund ihres ungesättigten Charakters aus der Luft Sauerstoff aufnimmt und leicht polymerisiert. Es ist nahezu unlöslich in Wasser, aber gut löslich in Aceton, Ether, Petrolether und anderen unpolaren Lösungsmitteln.[22] Squalen ist ein Antioxidans[23] und kann im Gegensatz zu den meisten anderen Antioxidantien in höheren Konzentrationen im Körper gespeichert werden. So können beispielsweise Lycopin und Ubichinon nicht auf hohem Niveau im menschlichen Körper gespeichert werden, da sie bereits bei Konzentrationen von mehr als 10 µM toxisch wirken, während Squalen selbst bei 100 µM nicht toxisch wirkt.[24]
In Nahrung erhaltenes Squalen wird größtenteils über den Magen-Darm-Trakt aufgenommen und im Körper metabolisiert.[25]
Verwendung
Squalen wird industriell zu Squalan hydriert, das als Salbengrundlage, aber auch als Schmiermittel und Transformatorenöl Verwendung findet.[22]
Squalen ist Bestandteil von Adjuvanzien wie zum Beispiel AS03 und MF59, die als Wirkverstärker Impfstoffen zugesetzt werden.[26][27] Reines Squalen selbst entfaltet dabei nicht eine Wirkung als Adjuvans.[28] Squalenhaltige Adjuvanzien als Emulsion sind beispielsweise in den Impfstoffen Pandemrix oder Celtura enthalten,[29] die in Deutschland zur Eindämmung der Pandemie H1N1 2009 im Rahmen der Schweinegrippe-Impfung eingesetzt wurden. Die bei Impfstoffen enthaltene Squalenmenge überschreitet dabei nicht die Menge, die täglich durch die Nahrung aufgenommen wird.[25] Zur Verwendung in Impfstoffen muss das verwendete Squalen einen hohen Reinheitsgehalt aufweisen.[30] Dieses wird in der Regel aus der Leber von Haien gewonnen, insbesondere der von Dornhaien.[28] Alternative Quellen aus Pflanzen („Phytosqualan“) oder aus Mikroorganismen (z. B. aus marinen Hefearten)[28][31] werden untersucht. Darüber hinaus wird Squalen als Bestandteil neuerer Adjuvanzien wie CAF19 und CAF24 (Cationic Adjuvant Formulation) getestet.[32]
In der Alternativmedizin wird Haifischleberöl als Mittel u. a. gegen Krebserkrankungen, chronische Müdigkeit und als Stärkung des Immunsystems propagiert.[33] Der aktive Wirkstoff soll hierbei Squalen sein, das im Haifischleberöl und anderen Fischölen reichlich vorhanden ist. Tatsächlich fehlen für die Verwendung des Haifischleberöls oder eines seiner Bestandteile als Therapeutikum ausreichenden Belege in Form von klinischen Studien. Außerdem wurde für tierexperimentelle Arbeiten Squalen injiziert, nicht oral verabreicht.[33]
Biosynthese
Squalen wird ausgehend von Isopentenylpyrophosphat durch eine Reihe von Kondensationsreaktionen synthetisiert. Dabei entsteht zunächst Geranylpyrophosphat, dieses kondensiert dann mit Isopentenylpyrophosphat zu Farnesylpyrophosphat. Alle Kondensationen katalysiert die Geranyltransferase. Zwei Moleküle Farnesylpyrophosphat werden schließlich unter NADPH-Verbrauch zu Squalen verknüpft, was durch die Squalensynthase im endoplasmatischen Retikulum katalysiert wird.

Analytik
Die zuverlässige qualitative und quantitative Bestimmung in den unterschiedlichen Untersuchungsgütern gelingt nach angemessener Probenvorbereitung durch die Kopplung der Gaschromatographie mit der Massenspektrometrie.[34][35][36] Auch für forensische Untersuchungen von Fingerabdrücken kann die Methode eingesetzt werden.[37][38]
Funktion
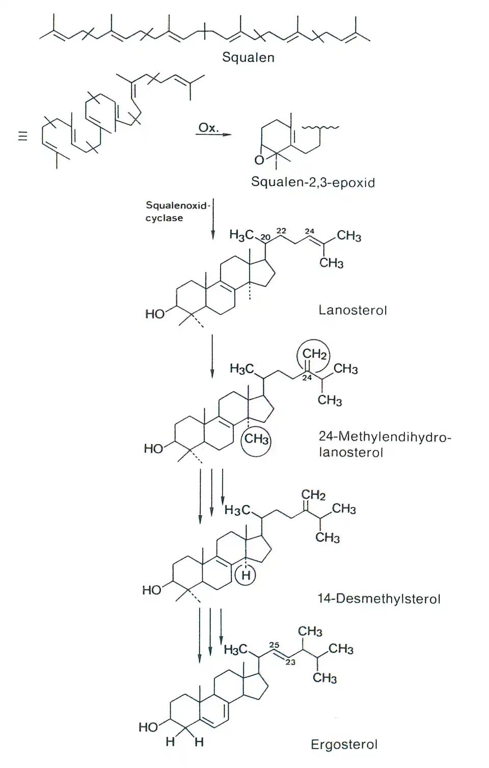
Squalen wird für die Synthese aller cyclischen Triterpene und Steroide als Zwischenstufe gebildet,[22] etwa in der Biosynthese von Cholesterin, Steroiden (Hormonen wie u. a. Östrogene, Testosteron, Kortisol) und Vitamin D. Dabei wird Squalen zunächst durch eine Monooxygenase unter NADPH-Verbrauch aktiviert, es entsteht Squalenepoxid (2,3-Oxidosqualen). Dieses wird schließlich durch die Oxidosqualencyclase in Lanosterin cyclisiert. Durch eine Reihe nachfolgender Reaktionen entstehen entweder Cholesterin oder Ergosterin.


Gesundheitliche Kontroverse
Aufgrund seiner aktivierenden Wirkung auf das Immunsystem wurde oft vermutet, dass Squalen unter bestimmten Bedingungen Autoimmunkrankheiten auslösen oder deren Entwicklung begünstigen kann. Unter anderem wurde Squalen mit dem Golfkriegs-Syndrom in Verbindung gebracht, da es vermeintlich in dem Anthrax-Impfstoff enthalten war, mit welchem am Golfkrieg 1991 beteiligte amerikanische Soldaten gegen den als biologische Waffe einsetzbaren Milzbranderreger Bacillus anthracis immunisiert werden sollten.
Der Zusammenhang zwischen Squalen und Golfkriegs-Syndrom wird in erster Linie auf eine Studie aus dem Jahr 2000 von Asa et al. mit 144 Golfkriegsveteranen zurückgeführt. Die Ergebnisse dieser Studie besagen, dass bei 95 % der untersuchten am Golfkriegs-Syndrom erkrankten Veteranen und bei 0 % (< 0.001 %) der nicht erkrankten Veteranen Antikörper gegen Squalen festgestellt wurden, was als Hinweis auf einen Zusammenhang zwischen Squalen und Symptomen gewertet wurde.[39] Allerdings schließt die Studie mit der Aussage: „Es ist wichtig zu beachten, dass wir in unseren Untersuchungen keinen Beweis dafür finden konnten, dass Squalen als Adjuvans in den Impfstoffen für militärisches oder sonstiges Personal verwendet wurde.“ Anschließende Untersuchungen stellten zudem gravierende methodische Mängel in der Studie fest.[40]
In einer im Jahr 2002 veröffentlichten Studie betonten Asa et al. erneut einen Zusammenhang zwischen Squalen-Antikörpern und den Symptomen des Golfkriegs-Syndroms, welcher auf die Gegenwart von Squalen in einigen der Impfdosen zurückzuführen sei.[41] Andere Studien zeigten jedoch, dass die verwendeten Impfstoffe kein Squalen als Wirkverstärker enthielten.[42][43][29] Zwar wurden mit einer verbesserten Analysemethode später in einer einzigen Flasche (Bezeichnung FAV008) von 44 Flaschen aus insgesamt 38 Chargen geringfügige Spuren (80 ng/ml) Squalen festgestellt.[44] Allerdings wurde diese nicht als Adjuvans zugesetzt, sondern ist vermutlich das Resultat von Verunreinigungen durch Fingerabdrücke auf unzureichend gereinigten Laborgeräten.[45][46]
Spätere Studien widerlegten einen Zusammenhang zwischen Squalen und dem Golfkriegs-Syndrom[47][48] und stellten fest, dass unabhängig von Impfungen viele Menschen Squalen-Antikörper im Blut haben.[49]
Neben dem Golfkriegs-Syndrom wurde die Injektion von Squalen ins Gewebe mit verschiedenen anderen Autoimmunerkrankungen in Verbindung gebracht. Im Tierversuch wurde in einem gegenüber Autoimmunerkrankungen besonders anfälligen Rattenstamm nach intradermaler Injektion von reinem Squalen die Entwicklung einer Arthritis beobachtet.[50] In einer Studie an gesunden Mäusen wurde nach intraperitonealer Injektion von Squalen und Pristan, einer ähnlichen Substanz, die Bildung von für die Autoimmunerkrankung Lupus erythematodes typischen Autoantikörpern nachgewiesen.[51]
Eine epidemiologische Analyse der Daten zur Sicherheit von MF59 (squalenhaltigen) adjuvantierten saisonalen und pandemischen Influenzaimpfstoffen ergab allerdings keine Hinweise auf ein erhöhtes Risiko für Nebenwirkungen autoimmuner Herkunft im Menschen.[52]
Seit 1997 (in Deutschland seit 2000) wurde Squalen als Bestandteil des Impfstoffes Fluad gegen die saisonale Grippe in über 40 Millionen Dosen verabreicht, ohne dass bisher nennenswerte Nebenwirkungen bekannt wurden.[42][47] Ferner gibt es keine Anhaltspunkte dafür, dass Squalen in Impfstoffen eine embryo- oder fetotoxische Wirkung hat.[25]
Weblinks
- Nadja Podbregar: Impfstoff-Verstärker aus dem Labor statt aus der Haileber. wissenschaft.de, 14. Oktober 2020, Quelle: Austrian Centre of Industrial Biotechnology (ACIB)
- Harald Pichler: Impfstoffboost aus dem Labor statt der Haileber. In: idw Nachrichten, 7. Oktober 2020 (Pressemitteilung)
Einzelnachweise
- ↑ Eintrag zu SQUALENE in der CosIng-Datenbank der EU-Kommission, abgerufen am 28. Dezember 2020.
- ↑ a b c Datenblatt Squalen bei Merck, abgerufen am 8. Juni 2010.
- ↑ Maria Z. Tsimidou u. a.: Squalene Resources and Uses Point to the Potential of Biotechnology. In: Lipid Technology. Vol. 23, No. 12, 2011, S. 270–273, doi:10.1002/lite.201100157.
- ↑ a b c Eintrag zu 2,6,10,15,19,23-Hexamethyltetracosa-2,6,10,14,18,22-hexaen in der GESTIS-Stoffdatenbank des IFA, abgerufen am 10. Januar 2017. (JavaScript erforderlich)
- ↑ David R. Lide (Hrsg.): CRC Handbook of Chemistry and Physics. 90. Auflage. (Internet-Version: 2010), CRC Press / Taylor and Francis, Boca Raton FL, Physical Constants of Organic Compounds, S. 3-462.
- ↑ a b T. Yamaguchi, M. Nakagawa, K. Hidaka, T. Yoshida, T. Sasaki, S. Akiyama, M. Kuwano: Potentiation by squalene of antitumor effect of 3-((4-amino-2-methyl-5-pyrimidinyl)methyl)-1-(2-chloroethyl)-nitrosourea in a murine tumor system. In: Japanese Journal of Cancer Research: GANN. 76, 10, 1985, S. 1021–1026. PMID 3935620.
- ↑ J. M. Berg, J. L. Tymoczko, L. Stryer: Biochemie. 5. Auflage. Spektrum Akademischer Verlag, Heidelberg 2003, ISBN 3-8274-1303-6.
- ↑ Mitsumaru Tsujimoto: A Highly Unsaturated Hydrocarbon in Shark Liver Oil. In: Journal of Industrial & Engineering Chemistry. Band 8, Nr. 10, 1. Oktober 1916, S. 889–896, doi:10.1021/i500010a005 (englisch).
- ↑ Ovidiu Popa et al.: Methods for Obtaining and Determination of Squalene from Natural Sources. In: BioMed Research International. Band 2015, 2015, doi:10.1155/2015/367202, PMID 25695064, PMC 4324104 (freier Volltext) – (englisch).
- ↑ Mitsumaru Tsujimoto: A Highly Unsaturated Hydrocarbon in Shark Liver Oil. In: ACS (Hrsg.): Journal of Industrial & Engineering Chemistry. Band 8, Nr. 10, Oktober 1916, S. 889–896, doi:10.1021/i500010a005 (englisch).
- ↑ Paul Karrer, A. Helfenstein: Synthese des Squalens. In: Helvetica Chimica Acta. Band 14, Nr. 1, 1931, S. 78–85, doi:10.1002/hlca.19310140107.
- ↑ Peter J. T. Morris, Anthony S. Travis, Carsten Reinhardt: Research Fields and Boundaries in Twentieth-Century Organic Chemistry. In: Carsten Reinhardt (Hrsg.): Chemical Sciences in the 20th Century. Wiley-VCH, Weinheim 2001, ISBN 978-3-527-61273-4, S. 35, doi:10.1002/9783527612734.ch01 (englisch).
- ↑ Paul Karrer: Lehrbuch der Organischen Chemie. 3. Auflage. G. Thieme, Stuttgart 1933, S. 60.
- ↑ T. Thorbjarnarson, J. C. Drummond: Occurrence of an unsaturated hydrocarbon in olive oil. In: The Analyst. Band 60, Nr. 706, 1935, S. 23, doi:10.1039/an9356000023 (englisch).
- ↑ J. Großfeld, H. Timm: Eine neue Kennzahl für Olivenöl. In: Zeitschrift für Untersuchung der Lebensmittel. Band 77, Nr. 3. Springer, März 1939, S. 249–253, doi:10.1007/BF01662369.
- ↑ S. Ekanayake Mudiyanselage, M. Hamburger, J. J. Thiele: Ultraviolet A Induces Generation of Squalene Monohydroperoxide Isomers in Human Sebum and Skin Surface Lipids In Vitro and In Vivo. In: Journal of Investigative Dermatology. 120, 6, 2003, S. 915–922, doi:10.1046/j.1523-1747.2003.12233.x.
- ↑ Sabine Junglas: Der Einfluss vegetarischer Ernährung auf die unverseifbaren Lipidkomponenten des Humanserums. TU Berlin, 1988, DNB 890684782 (Dissertation).
- ↑ T. A. Miettinen: Diurnal variation of cholesterol precursors squalene and methyl sterols in human plasma lipoproteins. In: Journal of Lipid Research. 23, 3, 1982, S. 466–473. PMID 7200504.
- ↑ K. Nikkilä, T. A. Miettinen: Serum and hepatic cholestanol, squalene and noncholesterol sterols in man: A study on liver transplantation. In: Hepatology. 15, 5, 1992, S. 863–870. PMID 1568728.
- ↑ J. Cerbulis, V. P. Flanagan, H. M. Farrell Jr.: Composition of the hydrocarbon fraction of goats’ milk. In: Journal of Lipid Research. 26, 12, 1985, S. 1438–1443. PMID 4086946.
- ↑ Squalen. In: wissenschaft-online Lexikon der Ernährung.
- ↑ a b c Squalen. In: wissenschaft-online Lexikon der Biologie.
- ↑ Rao MK Govind, K. T. Achaya: Antioxidant activity of squalene. In: Journal of the American Oil Chemists’ Society. 45, 4, 1986, S. 296, doi:10.1007/BF02652431.
- ↑ Patent EP2289575B1: Medizinisches Implantat enthaltend eine antioxidative Substanz. Angemeldet am 7. Juli 2010, veröffentlicht am 5. Juli 2017, Anmelder: Biotronik VI Parent AG, Erfinder: Alexander Borck.
- ↑ a b c Fachliche Information für Ärzte und Apotheker: Pandemieimpfstoffe in der Schwangerschaft - Sicherheitsaspekte. PEI, Paul-Ehrlich-Institut, Bundesinstitut für Impfstoffe und biomedizinische Arzneimittel, 3. September 2009, abgerufen am 28. Oktober 2019.
- ↑ Zusammensetzung der Adjuvanzien MF59 und AS03. ( vom 16. März 2010 im Internet Archive) Paul-Ehrlich-Institut, Fachliche Information für Ärzte und Apotheker: Pandemie-Impfstoffe in der Schwangerschaft; abgerufen am 8. Juni 2010.
- ↑ Dagmar Jäger-Becker: Adjuvantien stärken Grippe-Impfstoffe. In: Ärzte Zeitung. Abgerufen am 8. Juni 2010.
- ↑ a b c Nina Sanina: Vaccine Adjuvants Derived from Marine Organisms. In: Biomolecules. Band 9, Nr. 8, 3. August 2019, doi:10.3390/biom9080340, PMID 31382606, PMC 6723903 (freier Volltext) – (englisch).
- ↑ a b Wirkverstärker Squalen Ursache für das Golfkriegssyndrom? In: Arznei-Telegramm. 4. Dezember 2009, abgerufen am 28. Oktober 2019.
- ↑ Nathalie Garçon, Martin Friede: Evolution of Adjuvants Across the Centuries. In: Stanley A. Plotkin et al. (Hrsg.): Plotkin’s Vaccines. 7. Auflage. Elsevier, Philadelphia 2017, ISBN 978-0-323-35761-6, S. 67, doi:10.1016/B978-0-323-35761-6.00006-7 (englisch).
- ↑ Impfstoff-Verstärker aus dem Labor statt aus der Haileber wissenschaft.de. Abgerufen am 15. Oktober 2020.
- ↑ Gabriel Kristian Pedersen, Peter Andersen, Dennis Christensen: Immunocorrelates of CAF family adjuvants. In: Seminars in Immunology (= Immune Correlates of Vaccine Adjuvanticity, Immunogenicity and Efficacy in Infectious Diseases and Cancer). Band 39, 1. Oktober 2018, S. 4–13, doi:10.1016/j.smim.2018.10.003 (englisch).
- ↑ a b Angela Clausen, Volker Clausen: Wundermittel gegen Krebs? Nahrungsergänzungsmittel auf dem Prüfstand. 1. Auflage. Verbraucherzentrale NRW, Düsseldorf 2012, ISBN 978-3-86336-209-6, S. 120.
- ↑ R. Michael-Jubeli, J. Bleton, A. Baillet-Guffroy: High-temperature gas chromatography-mass spectrometry for skin surface lipids profiling. In: J Lipid Res. 52(1), Jan 2011, S. 143–151. PMID 20952798.
- ↑ E. Camera, M. Ludovici, M. Galante, J. L. Sinagra, M. Picardo: Comprehensive analysis of the major lipid classes in sebum by rapid resolution high-performance liquid chromatography and electrospray mass spectrometry. In: J Lipid Res. 51(11), Nov 2010, S. 3377–3388. PMID 20719760.
- ↑ S. Achiraman, G. Archunan, B. Abirami, P. Kokilavani, U. Suriyakalaa, D. SankarGanesh, S. Kamalakkannan, S. Kannan, Y. Habara, R. Sankar: Increased squalene concentrations in the clitoral gland during the estrous cycle in rats: an estrus-indicating scent mark? In: Theriogenology. 76(9), Dez 2011, S. 1676–1783. PMID 21924481.
- ↑ K. G. Asano, C. K. Bayne, K. M. Horsman, M. V. Buchanan: Chemical composition of fingerprints for gender determination. In: J Forensic Sci. 47(4), Jul 2002, S. 805–807. PMID 12136987.
- ↑ C. Weyermann, C. Roux, C. Champod: Initial results on the composition of fingerprints and its evolution as a function of time by GC/MS analysis. In: J Forensic Sci. 56(1), Jan 2011, S. 102–108. PMID 20707835.
- ↑ P. B. Asa, Y. Cao, R. F. Garry: Antibodies to Squalene in Gulf War Syndrome. In: Experimental and Molecular Pathology. 68, 1, 2000, S. 55–64. PMID 10640454.
- ↑ United States Department of Defense, P. B. Asa, Y. Cao, R. F. Garry: Armed Forces Epidemilogy Board (AFEB) Recommendations Regarding Review of the Paper, »Antibodies to Squalene in Gulf War Syndrome«. ( vom 20. April 2003 im Internet Archive; PDF) ha.osd.mil; abgerufen am 9. Juni 2010.
- ↑ P. B. Asa, R. B. Wilson, R. F. Garry: Antibodies to Squalene in Recipients of Anthrax Vaccine. In: Experimental and Molecular Pathology. 73, 1, 2002, S. 19–27. PMID 12127050.
- ↑ a b Squalene-based adjuvants in vaccines. Global Advisory Committee on Vaccine Safety, World Health Organization, 21. Juli 2006, abgerufen am 8. Juni 2010 (englisch).
- ↑ R. J. Spanggord, B. Wu, M. Sun, P. Lim, W. Y. Ellis: Development and application of an analytical method for the determination of squalene in formulations of anthrax vaccine adsorbed. In: Journal of Pharmaceutical and Biomedical Analysis. 29, 1–2, 2002, S. 183–193. PMID 12062677.
- ↑ R. J. Spanggord, M. Sun, P. Lim, W. Y. Ellis: Enhancement of an analytical method for the determination of squalene in anthrax vaccine adsorbed formulations. In: Journal of Pharmaceutical and Biomedical Analysis. 42, 4, 2006, S. 494–499. PMID 16762524.
- ↑ Food and Drug Administration: Q&A: The Facts on Squalene. (PDF; 1,8 MB) 3. Juli 2005; abgerufen am 9. Juni 2010.
- ↑ K. G. Asano, C. K. Bayne, K. M. Horsman, M. V. Buchanan: Chemical composition of fingerprints for gender determination. In: Journal of Forensic Sciences, 47, 4, 2002, S. 805–807. PMID 12136987.
- ↑ a b Stellungnahme zu Risiken, die im Zusammenhang mit Squalen diskutiert werden: Squalen bzw. Squalen-Antikörper als angebliche Auslöser für das „Gulf war syndrome“ ( vom 16. März 2010 im Internet Archive) Paul-Ehrlich-Institut, 12. November 2009; abgerufen am 8. Juni 2010.
- ↑ C. J. Phillips, G. R. Matyas, C. J. Hansen, C. R. Alving, T. C. Smith, M. A. Ryan: Antibodies to squalene in US Navy Persian Gulf War veterans with chronic multisymptom illness. In: Vaccine. 27, 29, 2009, S. 3921–3926. PMID 19379786.
- ↑ G. R. Matyas, M. Rao, P. R. Pittman, R. Burge, I. E. Robbins, N. M. Wassef, B. Thivierge, C. R. Alving: Detection of antibodies to squalene: III. Naturally occurring antibodies to squalene in humans and mice. In: Journal of Immunological Methods, 286, 1–2, 2004, S. 47–67. PMID 15087221.
- ↑ B. C. Carlson, A. M. Jansson, A. Larsson, A. Bucht, J. C. Lorentzen: The Endogenous Adjuvant Squalene Can Induce a Chronic T-Cell-Mediated Arthritis in Rats. In: The American Journal of Pathology, 156, 6, 2000, S. 2057–2065. PMID 10854227.
- ↑ M. Satoh, Y. Kuroda, H. Yoshida, K.M. Behney, A. Mizutani, J. Akaogi, D. C. Nacionales, T. D. Lorenson, R. J. Rosenbauer, W. H. Reeves: Induction of lupus autoantibodies by adjuvants. In: Journal of Autoimmunity, 21, 1, 2003, S. 1–9. PMID 12892730.
- ↑ M. Pellegrini, U. Nicolay, K. Lindert, N. Groth, G. Della Cioppa: MF59-adjuvanted versus non-adjuvanted influenza vaccines: Integrated analysis from a large safety database. In: Vaccine, 27, 49, 2009, S. 6959–6965. PMID 19751689.
