Trifluormethansulfonylazid
| Strukturformel | |||||||||||||
|---|---|---|---|---|---|---|---|---|---|---|---|---|---|
| |||||||||||||
| Allgemeines | |||||||||||||
| Name | Trifluormethansulfonylazid | ||||||||||||
| Andere Namen |
| ||||||||||||
| Summenformel | CF3N3O2S | ||||||||||||
| Kurzbeschreibung |
farblose Flüssigkeit[1] | ||||||||||||
| Externe Identifikatoren/Datenbanken | |||||||||||||
| |||||||||||||
| Eigenschaften | |||||||||||||
| Molare Masse | 175,09 g·mol−1 | ||||||||||||
| Aggregatzustand |
flüssig | ||||||||||||
| Dichte | |||||||||||||
| Siedepunkt | |||||||||||||
| Dampfdruck | |||||||||||||
| Löslichkeit |
löslich in Hexan, Decalin, Dichlormethan, THF, Dioxan, Aceton, Acetonitril, DMF, DMSO, Methanol[1] | ||||||||||||
| Sicherheitshinweise | |||||||||||||
| |||||||||||||
| Wenn nicht anders vermerkt, gelten die angegebenen Daten bei Standardbedingungen (0 °C, 1000 hPa). | |||||||||||||
Trifluormethansulfonylazid ist eine organisch-chemische Verbindung, die sich als Derivat von der Trifluormethansulfonsäure ableitet und auch der Stoffgruppe der Azide zugeordnet werden kann. Es wird in der organischen Synthese als Reagenz zur Einführung der Diazo- bzw. Trifluormethansulfonylfunktion verwendet.[1]
Darstellung und Gewinnung
Trifluormethansulfonylazid kann durch Umsetzung von Trifluormethansulfonsäureanhydrid,[5][6][7] Trifluormethansulfonylfluorid[2] oder Trifluormethansulfonylchlorid[8] mit Natriumazid hergestellt werden. Eine Aufreinigung kann durch vorsichtige Destillation unter reduziertem Druck erfolgen.[1][9]
Eigenschaften
Trifluormethansulfonylazid ist bei Raumtemperatur eine farblose Flüssigkeit, die unter Normaldruck bei 80–81 °C siedet. Siedepunkte unter reduziertem Druck liegen bei 52,3 °C und 444 mmHg[9] bzw. 45 °C und 350 mmHg.[8] Die Verbindung neigt zur explosionsartigen Zersetzung.[5] Die reine Verbindung kann bis zu einer Temperatur von 100 °C thermisch stabil sein.[1][2] Wegen ihrer thermischen Instabilität wird sie meist in Lösung in Dichlormethan,[7] n-Hexan,[6] Acetonitril[8] oder 1,2-Dichlorethan[10] hergestellt und verwendet. Eine Lösung in Dichlormethan ist bei −14 °C einige Wochen,[11] eine Lösung in n-Heptan bei 4 °C einige Tage[6] stabil.
Verwendung
Die Verbindung kann zur Umwandlung primärer Amine in Azide verwendet werden. Dies wurde mit Alkylaminen,[5] Aminodeoxyhexosen[7][12] Aminosäuren[13] und Peptiden[13] beschrieben. Diese Umsetzung kann durch den Zusatz von Metallkatalysatoren (z. B. Cu2+, Ni2+, Zn2+) wesentlich beschleunigt werden.[14] So kann das Neomycin mit sechs Aminogruppen in das entsprechende sechsfach substituierte Azid umgewandelt werden.[14] Zudem gelingt die Umsetzung von substituierten Anilinen zu den entsprechenden Phenylaziden.[15]
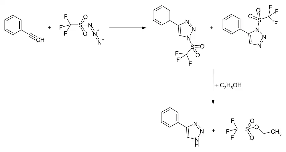
Trifluormethansulfonylazid geht mit elektronenreichen Alkenen 1,3-dipolare Cycloadditionen ein. Durch eine Addition an Enolate,[11] Enolether[6][16] und Enamine[10][17][18] wird intermediär ein thermisch instabiles 1,2,3-Triazolin gebildet. Je nach Substitutionstyp zerfällt dies zu den entsprechenden Diazoverbindungen, N-Triflylamiden oder Triflylaminen. Analog ist eine 1,3-dipolare Cycloaddition auch an Alkine möglich. Phenylacetylen reagiert mit Trifluormethansulfonylazid unter Bildung der beiden möglichen Additionsprodukte, wo durch Erhitzen in Ethanol unter Abspaltung der Trifluormethansulfonylgruppe das stabile 4-Phenyl-1H-1,2,3-triazol erhalten werden kann.[19]
Bei Temperaturen oberhalb von 80 °C wird unter Abspaltung von Stickstoff das instabile Trifluormethansulfonylnitren gebildet. Mit substituierten Benzolen bilden sich nach der Addition entsprechende N-Trifluormethansulfonylaniline[8], in Pyridin das Pyridinium N-trifluorsulfonylaminid.[20]
Einzelnachweise
- ↑ a b c d e f g e-EROS Encyclopedia of Reagents for Organic Synthesis, 1999–2013, John Wiley and Sons, Inc., Eintrag für Trifluormethanesulfonyl Azide, abgerufen am 15. Januar 2015.
- ↑ a b c d Nazaretyan, V. P.; Yagupol’skii, L. M., J. Org. Chem. USSR 14 (1978) 192.
- ↑ Behrend, E.; Haas, A.: in Chemiker-Zeitung 95 (1971) 1009–1010.
- ↑ Dieser Stoff wurde in Bezug auf seine Gefährlichkeit entweder noch nicht eingestuft oder eine verlässliche und zitierfähige Quelle hierzu wurde noch nicht gefunden.
- ↑ a b c Cavender, C. J.; Shiner, V. J., Jr.: Trifluoromethanesulfonyl azide. Its reaction with alkyl amines to form alkyl azides in J. Org. Chem. 37 (1972) 3567–3569, doi:10.1021/jo00795a052.
- ↑ a b c d Fritschi, S.; Vasella, A.: Synthesis of N,N-Disubstituted Lactone Hydrazones via (Sulfonylimino)-ethers in Helv. Chim. Acta 74 (1991) 2024–2034, doi:10.1002/hlca.19910740837.
- ↑ a b c Vasella, A.; Witzig, C.; Chiara, J.-L.; Martin-Lomas, M.: Convenient Synthesis of 2-Azido-2-deoxy-aldoses by Diazo Transfer in Helv. Chim. Acta 74 (1991) 2073–2077, doi:10.1002/hlca.19910740842.
- ↑ a b c d Kamigata, N.; Yamamoto, K.; Kawakita, O.; Hikita, K.; Matsuyama, H.; Yoshida, M.; Kobayashi, M.: Reactions of Trifluoromethanesulfonyl Azide with Aromatic Compounds in Bull. Chem. Soc. Jap. 57 (1984) 3601–3602, doi:10.1246/bcsj.57.3601, pdf.
- ↑ a b Ruff, J. K.: Sulfur Oxyfluoride Derivatives. II in Inorg. Chem. 4 (1965) 567–570, doi:10.1021/ic50026a027.
- ↑ a b Norbeck, D. W.; Kramer, J. B.: Synthesis of (–)-oxetanocin in J. Am. Chem. Soc. 110 (1988) 7217–7218, doi:10.1021/ja00229a048.
- ↑ a b Benati, L.; Nanni, D.; Spagnolo, P.: Reactions of Benzocyclic β-Keto Esters with Sulfonyl Azides. 2. Further Insight into the Influence of Azide Structure and Solvent on the Reaction Course in J. Org. Chem. 64 (1999) 5132–5138, doi:10.1021/jo9901541.
- ↑ Ludin, C.; Schwesinger, B.; Schwesinger, R.; Meier, W.; Seitz, B.; Weller, T.; Hoenke, C.; Haitz, S.; Erbeck, S.; Prinzbach, H.: Total syntheses of enantiomerically pure D- and L-glycosyl donors as components of sannamycin-type aminoglycoside antibiotics in J. Chem. Soc., Perkin Trans. 1 1994, 2685–2701, doi:10.1039/P19940002685.
- ↑ a b Zaloom, J.; Roberts, D. C.: Preparation of azido derivatives from amino acids and peptides by diazo transfer in J. Org. Chem. 46 (1981) 5173–5176, doi:10.1021/jo00338a022.
- ↑ a b Alper, P. B.; Hung, S.-C.; Wong, C.-H.: Metal catalyzed diazo transfer for the synthesis of azides from amines in Tetrahedron Lett. 37 (1996) 6029–6032, doi:10.1016/0040-4039(96)01307-X.
- ↑ Liu, Q.; Tor, Y.: Simple Conversion of Aromatic Amines into Azides in Org. Lett. 2003, 5, 2571–2572, doi:10.1021/ol034919+.
- ↑ Xu, Y.; Xu, G.; Zhu, S.; Zhu, G.; Jia, Y.; Huang, Q.: Reactions of fluoroalkanesulfonyl azides with trimethylsilyl enol ethers in J. Fluor. Chem. 96 (1999) 79–85, doi:10.1016/S0022-1139(99)00009-3.
- ↑ Ondrus, T. A.; Pednekar, P. R.; Knaus, E. E.: Some reactions of 1-methyl-1,2-dihydropyridines with organic azides. Synthesis and reactions of 1,2,5,6-tetrahydropyridylidene-2-cyan(sulfon)amides and piperidylidene-2-cyan(sulfon)amides. In: Canadian Journal of Chemistry. 63 (9), 1985, S. 2362–2368, doi:10.1139/v85-391.
- ↑ Quast, H.; Ivanova, S.; Peters, E.-M.; Peters, K.: Ring Expansion of 2-Alkylidenedihydroquinolines to 2-Iminodihydro-1-benzazepines by Phenyl, Methanesulphonyl, and Trifluoromethanesulphonyl Azide in Eur. J. Org. Chem. 2000, 507–520, doi:10.1002/(SICI)1099-0690(200002)2000:3<507::AID-EJOC507>3.0.CO;2-V.
- ↑ Shainyan, B. A.; Meshcheryakov, V. I.: Trifluoromethanesulfonyl Azide as a Convenient Reagent for Synthesis of Triazoles in Russ. J. Org. Chem. 37 (2001) 1797–1798, doi:10.1023/A:1013911615568.
- ↑ Xu, Y.; Zhu, S.: Study on the reactions of fluoroalkanesulfonyl azides with pyridine and its derivatives in Tetrahedron 55 (1999) 13725–13734, doi:10.1016/S0040-4020(99)00856-X.
