Tofacitinib
| Strukturformel | ||||||||||||||||||||||
|---|---|---|---|---|---|---|---|---|---|---|---|---|---|---|---|---|---|---|---|---|---|---|
| ||||||||||||||||||||||
| Allgemeines | ||||||||||||||||||||||
| Name | Tofacitinib | |||||||||||||||||||||
| Andere Namen |
| |||||||||||||||||||||
| Summenformel |
| |||||||||||||||||||||
| Externe Identifikatoren/Datenbanken | ||||||||||||||||||||||
| ||||||||||||||||||||||
| Arzneistoffangaben | ||||||||||||||||||||||
| ATC-Code |
L04AA29 | |||||||||||||||||||||
| Wirkstoffklasse |
Januskinase-Inhibitor | |||||||||||||||||||||
| Eigenschaften | ||||||||||||||||||||||
| Molare Masse | ||||||||||||||||||||||
| Aggregatzustand |
fest (Citrat)[1] | |||||||||||||||||||||
| Schmelzpunkt |
253 °C[2] | |||||||||||||||||||||
| Löslichkeit | ||||||||||||||||||||||
| Sicherheitshinweise | ||||||||||||||||||||||
| ||||||||||||||||||||||
| Wenn nicht anders vermerkt, gelten die angegebenen Daten bei Standardbedingungen (0 °C, 1000 hPa). | ||||||||||||||||||||||
Tofacitinib (Handelsname: Xeljanz; Hersteller: Pfizer Pharma GmbH) ist ein synthetischer Arzneistoff aus der Gruppe der Januskinasen (JAK)-Inhibitoren. Es wird als Citratsalz verwendet.[4] Es wird bei chronisch-entzündlichen Autoimmunerkrankungen angewendet.
Die Zulassung erfolgte erstmals 2012 für Rheumatoide Arthritis in den USA. Die Erstzulassung durch die EMA verzögerte sich bis in das Jahr 2017, da das Risiko-Nutzen-Verhältnis als nicht überzeugend galt. Seit 2019 erschienen mehrere Rote-Hand-Briefe[5][6][7] sowie eine neue Risikobewertung im Umgang mit dem Arzneimittel. Im Jahr 2018 folgte die Zulassung für Psoriasis-Arthritis und Colitis ulcerosa und 2021 für Juvenile Idiopathische Arthritis und Ankylosierende Spondylitis.
Substanzklasse
Tofacitinib gehört zu den Tyrosinkinasehemmern. Zu den Bestandteilen von Tofacitinib gehört als Analogie zu Adenosintriphosphat (ATP) Pyrrolopyrimidin, welches ein Bestandteil aller JAK-Inhibitoren ist. Ebenfalls in allen JAK-Inhibitoren befindet sich eine Nitril-Gruppe. Zudem befinden sich eine Carbonylgruppe und zwei tertiäre Amine in dem Molekül. Diese Gruppen sind alle polar mit einem δ+ Kohlenstoff-Atom. Neben der Molekülstruktur, -form, -größe und stereochemischen Eigenschaften, sind auch die Lage der funktionellen Gruppen und ihre Elektronenverteilung entscheidend für die Bindungsselektivität an den JAKs. Das Citrat dient als biochemischer Puffer und wird somit oft bei basischen Arzneimitteln verwendet. Zudem unterstützt es die Löslichkeit in Wasser bzw. in menschlichem Blut erheblich und somit auch die biologische Verfügbarkeit.
Synthesen
(Quelle: [8])
Für Tofacitinib sind zwei Syntheserouten unterschiedlicher Anwendung bekannt. Erstere wurde in der Forschungsphase für die Herstellung von Mengen im Labormaßstab entwickelt. Daraufhin folgte unter Optimierung der Materialkosten, Reaktionszeiten und Ausbeuten die für industrielle Maßstäbe angepasste Route.[8]
Laborsynthese
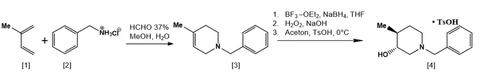
Im ersten Schritt erfolgt eine Aza-Cycloaddition von Isopren [1] mit Benzylammoniumchlorid [2] in Methanol. Das entstandene Tetrahydropyridinderivat [3] wird mittels Hydroborierung hydroxyliert und anschließend als Tosylat aus Aceton gefällt.

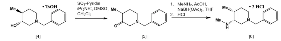
Das Tosylat der Trans-Verbindung [4] wird mittels Parikh-Doering Oxidation zum entsprechenden Keton [5] oxidiert. Dieses wird durch reduktive Aminierung zunächst in einem 10:1 cis:trans Verhältnis zu einem sekundären Amin [6] reduziert. Anschließend wird das Gleichgewicht dieses Verhältnisses mittels Bildung des Dihydrochlorids zu 50:1 auf Seiten des Cis-Produkts verschoben.

Das Cis-Produkt [6] liegt allerdings als Racemat vor. Zur Racematspaltung wird enantiomerenreines (+) -Phencyphos [7] verwendet. Hierdurch kann das 3R, 4R – Produkt [8] isoliert werden.

Nun wird das enantiomerenreine Zwischenprodukt [8] mit einem chlorierten Pyrolopyrimidin Derivat [9] unter nucleophiler aromatischer Substitution in tert-Butanol gekoppelt.

Das entstandene Produkt [10] wird unter katalysierter Hydrogenolyse in Ethanol debenzyliert [11] und in gleicher Lösung anschließend durch Aminolyse mit dem Succinimid-Derivat [12] zum entsprechenden tertiären Amin umgesetzt. Darauffolgend wird durch Umsetzung mit Zitronensäure in Aceton aus der freien Base das für die Pharmazie relevante Zitrat gebildet [13] und N-Hydroxysuccinimid abgespalten.

Industrielle Synthese
Die industriell angepasste Route beginnt mit der Herstellung von [8]. Hierzu wird 3-Amino-4-methylpyridin [14] mit Dimethyldicarbonat unter Aminolyse umgesetzt. Der gebildete Ester [15] wird unter Ruthenium katalysierter Hydrierung in Methanol am Pyridinring gesättigt. Hierbei bildet sich ein 50:1 Überschuss des Cis-Produkts [16]. Nun wird das Zwischenprodukt unter reduktiver Aminierung benzyliert und nach Neutralisierung des Reaktionsgemisches als Hydrochlorid [17] gefällt.

Das entstandene Racemat [17] wird mit Dibenzoyl-L-Weinsäure gespalten und das 3R, 4R Enantiomer [18] isoliert. Anschließend erfolgt eine Methylierung sowie folgende Reduzierung mit Lithiumaluminiumhydrid, wobei die Estergruppe abgespalten wird und [8] als Hydrochlorid entsteht.

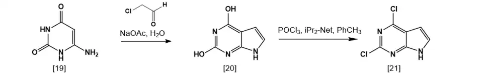
Nachdem [8] gebildet wurde, muss für den folgenden Schritt der SnAr das zweite Edukt gebildet werden. Hierbei erfolgte ein Optimierungsschritt durch zusätzliche Chlorierung von [9], was für eine geringere Elektronendichte des Rings und somit eine starke Beschleunigung der Umsetzung sorgt. Dies wird in einer Zweischrittsynthese bewerkstelligt. Zunächst wird 6-Aminouracil [19] mit Chloracetaldehyd unter Aldoladdition und folgender Cyclisierung durch Aldolkondensation umgesetzt. Das entstandene Diol [20] wird durch Deoxychlorierung mit Phosphorylchlorid zum Dichlorid [21] umgesetzt.

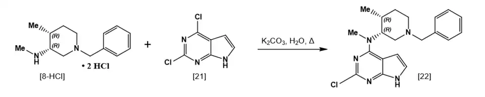
Die nächsten Schritte erfolgen größtenteils analog zur Laborsynthese. [8] wird mit dem nun bezüglich SnAr aktiveren Edukt [21] umgesetzt, wobei eine beinahe mit [10] identische Zwischenstufe entsteht, allerdings mit einem zusätzlichen Chlor [22].

Es erfolgt eine erneute Hydrogenolyse von [22] unter Abspaltung des Benzyls, gefolgt von einer nun notwendigen sauren Hydrolyse zur Abspaltung des zusätzlichen Chlors. Hierbei entsteht [11] als Dihydrochlorid. Dieses wird neutralisiert, mit 1-Butanol aus der Reaktionsmischung extrahiert und anschließend unter azeotropischer Destillation getrocknet.

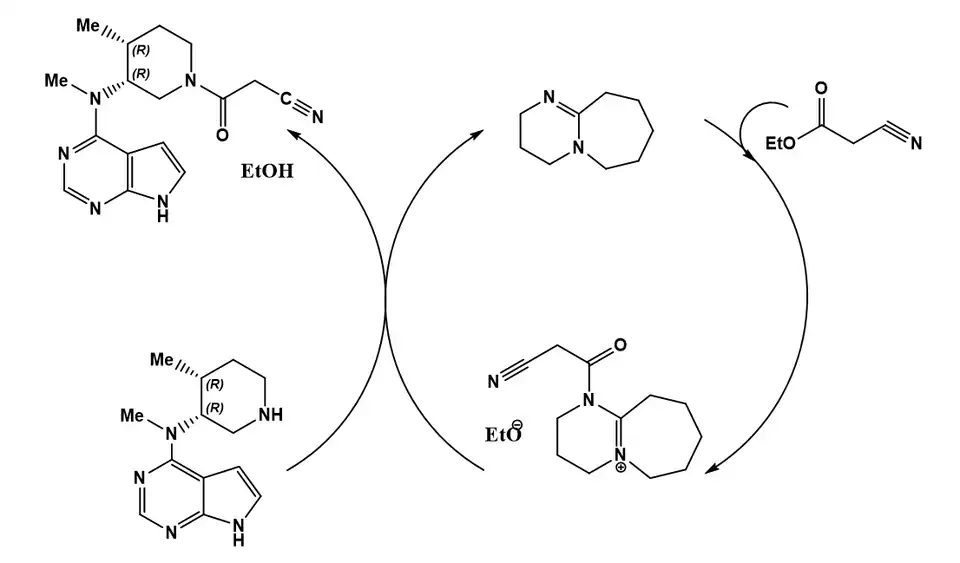
Auch der letzte Schritt erfolgt analog zur Laborsynthese durch Aminolyse von [11], allerdings mit zwei Unterschieden. Anstatt eines Succinimids erfolgt die Umsetzung mit Ethylcyanoacetat und es wird zur Katalyse der Reaktion DBU hinzugegeben. Die Umsetzung zum Zitrat [13] erfolgt identisch.

Die Katalyse des letzten Schritts durch DBU wurde experimentell beobachtet und die nächste Abbildung stellt die vermutete mechanistische Theorie dahinter dar. Es wird angenommen, dass DBU einen nucleophilen Angriff an der Carbonylgruppe des Ethylcyanoacetats eingeht und Ethanolat als Abgangsgruppe [11] am sekundären Amin des Piperidins deprotoniert und somit die Aminolyse beschleunigt.

Pharmakologische Wirkungsweise
Januskinasen
Januskinasen (JAK) gehören zu den Tyrosinkinasen (TYK), die zur Familie der Proteinkinasen gehören. Sie liegen als Dimer vor und spielen eine wichtige Rolle bei der Regulation von Signalwegen in der Zelle, da sie an der Signalübertragung von Zytokinen, Hormonen und Wachstumsfaktoren beteiligt sind. Diese aktivieren das Immunsystem, sodass bei dem Einsatz von Tofacitinib Entzündungsreaktionen im Körper reduziert werden können. Tofacitinib wird zu den Alpha-JAK-Inhibitoren gezählt, da diese eine breite Bindungsselektivität aufweisen und gleiche strukturelle Eigenschaften besitzen.
Es gibt vier verschiedene Arten von Januskinasen JAK1, JAK2, JAK3 und TYK2, die sich in ihren spezifischen Funktionen unterscheiden und in verschiedenen Zellen agieren.
| Funktion | |
| JAK 1 | Signalweiterleitung von entzündungsfördernden Zytokinen und Regulation der Immunantwort
Zytokine: IL-2, IL-4, IL-6, IL-10, IL-12, IFN-I Aktiv in: T-Zellen, B-Zellen, natürliche Killerzellen, dendritischen Zellen, Makrophagen, verschiedenen Gewebetypen (z. B. Epithelzellen) |
| JAK 2 | Signalweiterleitung von verschiedenen Zytokinen, die mit der Regulation der Blutbildung in Verbindung stehen
Zytokine: IL-3, Erythropoetin, Thrombopoetin, GH (Wachstumshormon) Aktiv in: Hämatopoetische Stammzellen, Erythrozyten, Thrombozyten, Leukozyten |
| JAK 3 | Signalweiterleitung zur Entwicklung und Funktion von T-Zellen und natürlichen Killerzellen
Zytokine: IL-2, IL-4, IL-7, IL-9, IL-15, IL-21 Aktiv in: T-Zellen (besonders häufig), natürliche Killerzellen, natürliche T-Killerzellen, Lymphozyten |
| TYK 2 | Signalweiterleitung von verschiedenen Zytokinen, die der Regulation des Immunsystems und der Immunantwort dienen
Zytokine: IL-12, IL-23, IL-10, IFN-α, IFN-β Aktiv in: T-Zellen, B-Zellen, dendritischen Zellen, Makrophagen |
Tofacitinib ist spezifisch für JAK3 und JAK1 und im geringeren Maße bei JAK2 sowie kaum bei TYK2 aktiv. Bisher wurden folgende Hemmung von Zytokinen beobachtet: IL-2, IL-4, IL-6, IL-7, IL-9, IL-15, IL-21, FN-α und IFN-β.
JAK-STAT-Signalweg
Der JAK-STAT-Signalweg beschreibt die Signaltransmission eines extrazellulär bindenden Liganden an einen Januskinasen-assoziierten Rezeptor zur Aktivierung der Expression bestimmter Gene, die zur Proliferation, Differenzierung oder Apoptose von Zellen beitragen und hauptsächlich proinflammatorische, immunmodulatorische, hämatopoetische oder antiproliferative Effekte bewirken.
Die Januskinasen werden durch die Bindung eines Liganden an den Rezeptor, unter Änderung der Konformation und Dimerisierung, aktiviert. Dies geschieht durch Autophosphorylierung der JAK. Die JAK phosphorylieren anschließend die Tyrosinreste, wodurch Marker-Stellen an den Rezeptoren entstehen. Diese werden von den STAT-Transkriptionsfaktoren erkannt und führt zur Bindung und darauffolgender Phosphorylierung der STATs. Dadurch werden STAT-Dimere gebildet, die in den Zellkern translozieren können. STAT steht für die „signal transducers and activators of transcription“ und sie gehören zu den Transkriptionsfaktoren. Es gibt hiervon sieben verschiedene Unterarten. Dort binden sie an bestimmten DNS-Sequenzen in der Nähe des Zielgens, welches exprimiert werden soll.
Januskinase-Inhibitoren ist es möglich den zuvor beschrieben Signalweg zu unterbinden, indem sie die Aktivität der JAK blockieren. Der Ligand kann in Anwesenheit eines JAK-Inhibitors wie Tofacitinib weiterhin an den Rezeptor binden, jedoch wird die restliche Abfolge der Signalweiterleitung gehemmt, indem sie an den JAKs binden und ihre katalytischen Funktionen (Phosphorylierung) unterbunden werden. Daraufhin bleiben die STATs inaktiv und es werden folglich keine Zielgene exprimiert.
Metabolisierung
Tofacitinib wird zu 70 % über die Leber abgebaut. Dies geschieht hauptsächlich über das Leberenzym CYP3A4 sowie im geringen Maße über CYP2C19. Die restlichen 30 % werden unverändert über die Niere ausgeschieden.
Anwendungsbereiche
Tofacitinib ist der erste in der EU zugelassene Wirkstoff der als Januskinase-Inhibitor in der Medizin zur Anwendung kommt. Es handelt sich um ein Immunsuppressivum. Er wird zur Behandlung verschiedener entzündlicher Erkrankungen eingesetzt. Tofacitinib wird als Citratsalz im Medikament angewendet.
Es wird unter dem Namen Xeljanz® durch die amerikanische Firma Pfizer Inc. in Verkehr gebracht.
Das Präparat ist in folgenden Dosierungen erhältlich:
- 5 mg Filmtabletten
- 10 mg Filmtabletten
- 11 mg Retardtabletten
- 1 mg/mL Lösung zum Einnehmen
Xeljanz® wurde 2012 erstmalig für Rheumatoide Arthritis (RA) in den USA zugelassen. Die Zulassung in der EU durch die European Medicines Agency zögerte sich bis ins Jahr 2017 hinaus, da das Nutzen-Risiko-Verhältnis nicht überzeugend war. Im Jahr 2018 folgte die Zulassung für Psoriasis-Arthritis (PA) und Colitis Ulcerosa (CU) und 2021 für Juvenile Idiopathische Arthritis (JIA) und Ankylosierende Spondylitis (AS).
Das Präparat hat eine orale Bioverfügbarkeit von 74 % sowie eine Halbwertszeit von drei Stunden.
Die Häufigkeit der Einnahme sowie die Dosierung richtet sich nach Krankheitsbild und Patientendaten.
Nebenwirkungen
Tofacitinib weist ein breites Nebenwirkungsprofil auf. Zu den häufigsten Nebenwirkungen zählen Kopfschmerzen, Übelkeit, Hypertonie, Infektionen der oberen Atemwege und Gelenkschmerzen. Da es sich um ein Immunsuppressivum handelt, sind gravierendere Infektionen wie Pneumonie, Gürtelrose, Harnwegsinfektionen oder Darmwegsinfektionen nicht auszuschließen.
Aufgrund neuer Erkenntnisse erschienen in den Jahren 2019, 2020 und 2021 Rote-Hand-Briefe, die die neuen Arzneimittelrisiken beschreiben. Daraufhin wurde die Anwendung für Patienten beschränkt. In den frühen Ereignissen in einer Langzeitstudie mit über 4000 Patienten wurde eine dosisabhängige erhöhte Gefahr für Blutgerinnsel in der Lunge sowie Todesfälle festgestellt. Die Patienten erhielten dabei zweimal täglich 10 mg Tofacitinib, was zu einer Dosisbegrenzung auf zweimal täglich 5 mg Tofacitinib bei Patienten mit rheumatoider Arthritis führte. Des Weiteren wurde bei Patienten über 65 Jahren eine erhöhte Gefahr für schwerwiegende Infektionen festgestellt. Zuletzt wurde über ein erhöhtes Risiko für Herzinfarkte und weitere kardiovaskuläre Erkrankungen, außerdem für Krebserkrankungen, die das blutbildende System betreffen, wie Lungenkrebs, Leukämie oder Lymphome berichtet. Deshalb ist auch für ältere Patienten eine Dosisanpassung erforderlich.
Bei schwerwiegenden Infektionen ist die Behandlung mit Xeljanz® zu unterbrechen.
Außerdem sollte bei Beginn der Einnahme in den ersten Monaten regelmäßig das Blutbild analysiert werden, da es zur Abnahme von Lymphozyten, Neutrophilen und Hämoglobin im Blut kommen kann. Außerdem müssen Patienten auf eine latente oder aktive Tuberkulose untersucht werden, da eine Tuberkuloseinfektion reaktiviert werden könnte. Das Gleiche trifft auf eine mögliche Reaktivierung von Herpesviren zu.
Patienten, die bestimmte Antimykotika einnehmen, wie Fluconazol oder Ketoconazol, müssen die Einnahmedosis verringern, da Tofacitinib die abbauenden Enzyme dieser und weiterer Präparate stark hemmt. Eine Verringerung der Dosis oder ein Ausschluss der Einnahme ist bei Patienten mit gestörter Nieren- oder Leberfunktion erforderlich.
Xeljanz® sollte nicht mit bestimmten Biologika und anderen starken Immunsuppressiva gleichzeitig angewendet werden, da eine erhöhte Gefahr für gravierendere Infektionsreaktionen besteht. Zwar ist Tofacitinib auch gemeinsam mit Methotrexat zur Anwendung bei Rheumatoider Arthritis und Psoriasis-Arthritis zugelassen, jedoch wurden innerhalb klinischer Studien darunter häufiger Nebenwirkungen verzeichnet als bei einer Tofacitinib-Monotherapie.
Tofacitinib sollte nicht während der Schwangerschaft und Stillzeit angewendet werden. Frauen im gebärfähigen Alter sollten unter der Einnahme und nach dem Absetzen des Medikaments weitere vier Wochen verhüten.
COVID-19
Im Verlauf der Corona-Pandemie wurde mit Hilfe von JAK-Inhibitoren in verschiedenen Studien eine Besserung der Symptome einer Pneumonie und der Sicherheit von JAK-Inhibitoren bei hospitalisierten Patienten mit COVID-19 getestet.
Schwere Verläufe von COVID-19 bringen eine starke Immunantwort hervor durch IL-6, TNF-α und weitere Zytokine, weshalb man dies auch als „Zytokinsturm“ bezeichnet. Tofacitinib wurde als Therapiemöglichkeit in Betracht bezogen, da es unter anderem IL-6 indirekt unterdrückt. Dieses Interleukin fördert die Produktion bestimmter T-Zellen, die zum akuten Atemnotsyndrom beitragen. Somit erhoffte man sich im Vorhinein eine Verbesserung entzündlich entstehender Lungenerkrankungen.
2020 wurde an 15 verschiedenen Standorten in Brasilien mit 289 Patienten eine 28-tägige placebokontrollierte, randomisierte Doppelblindstudie[9] durchgeführt, bei der die Patienten entweder zweimal täglich für vierzehn Tage bzw. bis zur Entlassung 10 mg Tofacitinib oder ein Placebo erhielten. Keiner der Patienten wurde zudem beatmet. Während des Aufenthaltes in einer der Krankenhäuser nahmen 89,3 % der Patienten Glucocorticoide sowie 77,9 % ein prophylaktisches und 20,8 % ein therapeutisches Mittel zur Hemmung der Blutgerinnung. Außerdem erhielten 20 Patienten jeder Gruppe das Virostatikum Oseltamivir.
Die Studienergebnisse berichten von einer Reduktion der Inzidenz von Atemversagen mit 18,1 % im Vergleich zu 29,0 % in der Placebo-Gruppe sowie einer Risikoreduktion zu Versterben mit 2,8 % im Vergleich zu 5,5 % in der Placebo-Gruppe. Diese Studie wurde von Pfizer Inc. unterstützt.
Toxizität
Tofacitinib besitzt kein phototoxisches Potential.
Die Tests an Ratten führten zu dem Ergebnis, dass die oral eingenommene minimale Einmaldosis von 500 mg/kg zum Tod führt und die Einnahme von 100 mg/kg/d zu Teratogenität. Bei Hasen tritt schon bei einer Dosis von 30 mg/kg/d Teratogenität auf. Zu einer niedrigen Welpenzahl und deren geringeren Überlebenschance kommt es bei Hunden bei oraler Einnahme von 50 mg/kg/d. Nichtmenschliche Primaten haben nach einer oralen Einnahme von maximal 40 mg/kg eine asymptotische Wirkung erfahren.
Literatur
- Adina Eichner, Johannes Wohlrab: Pharmakologie der Januskinase‐Inhibitoren – Teil 1: Pharmakokinetik. In: JDDG: Journal der Deutschen Dermatologischen Gesellschaft. Band 20, Nr. 11, 2022, S. 1485–1500, doi:10.1111/ddg.14921_g.
- Adina Eichner, Johannes Wohlrab: Pharmakologie der Januskinase‐Inhibitoren – Teil 2: Pharmakodynamik. In: JDDG: Journal der Deutschen Dermatologischen Gesellschaft. Band 20, Nr. 12, 2022, S. 1621–1631, doi:10.1111/ddg.14885_g.
Weblinks
- EMA: Xeljanz (Tofacitinib) Übersicht über Xeljanz und warum es in der EU zugelassen ist, letzte Aktualisierung April 2023
Einzelnachweise
- ↑ Datenblatt Tofacitinib citrate, ≥98% (HPLC) bei Sigma-Aldrich, abgerufen am 1. Mai 2019 (PDF).
- ↑ Rania T. Malatani, Sana Bilal, Asif Mahmood, Rai Muhammad Sarfraz, Nadiah Zafar, Hira Ijaz, Umaira Rehman, Shehla Akbar, Hala M. Alkhalidi, Heba A. Gad: Development of Tofacitinib Loaded pH-Responsive Chitosan/Mucin Based Hydrogel Microparticles: In-Vitro Characterization and Toxicological Screening. In: Gels. Band 9, Nr. 3, 2023, S. 187, doi:10.3390/gels9030187 (mdpi.com).
- ↑ a b c Cayman Chemical: Tofacitinib (citrate) (CP 690,550, CAS Number: 540737-29-9)| Cayman Chemical, abgerufen am 28. Juli 2023
- ↑ Externe Identifikatoren von bzw. Datenbank-Links zu Tofacitinib-Citrat: CAS-Nr.: 540737-29-9, EG-Nr.: 638-826-4, ECHA-InfoCard: 100.166.451, PubChem: 10174505, ChemSpider: 8350010, Wikidata: Q27139435.
- ↑ Pfizer Pharma GmbH: Rote-Hand-Brief zu Xeljanz® (Tofacitinib): Erhöhtes Risiko von Lungenembolie und Mortalität bei Patienten mit rheumatoider Arthritis. BfArM, 20. März 2019, abgerufen am 17. Juli 2023.
- ↑ Pfizer Pharma GmbH: Rote-Hand-Brief zu Xeljanz® (Tofacitinib): Erhöhtes Risiko für venöse thromboembolische Ereignisse und erhöhtes Risiko für schwerwiegende und tödlich verlaufende Infektionen. (PDF) BfArM, 20. März 2020, abgerufen am 17. Juli 2023.
- ↑ Pfizer Pharma GmbH: Rote-Hand-Brief zu ▼Xeljanz (Tofacitinib): Erhöhtes Risiko für schwerwiegende unerwünschte kardiovaskuläre Ereignisse und maligne Erkrankungen im Vergleich zu TNF-alpha-Inhibitoren. (PDF) BfArM, 24. März 2021, abgerufen am 17. Juli 2023.
- ↑ a b Robbert W. Dugger, Mark E. Flanagan, Rajappa Vaidyanathan: Tofacitinib (Xeljanz): The First-in-Class JAK Inhibitor for the Treatment of Rheumatoid Arthritis. In: Jie Jack Li, Douglas S. Johnson (Hrsg.): Innovative drug synthesis. John Wiley & Sons, Hoboken 2015.
- ↑ Patrícia O. Guimarães, Daniel Quirk, Remo H. Furtado, Lilia N. Maia, José F. Saraiva, Murillo O. Antunes, Roberto Kalil Filho, Vagner M. Junior, Alexandre M. Soeiro, Alexandre P. Tognon, Viviane C. Veiga, Priscilla A. Martins, Diogo D.F. Moia, Bruna S. Sampaio, Silvia R.L. Assis, Ronaldo V.P. Soares, Luciana P.A. Piano, Kleber Castilho, Roberta G.R.A.P. Momesso, Frederico Monfardini, Helio P. Guimarães, Dario Ponce de Leon, Majori Dulcine, Marcia R.T. Pinheiro, Levent M. Gunay, J. Jasper Deuring, Luiz V. Rizzo, Tamas Koncz, Otavio Berwanger: Tofacitinib in Patients Hospitalized with Covid-19 Pneumonia. In: New England Journal of Medicine. Band 385, Nr. 5, 2021, S. 406–415, doi:10.1056/NEJMoa2101643, PMID 34133856, PMC 8220898 (freier Volltext).


