4-Hydroxy-2,2,6,6-tetramethylpiperidinyloxyl
| Strukturformel | ||||||||||||||||||||||
|---|---|---|---|---|---|---|---|---|---|---|---|---|---|---|---|---|---|---|---|---|---|---|
| ||||||||||||||||||||||
| Allgemeines | ||||||||||||||||||||||
| Name | 4-Hydroxy-2,2,6,6-tetramethylpiperidinyloxyl | |||||||||||||||||||||
| Andere Namen | ||||||||||||||||||||||
| Summenformel | C9H18NO2 | |||||||||||||||||||||
| Kurzbeschreibung | ||||||||||||||||||||||
| Externe Identifikatoren/Datenbanken | ||||||||||||||||||||||
| ||||||||||||||||||||||
| Eigenschaften | ||||||||||||||||||||||
| Molare Masse | 172,24 g·mol−1 | |||||||||||||||||||||
| Aggregatzustand |
fest | |||||||||||||||||||||
| Dichte |
1,187 g·cm−3[5] | |||||||||||||||||||||
| Schmelzpunkt | ||||||||||||||||||||||
| Dampfdruck | ||||||||||||||||||||||
| Löslichkeit | ||||||||||||||||||||||
| Sicherheitshinweise | ||||||||||||||||||||||
| ||||||||||||||||||||||
| Wenn nicht anders vermerkt, gelten die angegebenen Daten bei Standardbedingungen (0 °C, 1000 hPa). | ||||||||||||||||||||||
4-Hydroxy-2,2,6,6-tetramethylpiperidinyloxyl (4-Hydroxy-TEMPO) ist ein stabilisiertes Radikal, das als Oxidationsmittel eingesetzt werden kann.[7] Die Reaktivität der Verbindung ähnelt der des 2,2,6,6-Tetramethylpiperidinyloxyl (TEMPO). Die zusätzliche Hydroxygruppe erlaubt eine Verknüpfung an andere Verbindungen.[4]
Gewinnung und Darstellung
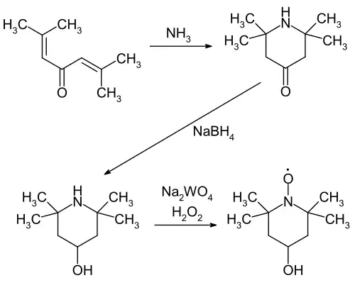
Die Synthese geht vom Phoron aus, welches leicht über eine doppelte Aldol-Kondensation aus Aceton gewonnen werden kann.[8] Im ersten Schritt erfolgt in Gegenwart von Ammoniak eine Cyclisierung zum 2,2,6,6-Tetramethyl-piperidin-4-on. Dieses wird anschließend mittels Natriumborhydrid zum 2,2,6,6-Tetramethyl-piperidin-4-ol reduziert. Die Zielverbindung ergibt sich im letzten Schritt durch die Oxidation mit Wasserstoffperoxid in Gegenwart von Natriumwolframat.[2]

Eigenschaften
4-Hydroxy-2,2,6,6-tetramethylpiperidinyloxyl bildet orange Kristalle, die bei 70 °C schmelzen. Die Verbindung kristallisiert in einem monoklinen Kristallgitter mit der Raumgruppe Cm.[5] Der Stoff ist thermisch instabil. Oberhalb des Schmelzpunktes wird eine Zersetzung beobachtet.[9]
Verwendung
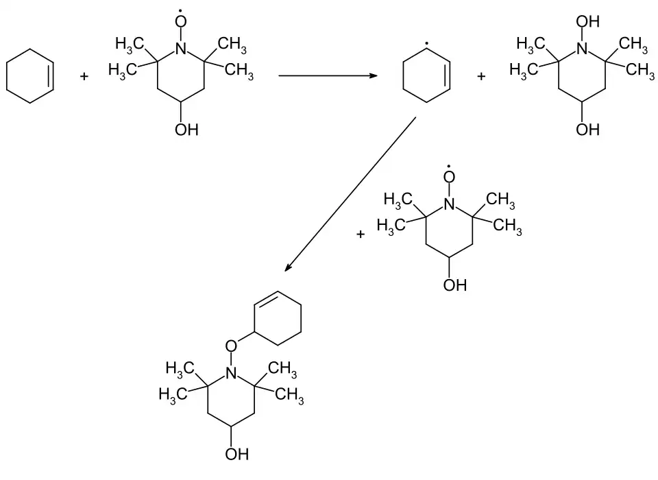
Die Verbindung wird als Inhibitor bei radikalischen Polymerisationsreaktionen angewendet.[4] Sie wirkt dabei als Radikalfänger und Regler für einen kontrollierten Polymerisationsverlauf.[2] So kann es als Reaktionsstopper bei durchgehenden Polymerisationsreaktionen eingesetzt werden.[10] In der organischen Synthese wirkt es als katalytisches Oxidationsmittel bei der selektiven Oxidation von primären Alkoholen zu Aldehyden in Gegenwart von Natriumhypochlorit oder 1,4-Benzochinon.[2] Mit aktivierten Kohlenwasserstoffen, wie Cyclohexen reagiert die Substanz unter H-Abstraktion zu den entsprechenden radikalischen Intermediaten, die mit weiterem 4-Hydroxy-TEMPO zur N-Alkoxyaminverbindung rekombinieren.[11][12]

Durch die OH-Funktionalität ist ein Einbau in Polymerketten möglich, wodurch polymerbasierende TEMPO-Materialien erhalten werden. Diese können zur Oxidation von Alkoholen zu den entsprechenden Aldehyden und Ketonen verwendet werden.[13] Eine medizinische Anwendung als blutdrucksenkender Wirkstoff wurde am Tiermodell untersucht.[14]
Eine Anwendung von TEMPOL gegen den SARS-CoV-2-Virus, dem Auslöser von COVID-19, wurde untersucht.[15]
Einzelnachweise
- ↑ Eintrag zu HYDROXY TETRAMETHYLPIPERIDINE OXIDE in der CosIng-Datenbank der EU-Kommission, abgerufen am 3. Juni 2020.
- ↑ a b c d e f Eintrag zu 4-Hydroxy-2,2,6,6-tetramethyl-1-piperidinyloxyl in e-EROS Encyclopedia of Reagents for Organic Synthesis, 1999–2013, John Wiley and Sons, Inc., abgerufen am 10. Februar 2016.
- ↑ a b c Eintrag zu 4-Hydroxy-2,2,6,6-tetramethylpiperidinoxyl in der GESTIS-Stoffdatenbank des IFA, abgerufen am 10. Januar 2025. (JavaScript erforderlich)
- ↑ a b c Evonik Industries AG: GPS Safety Summary 4-HT, März 2014.
- ↑ a b Ciunik, Z.: Relationship between electron difference-density distribution, planarity of the >N–O groups and intermolecular hydrogen bond systems in crystals of stable nitroxide radicals in J. Mol. Struct. 412 (1997) 27–37, doi:10.1016/S0022-2860(97)00010-0.
- ↑ a b c d e Kalashnikova, L.A.; Rozantsev, E.G.; Chaikin, A.M.: Saturated vapor pressure of certain stable free radicals in Russ. Bull. Chem. 14 (1965) 782–785, doi:10.1007/BF00845687.
- ↑ Ciriminna, R.; Pagliaro, M.: Industrial Oxidations with Organocatalyst TEMPO and Its Derivatives in Org. Process Res. Dev. 14 (2010) 245–251, doi:10.1021/op900059x.
- ↑ L. F. Fieser und M. Fieser, Lehrbuch der Organischen Chemie, übersetzt und bearbeitet von H. R. Hensel, S. 222, Verlag Chemie, Weinheim, 1954.
- ↑ França, C.S.; Porto, D.L.; Junior, J.H.S.; Souza, F.S.; Nascimento, T.G.; Nogueira, F.H.A.; Gomes, A.P.B.; Jordão, A.K.; Ribeiro, E.H.S.; Araújo, N.R.S.; Sebastião, R.C.O.; Aragão, C.F.S.: Characterization and thermal decomposition kinetic study of promising antioxidante nitroxides in J. Therm. Anal. Calorim. 147 (2022) 13395–13403, doi:10.1007/s10973-022-11701-0.
- ↑ Platkowski, K.; Reichert, K.-H.: Untersuchungen zum Stoppen der radikalischen Polymerisation von Methylmethacrylat mit dem Inhibitor 4-Hydroxytempo in Chem. Ing. Techn. 71 (1999) 493–496, doi:10.1002/cite.330710516.
- ↑ Babiarz, J.E.; Cunkle, G.T.; DeBellis, A D.; Eveland, D.; Pastor, S.D.; Shum, S.P.: The Thermal Reaction of Sterically Hindered Nitroxyl Radicals with Allylic and Benzylic Substrates: Experimental and Computational Evidence for Divergent Mechanisms in J. Org. Chem. 67 (2002) 6831–6834, doi:10.1021/jo020426r.
- ↑ Vogler, T.; Studer, A.: Applications of TEMPO in Synthesis in Synthesis 2008, 1979–1993, doi:10.1055/s-2008-1078445.
- ↑ Tanyeli,C.; Gumus, A.: Synthesis of polymer-supported TEMPO catalysts and their application in the oxidation of various alcohols in Tetrahedron Letters 44 (2003) 1639–1642, doi:10.1016/S0040-4039(03)00003-0.
- ↑ Wilcox, C.S.; Pearlman, A.: Chemistry and Antihypertensive Effects of Tempol and Other Nitroxides in Pharmacol. Rev. 60 (2008) 418–469, doi:10.1124/pr.108.000240.
- ↑ Nunziata Maio, Bernard A. P. Lafont, Debangsu Sil et al.: Fe-S cofactors in the SARS-CoV-2 RNA-dependent RNA polymerase are potential antiviral targets, Science vom 3. Juni 2021, DOI: 10.1126/science.abi5224



