Tonleiter
Eine Tonleiter oder (Ton-)Skala ist in der Musik eine Reihe von der Tonhöhe nach geordneten Tönen, die durch Rahmentöne begrenzt wird, jenseits derer die Tonreihe in der Regel wiederholbar ist.[1] In den meisten Fällen hat eine Tonleiter den Umfang einer Oktave.
Wie eine Tonleiter als Erscheinungsform von Tonalität aufgebaut ist, wird im Tonsystem festgelegt. Die gebräuchlichsten europäischen und außereuropäischen Tonleitern basieren auf fünf (Pentatonik) oder sieben (Heptatonik) Tönen innerhalb der Oktave, welche Tonstufen genannt werden. Weit verbreitet sind diatonische Tonleitern in Dur und Moll oder die Kirchentonleitern. Tonleitern sind durch Tonabstände definiert. Die in der konkreten Tonleiter enthaltenen Töne bezeichnet man als leitereigene Töne.
In außereuropäischer Musik wie der klassischen arabischen oder indischen Musik gibt es Tonsysteme und Tonleitern, die den Tonraum anders aufteilen, zum Beispiel Mugam, Maqam oder Raga.
Beispiel


Als Beispiel eine der heute in Mitteleuropa gebräuchlichsten Tonleitern: die Dur-Tonleiter. Sie besteht aus Tönen im Abstand:
- Ganzton – Ganzton – Halbton – Ganzton – Ganzton – Ganzton – Halbton (in der Musik werden die dazugehörigen Töne oft mit den Silben „do re mi fa sol la si“ bezeichnet)
Man kann eine so definierte Tonleiter auf jedem beliebigen Ton beginnen. Durch Angabe eines konkreten Anfangstons (Grundtons) wird daraus eine Tonart wie C-Dur, D-Dur usw.
- C-Dur: C – D – E ^ F – G – A – H ^ C
- D-Dur: D – E – Fis ^ G – A – H – Cis ^ D
Halbtonschritte sind mit ^ gekennzeichnet. Die leitereigenen Töne von C-Dur heißen auch Stammtöne und entsprechen den weißen Tasten auf einer Klaviatur.
Auf einer Klaviatur sind den schwarzen Tasten „erhöhte“ oder „erniedrigte“ leitereigene Töne zugeordnet. Im deutschen Sprachraum werden sie erhöht Cis, Dis, Fis, Gis und Ais genannt und erniedrigt Des, Es, Ges, As und B. In anderen Kulturräumen werden die Töne mit anderen Namen bezeichnet. Heute wird in den meisten Fällen auf Tasteninstrumenten die gleichstufige Stimmung eingesetzt, somit können die Halbtöne enharmonisch ausgetauscht werden. Das heißt, auf einer Klaviatur gibt es nur eine Taste für Cis und Des, für Dis und Es usw. Somit entspricht jeder der (mit der Publikation der Werckmeister-Stimmung im Jahr 1691) zwölf (in außereuropäischen Tonsystem auch mehr, meist 20–24) möglichen Töne innerhalb einer Oktave einer bestimmten Frequenz.
Bildliche Darstellung von Tonleitern
Es gibt unterschiedliche bildliche Darstellungen, die – je nachdem was verdeutlicht werden soll – mehr oder weniger gut geeignet sind, bestimmte Zusammenhänge zu verdeutlichen. In vielen Fällen lehnen sich die Darstellungen an den Griffmustern oder Tabulaturen von Instrumenten an. Einige wenige Darstellungen sind auch von bekannten Musiktheoretikern in deren Werken eingeführt worden, um bestimmte Theorien zu verdeutlichen. Darstellungen, die allen Aspekten gerecht werden, gibt es nicht.
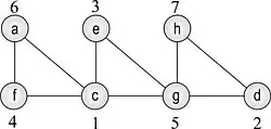
Das harmonisch-reine Tonnetz

Nach Leonhard Euler,[2] veröffentlicht in „Novi Commentarii academiae scientiarum Petropolitanae“.[3]
Es bildet nicht nur die Tonbeziehungen der harmonisch-reinen Stimmung ab (die Töne a, e und h erklingen so ein syntonisches Komma tiefer als in der pythagoreischen Quintenkette), sondern auch sehr anschaulich den Akkordvorrat einer jeden Dur- oder Molltonleiter, was insbesondere bei harmonisch und melodisch Moll sehr sinnvoll ist. Tatsächlich sind unsere geläufigen Dur- und Molltonleitern genau so gedacht, als in eine Oktave gebrachtem Tonvorrat der wichtigsten Harmonien (hier: F-Dur (links), C-Dur (Mitte), G-Dur (rechts), …). Nebenharmonien eben jeweils daneben vgl.: Carl Dahlhaus „Untersuchungen über die Entstehung der harmonischen Tonalität“[4] Zudem lassen sich mit diesem Tonnetz selbst funktionsharmonische Beziehungen verständlich darstellen; vgl.: Renate Imig: Systeme der Funktionsbezeichnung in den Harmonielehren seit Hugo Riemann.[5]
Darstellung im temperierten Halbtonzirkel

Die innere Symmetrie (hier as-d) wird sofort ersichtlich, was insbesondere bei einer Darstellung der Modi mit begrenzten Transpositionsmöglichkeiten hilfreich ist. Diese Grafik lässt sich auch auf die Darstellung von Zwölftonreihen oder Akkorden erweitern. Jedoch ist diese in dieser Fassung an einen Grundton gebunden. Die Tonbuchstaben können einfach weggelassen werden, solange ersichtlich ist, wo die Skala anfängt und wo sie aufhört. Diese Darstellung setzt die gleichstufige Temperatur voraus, was bei Kirchenmodi historisch nicht korrekt ist. Es sieht so aus, als ob Töne übersprungen würden und nicht zwischen diatonischem und chromatischem Halbtonschritt unterschieden wird. Dies ist jedoch in jeder Darstellung, die auf der temperierten Skala basiert, der Fall.
Tastenbelegungen als Vorlage

Die folgenden Grafiken stellen verschiedene Tonleitern nach der wenig verbreiteten Tastenbelegung von 6-plus-6-Instrumenten bildlich dar.
Das unterste Kästchen stellt den Grundton dar. Die Kästchen darüber sind die Töne der Tonleiter, benannt nach ihren Intervall zum Grundton. Die „Leiter“ ist also zickzackförmig zu lesen. Das oberste Kästchen stellt denselben Ton wie der Grundton dar, nur eine Oktave höher.
Das Schema ermöglicht das Erinnern von Mustern. Die Muster sind Distanzmuster, es lassen sich Halbtonschritte, Ganztonschritte und drei Halbtonschritte leicht erkennen.
![]() Dur (Ionisch) |
![]() reines Moll (Äolisch) |
![]() harmonisches Moll |
![]() Zigeuner-Moll |
![]() melodisches Moll |
Beispiele für Tonleitern
- Tonleitern der Pentatonik (pentatonische Tonleiter mit fünf Tönen bzw. Tonstufen):
- gewöhnliche Dur- und Mollpentatonik
- zwölf Lü der chinesischen Musik
- japanische Pentatonik
- Indische Pentatonik
- Slendro der Insel Java
- Pélog aus Indonesien
- Ganztonleiter (Hexatonik, sechs Töne)
- Tonleitern der Heptatonik (sieben Töne):
- Durtonleiter
- verschiedene Molltonleitern (reines oder natürliches Moll, harmonisches Moll, melodisches Moll)
- Kirchentonleitern (Dorisch, Phrygisch, Lydisch, Mixolydisch, Lokrisch usw.)
- akustische Skala
- phrygisch-dominante Tonleiter
- Zigeunertonleitern („Zigeuner-Dur“ und „Zigeuner-Moll“) mit zwei Eineinhalbtonschritten
- Harmonisch-Dur-Tonleiter
- Mi-Sheberach-Tonleiter
- alterierte Skala
- enigmatische Leiter
- verminderte Skala (Oktatonik, acht Töne, auch Ganzton-Halbton-Leiter bzw. Halbton-Ganzton-Leiter genannt)
- chromatische Tonleiter (zwölf Töne im temperierten, europäischen Dur-Moll-System)
- Sonstige:
- frühgriechischen Aulos-Modi
- Ragas der indischen Musik
- Skalen des persischen Dastgah-Systems
- Bluestonleiter (siehe auch Blue Notes), schwebend zwischen Dur und Moll durch „Eintrübung“[7] der dritten und siebten Stufe der Durtonleiter
- Shepard-Skala
Siehe auch
Literatur
- Wieland Ziegenrücker: ABC Musik. Allgemeine Musiklehre. 6. Auflage. Breitkopf & Härtel, Wiesbaden 2009, ISBN 978-3-7651-0309-4, S. 112–150 (Die Tonleitern).
- Markus Fritsch, Katrin Jandl, Peter Kellert, Andreas Lonardoni: Harmonielehre & Songwriting. 8. Auflage 2020. LEU-Verlag, ISBN 3-928825-23-2, S. 61–68.
Weblinks
- Datenbank aller 2048 möglichen Skalen in 12 Tönen im .xls und FileMaker Format, System zur Kategorisierung von Skalen
- Harmonielehre-Workshop #1 – Dur Tonleiter auf bonedo.de
- Hörbeispiele:
- Stimmungen:
- Scala – Programm zum Erstellen, Analysieren und Manipulieren von Tonleitern und Stimmungen (Freeware)
Einzelnachweise
- ↑ Willibald Gurlitt, Hans Heinrich Eggebrecht (Hrsg.): Riemann Musiklexikon. Sachteil. 12. Auflage. B.Schott’s Söhne, Mainz 1967, S. 968.
- ↑ Leonhard Euler: De harmoniae veris principiis per speculum musicum repraesentatis
- ↑ Novi Commentarii academiae scientiarum Petropolitanae 18, St. Petersburg 1774.
- ↑ Carl Dahlhaus: Untersuchungen über die Entstehung der harmonischen Tonalität. Kassel 1965.
- ↑ Renate Imig: Systeme der Funktionsbezeichnung in den Harmonielehren seit Hugo Riemann. Düsseldorf 1970.
- ↑ Guerino Mazzola: Geometrie der Töne. Basel 1990, S. 78, 110.
- ↑ Wieland Ziegenrücker: ABC Musik. Allgemeine Musiklehre. 6. Auflage. Breitkopf & Härtel, Wiesbaden 2009, ISBN 978-3-7651-0309-4, S. 144 f.




