Umbelliferose

Strukturformel
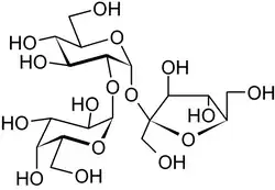
Strukturformel von Umbelliferose
Allgemeines
Name Umbelliferose
Andere Namen
  • α-D-Galactopyranosyl-(1→2)-α-D-glucopyranosyl-(1→2)-β-D-fructofuranosid
  • α-D-Galp-(1→2)-α-D-Glcp-(1→2)-β-D-Fruf
Summenformel C18H32O16
Externe Identifikatoren/Datenbanken
CAS-Nummer 546-60-1
PubChem 5461157
ChemSpider 4574486
Wikidata Q2478067
Eigenschaften
Molare Masse 504,17 g·mol−1
Sicherheitshinweise
GHS-Gefahrstoffkennzeichnung
keine Einstufung verfügbar[1]
Wenn nicht anders vermerkt, gelten die angegebenen Daten bei Standardbedingungen (0 °C, 1000 hPa).

Umbelliferose ist ein Dreifachzucker (Trisaccharid), der überwiegend in Doldenblütlern vorkommt. In einigen Arten ersetzt sie – ganz oder teilweise – die Stärke als Reservestoff. Sie wird biosynthetisch gebildet, indem das Enzym Saccharose-Galactosyl-Transferase einen Galactosylrest von UDP-Galactose auf Saccharose transferiert.

α-D-Glcp-(1→2)-β-D-Fruf + UDP-α-D-Galp α-D-Galp-(1→2)-α-D-Glcp-(1→2)-β-D-Fruf + UDP

Einzelnachweise

  1. Dieser Stoff wurde in Bezug auf seine Gefährlichkeit entweder noch nicht eingestuft oder eine verlässliche und zitierfähige Quelle hierzu wurde noch nicht gefunden.

Literatur

  • H. Hopf, Otto Kandler: Biosynthesis of Umbelliferose in Aegopodium podagraria. In: Plant Physiology 1974, 54(1), S. 13–14, PMC 541493 (freier Volltext).