Transitive Hülle (Relation)
Die transitive Hülle bzw. der transitive Abschluss einer (zweistelligen) Relation ist die kleinste Erweiterung dieser Relation, die transitiv ist. Sie kann mit dem Floyd-Warshall-Algorithmus berechnet werden.
Die reflexiv-transitive Hülle bzw. den reflexiv-transitiven Abschluss der Relation erhält man, indem man zur transitiven Hülle die für Reflexivität noch fehlenden Paare auf der Diagonalen hinzufügt.
Anschauliches Beispiel

Gegeben sei eine Relation „Direkter-Vorgesetzter“ mit folgenden Beziehungen:
- C ist direkter Vorgesetzter von D und E
- B ist direkter Vorgesetzter von C
- A ist direkter Vorgesetzter von B
Die transitive Hülle dieser Relation enthält nun zusätzlich auch die indirekten Vorgesetzten:
- A ist Vorgesetzter von B, C, D, E
- B ist Vorgesetzter von C, D, E
- C ist Vorgesetzter von D und E
Mathematische Definition
Die transitive Hülle einer zweistelligen Relation auf einer Menge ist gegeben durch:
Die reflexive Hülle ist einfach die Vereinigung mit der Diagonalen (Identität), wodurch die Reflexivität erreicht wird:
- , [2][1] d. h. (siehe Identitätsrelation).
Die reflexiv-transitive Hülle ergibt sich dann durch
Ergänzung: Eine weitere Hüllenbildung dieser Art ist die symmetrische Hülle:
- , äquivalent zur Definition [3][4][1] (siehe inverse Relation).
Zur Äquivalenzhülle siehe: Äquivalenzrelation §Äquivalenzhülle.
Beispiele
- Ist gegeben durch die zwei Paare und , dann enthält zusätzlich das Paar . Für kommen die weiteren Paare , und dazu.
- Ist die Nachfolgerrelation auf der Menge der natürlichen Zahlen (also ), dann ergibt sich als transitive Hülle von die Größer-Relation . Die reflexiv-transitive Hülle ist die Größer-Gleich-Relation .
- Die Relation auf der Menge der 26 Buchstaben des lateinischen Alphabets sei gegeben durch und sind (in der gewöhnlichen Anordnung des Alphabets) direkt benachbart. Als transitive Hülle von ergibt sich die Allrelation, also die Relation, die alle Paare über der Grundmenge enthält (denn durch mehrfachen Übergang zu einem Nachbarn kann man von einem Buchstaben jeden beliebigen anderen Buchstaben erreichen). Da bereits reflexiv ist, gilt hier .
Eigenschaften
- ist die kleinste transitive Relation, die enthält.
- ist die kleinste reflexive und transitive Relation, die enthält.
- Der Übergang zur transitiven Hülle ist ein Hüllenoperator im abstrakten Sinne. Das Gleiche gilt für die reflexiv-transitive Hülle.
- Die transitive Hülle einer Relation auf einer Menge ist die Schnittmenge aller transitiven Obermengen von , also
- .
- Die Menge, über die hier der Durchschnitt gebildet wird, ist nicht leer, da sie stets die Allrelation enthält.
- Die analoge Aussage gilt für die reflexiv-transitive Hülle.
- Mit Hilfe der Potenzen bezüglich der Verkettung von Relationen lassen sich die beiden Hüllen einer Relation auch als (unendliche) Vereinigung schreiben:
- Im Zusammenhang mit einer Relation auf einer Menge versteht man unter einem Weg eine endliche Sequenz von Elementen aus mit für alle mit . Die um 1 verminderte Länge der Sequenz ist die Länge des Wegs. Der Weg führt vom Anfangspunkt zum Endpunkt .
Die durch erzeugte reflexiv-transitive Hülle kann als Relation dadurch beschrieben werden, dass genau dann gilt, wenn es einen Weg von nach gibt.
Analog gilt für die transitive Hülle , dass genau dann gilt, wenn es einen Weg von nach mit einer Länge größer 0 gibt.[5] - Es gibt endlich viele Elemente mit , und für jeweils oder .
- Für reflexive Relationen gilt . Allerdings kann es auch für irreflexive Relationen vorkommen, dass der transitive Abschluss bereits reflexiv ist.
- Für beliebige Relationen ist eine Quasiordnung.
- Idempotenz der Hülloperatoren: .
Anwendungen
In der Theoretischen Informatik werden Ableitungen in einer formalen Grammatik als Folgen von Ableitungsschritten definiert. Die Ableitbarkeit ist also der reflexiv-transitive Abschluss der Transitionsrelation .
Transitive Reduktion
Das Gegenstück zur transitiven Hülle ist die transitive Reduktion. Eine transitive Reduktion einer Relation ist eine minimale Relation , so dass , also eine minimale Relation mit derselben transitiven Hülle.[6]
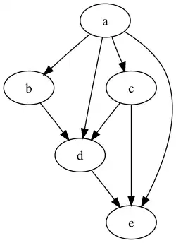
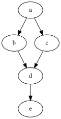
Es gibt sowohl Relationen, für die keine transitive Reduktion existiert, als auch solche, für die mehrere unterschiedliche transitive Reduktionen existieren. Für gerichtete endliche azyklische Graphen jedoch existiert die transitive Reduktion und ist eindeutig: . Das folgende Bild zeigt für diesen Fall Graphen, die einer nichttransitiven binären Relation (links) und ihrer transitiven Reduktion (rechts) entsprechen:[7]
|
|
Verwandte Begriffe:
- Reflexive Reduktion: Die reflexive Reduktion einer Relation auf einer Menge ist die minimale Relation , mit derselben reflexiven Hülle. Das bedeutet, dass äquivalent ist zu oder .[8][9]
- Es gibt kein vergleichbares Konzept einer symmetrischen Reduktion von Relationen, etwa die (symmetrische) Relation . [10]
Siehe auch
Weblinks
- Joost-Pieter Katoen: Datenstrukturen und Algorithmen, RWTH Aachen, Lehrstuhl für Informatik 2, 6. Juli 2010 (abgerufen am 16. April 2018)
- Daniel Reinhold, Shenja Leiser: Algorithmen zur Berechnung der Transitiven Hülle einer Datenbankrelation ( vom 6. März 2016 im Internet Archive; PDF; 236 KB), Humboldt-Universität Berlin, 6. Februar 2006 (abgerufen am 16. April 2018)
- Metz 2010 – Hans-Rudolf Metz: Relationen, Wege, Hüllen, FH Gießen-Friedberg, Diskrete Mathematik (Informatik), SS 2010 – Skript 16, 2. Juni 2010 (abgerufen am 1. Mai 2018)
- Renate Winter: Transitive Hülle einer Relation ( vom 29. September 2018 im Internet Archive; PDF; 36 KB), Universität Halle, Theoretische Informatik, WS 2010 (abgerufen am 16. April 2018)
Einzelnachweise
- ↑ a b c Kenneth H. Rosen: Closure of Binary Relation ( vom 21. August 2018 im Internet Archive), in: CS381 Discrete Structures, Old Dominion University, Norfolk, Virginia, 1999. Der Autor benutzt die Notationen , , .
- ↑ H. W. Lang: Mathematische Grundlagen: Menge, Relation, Abbildung, Hochschule Flensburg, 1997-2022, Abschnitt Relation
- ↑ Notation wie in Symmetric Closure, auf: ProofWiki vom 12. September 2016
- ↑ Kenneth Rosen: Closures of Relations, Rutgers School of Arts and Sciences, Department of Computer Sciences (CS), Discrete Mathematics and Its Applications: Section 6.4, S. TP 2f. Die des Autors ist .
- ↑ Siehe Metz 2010, S. 1. Im graphentheoretischen Sinn handelt es sich um einen gerichteten Weg (ohne Kantengewichte) der gegebenen Länge.
- ↑ Eric Weisstein: Transitive Reduction, Wolfram Research: Wolfram MathWorld 1999-2018
- ↑ Siehe Transitive reduction (englisch)
- ↑ Eric Weisstein: Reflexive Reduction, Wolfram Research: Wolfram MathWorld 1999-2018
- ↑ Notation folgt Definition:Reflexive Reduction, auf: ProofWiki vom 21. Februar 2018
- ↑ Symmetric Closure §Notes, auf: ProofWiki vom 12. September 2016

