Bupropion
| Strukturformel | ||||||||||||||||
|---|---|---|---|---|---|---|---|---|---|---|---|---|---|---|---|---|
| ||||||||||||||||
| (S)-Form (oben) und (R)-Form (unten), 1:1-Stereoisomerengemisch | ||||||||||||||||
| Allgemeines | ||||||||||||||||
| Freiname | Bupropion | |||||||||||||||
| Andere Namen |
| |||||||||||||||
| Summenformel |
| |||||||||||||||
| Externe Identifikatoren/Datenbanken | ||||||||||||||||
| ||||||||||||||||
| Arzneistoffangaben | ||||||||||||||||
| ATC-Code | ||||||||||||||||
| Wirkstoffklasse |
| |||||||||||||||
| Wirkmechanismus |
Selektiver Noradrenalin- und Dopamin-Wiederaufnahmehemmer | |||||||||||||||
| Eigenschaften | ||||||||||||||||
| Molare Masse | ||||||||||||||||
| Aggregatzustand |
| |||||||||||||||
| Schmelzpunkt |
233–234 °C (Bupropionhydrochlorid)[1] | |||||||||||||||
| Siedepunkt | ||||||||||||||||
| pKS-Wert |
7,9 (Bupropionhydrochlorid)[1] | |||||||||||||||
| Löslichkeit |
Wasser: 312 mg·ml−1 (Bupropionhydrochlorid)[1] | |||||||||||||||
| Sicherheitshinweise | ||||||||||||||||
| ||||||||||||||||
| Toxikologische Daten | ||||||||||||||||
| Wenn nicht anders vermerkt, gelten die angegebenen Daten bei Standardbedingungen (0 °C, 1000 hPa). | ||||||||||||||||
Bupropion (bis 2000 unter dem Internationalen Freinamen Amfebutamon bekannt[4], in Medikamenten als Bupropionhydrochlorid verwendet[5][6]) ist ein Arzneistoff zur Behandlung von Depressionen, zur Raucherentwöhnung sowie zur Appetitzüglung. Der Wirkstoff gehört zur Gruppe der substituierten Cathinone, eine Untergruppe der Amphetamine, und ist daher zum Beispiel mit dem Anoretikum Amfepramon und dem Stimulanz Cathinon verwandt.
Bupropion wird vorrangig als selektiver Wiederaufnahmehemmer von Dopamin und Noradrenalin (SNDRI – Selektive Noradrenalin/Dopamin Reuptake Inhibitor) eingestuft. Die klinische Relevanz seiner dopaminergen Wirkung wird jedoch zunehmend angezweifelt.[4] Neuere Forschungsergebnisse zeigen, dass Bupropion direkt eine Dopamin- und Noradrenalin-Ausschüttung bewirkt (siehe Wirkungsweise).[5][6]
Bupropion wurde 2021 in die Liste der unentbehrlichen Arzneimittel der Weltgesundheitsorganisation in der Gruppe der Psychopharmaka als „Medikament bei Suchterkrankungen“ aufgenommen.[7]
Anwendungsgebiete
Depression
Bupropion ist seit 2007 in Deutschland unter dem Handelsnamen Elontril (Bupropionhydrochlorid)[8] zur Behandlung von Depression zugelassen. In den USA wird Bupropion seit 1984 als Antidepressivum eingesetzt. In mehreren Studien konnte gezeigt werden, dass die Wirksamkeit von Bupropion mit der Wirksamkeit der Antidepressiva aus der Klasse der sogenannten selektiven Serotonin-Wiederaufnahmehemmer (SSRI) vergleichbar ist. Bezogen auf Response und Remission wirkt es im Vergleich schlechter als Venlafaxin.[9] Die unter der Behandlung mit vielen SSRI häufig auftretende sexuelle Dysfunktion (Post-SSRI Sexual Dysfunction – PSSD) kommt unter Bupropion seltener vor.[10][11][12][13]
Bupropion wirkt in der Zweitlinientherapie[14] nach Therapieversagen von Citalopram ähnlich gut wie Buspiron, Venlafaxin und Sertralin und führt bei etwa einem Viertel der Patienten zu einer Remission.[15][10]
In einer Veröffentlichung im New England Journal of Medicine wurde darauf hingewiesen, dass die US-Zulassung der SR-Retardformulierung von Bupropion (Wellbutrin SR) als Antidepressivum sich auf drei Wirksamkeitsstudien stützte, von denen die US-amerikanische Zulassungsbehörde für Arzneimittel (FDA) zwei als negativ beurteilte.[16]
Kombinationstherapie
Die Kombination von Bupropion mit anderen Antidepressiva (außer Citalopram und Desipramin), Benzodiazepinen (außer Diazepam) und Neuroleptika wurde nicht systematisch untersucht.[17] Lediglich im Rahmen von Untersuchungen zur Wirkung von Bupropion auf von SSRI ausgelöste sexuelle Dysfunktionen wurden Kombinationen von Bupropion mit verschiedenen SSRI durchgeführt.[18][19] Die Idee, eine sexuelle Dysfunktion aufgrund der Einnahme anderer Antidepressiva durch zusätzliche Gabe von Bupropion zu bessern, ist umstritten.[20] Es wurde jedoch in einigen klinischen Studien eine deutliche Verbesserung von durch SSRI hervorgerufenen sexuellen Dysfunktion beobachtet.[21]
In Kombination mit anderen Antidepressiva soll Bupropion einige Nebenwirkungen dieser Stoffe ausgleichen. Unerwünschter Müdigkeit, die durch sedierende Antidepressiva (z. B. Mianserin und Mirtazapin) entsteht, kann gegebenenfalls durch die stimulierende Wirkung von Bupropion entgegengewirkt werden. Zur Besserung von Müdigkeitserscheinungen wird Bupropion am Beginn, das ermüdende Antidepressivum am Ende des Tages genommen.[22][23] Schlaffördernde oder sexuell dämpfende Antidepressiva wiederum können den durch Bupropion ausgelösten Schlafstörungen oder dem Priapismus entgegenwirken. Das Beheben von Nebenwirkungen anderer Antidepressiva ist keine zugelassene Indikation von Bupropion.
Raucherentwöhnung
Die Substanz ist zur Raucherentwöhnung zugelassen und in Deutschland unter dem Namen Zyban erhältlich. In einer Metaanalyse von 31 Studien zeigte sich, dass unter der Behandlung mit Bupropion der Anteil von Patienten, die nach der Behandlung mindestens sechs Monate lang nicht rauchten, mit 19 % fast doppelt so hoch war, wie der von 10,3 % unter einer Placebo-Behandlung. Bupropion ist im direkten Vergleich ebenso wirksam wie Nikotinpflaster. Nikotinpflaster zusätzlich zu Bupropion verbesserten die Abstinenzrate nicht.[24] Es gibt Hinweise darauf, dass Bupropion dem Vareniclin unterlegen ist.[25] Die Therapie ist nur bei Trägern einer bestimmten, bei europäischstämmigen Menschen allerdings weit verbreiteten, Genvariante im Cytochrom-P450-System erfolgversprechend: Ungefähr 45 % aller Menschen europäischer Herkunft haben den Genotyp CYP2B6*6. 33 % der Träger dieser Genvariante konnten durch Bupropion mit dem Rauchen aufhören (bei den Probanden, die ein Placebo erhielten, waren es nur 14 %). Die Träger einer anderen Genvariante (Genotyp CYP2B6*1) hatten jedoch keinen Nutzen durch Bupropion.[26][27]
Weitere Indikationen
Bupropion kann gegen ADHS verwendet werden, wobei die Substanz dafür keine Zulassung besitzt und an Patienten unter 18 Jahren nicht auf Wirksamkeit und Sicherheit geprüft wurde.[28][17]
Bupropion kann auch zu Verminderung des Appetites und zu Gewichtsverlust führen, war aber zu diesem Zweck zunächst nicht zugelassen.[29] In einer herstellerfinanzierten 48-wöchigen Studie verloren die mit Bupropion behandelten Patienten etwas mehr Gewicht (bis 5,1 %) als diejenigen, die ein Scheinmedikament (Placebo) einnahmen. Das entspräche etwa der Wirkung anderer Schlankmacher.[30] Ob das Körpergewicht nach Absetzen – wie von ähnlichen Substanzen wie Sibutramin bekannt – wieder ansteigt (Jojo-Effekt), ist bislang nicht geklärt.[31] Ein Kombinationspräparat aus Bupropion und Naltrexon hat sich in klinischen Studien als eine wirksame Methode zur Gewichtsabnahme für Adipositas-Patienten erwiesen.[32] Es ist seit 2018 in Deutschland unter dem Markennamen Mysimba erhältlich. Das Nutzen-Risiko-Verhältnis wurde in der Deutschen Apothekerzeitung als ungünstig bewertet.[33]
Geschichte
Die Zulassung von Bupropion als Antidepressivum bestand in den USA seit 1984, wurde jedoch wegen wiederholter Meldungen von Krampfanfällen, die teilweise tödlich endeten, 1986 wieder entzogen. Nach darauffolgenden zusätzlichen Studien wurde festgestellt, dass Krampfanfälle eine seltene und dosisabhängige Nebenwirkung sind. Daraufhin wurde die Zulassung in den USA 1989 in niedrigerer Dosierung wieder erteilt. 1996 wurde von der Food and Drug Administration (FDA) eine Retard-Formulierung (SR, sustained release) zugelassen, die zweimal tägliche Gabe erlaubt; 2003 dann eine (XL oder XR, extended release), die einmal tägliche Gabe erlaubt.
In Deutschland wurde die Zulassung als Antidepressivum in einer retardierten Präparatform unter der Bezeichnung Elontril zum 2. April 2007 erteilt. Bupropion wurde auch schon vor der amtlichen Zulassung off-label als Antidepressivum angewendet.
In der Schweiz war der Wirkstoff anfangs nur zur Raucherentwöhnung (Zyban) registriert. Seit Dezember 2007 ist Bupropion als Antidepressivum unter dem Handelsnamen Wellbutrin XR zu 150 mg und 300 mg zugelassen. Es wurde in die Spezialitätenliste aufgenommen und wird somit von der Grundversicherung der Krankenkasse vergütet. Es besteht eine Limitatio: Behandlung von depressiven Episoden; die Einleitung der Therapie muss durch einen Psychiater oder Neurologen erfolgen.
Pharmakologie
Chemisch ist Bupropion ein β-Ketoamphetamin-Derivat und gehört zur Gruppe der Cathinone. Allgemein ist es den Phenethylaminen zuzuordnen und dort der Untergruppe der Amphetamine. Es ist daher möglich, dass während der Behandlung ein urinaler Drogentest bezüglich Amphetamin und Methamphetamin positiv ausfällt.
Eine weitere Untergruppe der Phenylethylamine bilden die Catecholamine, zu denen beispielsweise die Neurotransmitter Dopamin, Noradrenalin und Adrenalin gehören; mit diesen ist Bupropion daher ebenfalls nahe verwandt. Im Gegensatz zu ihnen und vielen anderen Amphetaminen besitzt es jedoch eine Ketogruppe (funktionelle Gruppe). Auf Basis von Bupropion wurden ähnlich wirkende Substanzen wie Radafaxin entwickelt. Bupropion ist chiral (existiert in zwei spiegelbildlichen Varianten) und kommt als Racemat [1:1-Gemisch von (S)-Form und (R)-Form] zur Anwendung.
Wirkungsweise
Basierend auf Tierexperimenten wurde Bupropion zunächst als schwacher Dopamin-Noradrenalin-Wiederaufnahmehemmer (NDRI) charakterisiert.[4] Das Verhältnis der Wiederaufnahmehemmung von Dopamin zu Noradrenalin beträgt etwa 2:1. Es wurde jedoch inzwischen festgestellt, dass der Wirkstoff auch eine Ausschüttung von Dopamin und Noradrenalin bewirkt („norepinephrine and dopamine releasing agent“, NDRA).[5][6]
Durch seine intensive Verstoffwechselung kann man den Wirkmechanismus von Bupropion jedoch nicht ohne seine Metaboliten verstehen. Denn diese erreichen teilweise erheblich höhere Konzentrationen als Bupropion selbst. Hydroxybupropion z. B. kann eine bis zu 16- bis 20-fache Plasma-Konzentration von Bupropion erreichen.[4]
Mehrere PET-Studien untersuchten beim Menschen die Besetzung der Dopamin-Transporter (DAT) durch Bupropion, wobei sich niedrige Werte zwischen 14 %–26 % ergaben.[34][35] In einer Folgestudie wurde dann direkt die extrazelluläre Konzentration von Dopamin nach Einnahme von Bupropion gemessen, dabei zeigte sich kein Anstieg des Dopaminspiegels. Bei Ratten konnte jedoch eine Erhöhung beobachtet werden. Daraus folgerten die Forscher, dass die Besetzung der DAT durch Bupropion im menschlichen Gehirn vermutlich zu schwach sei für einen merklichen Anstieg der Dopaminkonzentrationen.[36]
Verstoffwechselung
Bupropion wird in der Leber hauptsächlich über CYP450-2B6 metabolisiert. Als aktive Metaboliten wurden (R,R)-Hydroxybupropion (1), (S,S)-Hydroxybupropion (2), threo-Hydroxybupropion (3) und erythro-Hydroxybupropion (4) identifiziert. Diese werden weiter in inaktive Metaboliten metabolisiert, die über den Urin ausgeschieden werden.[37]
- Bioverfügbarkeit: > 87 %
- Proteinbindung: 84 %
- Verteilungsvolumen: ≈ 2000 l
- Plasmahalbwertszeit: 9–25 Stunden[38]
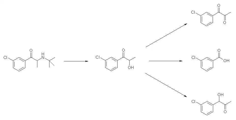
Die Verbindung neigt in wässrigen Medien zur Hydrolyse. In einem ersten Schritt wird 1-(3-Chlorphenyl)-2-hydroxy-1-propanon gebildet, welches schnell in drei Parallelreaktionen zu den Folgeprodukten 3-Chlorbenzoesäure, 1-(3-Chlorphenyl)-1-hydroxy-2-propanon und 1-(3-Chlorphenyl)-1,2-propandion weiterreagiert.[39] Die Hydrolysegeschwindigkeit ist pH-abhängig. Während bei pH-Werten unter 5 praktisch keine Hydrolyse beobachtet wird, erfolgt im basischen Medium eine vollständige Hydrolyse in wenigen Stunden.[39] Die Halbwertszeit beträgt in Blutplasma bei 37 °C 11,4 h.[40]
Stoffeigenschaften
Bupropion tritt in zwei polymorphen Kristallformen auf.[41] Form 1 kristallisiert in einem monoklinen Kristallgitter mit der Raumgruppe P21/c (Raumgruppen-Nr. 14), Form 2 in einem orthorhombischen Gitter mit der Raumgruppe Pbca (Nr. 61).[41] Beim Aufheizen zeigt die Form 2 um 220 °C einen enantiotropen Festphaseübergang und wandelt sich in Form 1 um.[41] Die Form 1 schmilzt bei 234 °C. Bei Raumtemperatur ist Form 2 die thermodynamisch stabilere Form. Form 1 ist metastabil und lagert sich nur langsam bei Lagerung bei Raumtemperatur über einen Zeitraum von einem Jahr in Form 2 um.[41]
Herstellung
Die Synthese von Bupropion geht von 3-Chlorpropiophenon aus, das in einem ersten Schritt in α-Stellung zur Ketogruppe bromiert wird. Anschließend erfolgt eine nucleophile Substitutionsreaktion mit tert-Butylamin zur Zielverbindung.[42][43] Aus der Synthese resultiert das Racemat.
Wechselwirkungen
Nicht gleichzeitig verwendet werden dürfen MAO-Hemmer, da diese auch auf katecholaminerge Stoffwechselwege wirken. Bei Alkoholkonsum unter der Behandlung gibt es Hinweise auf seltene neuropsychiatrische Nebenwirkungen. Das Risiko für Krampfanfälle steigt bei gleichzeitiger Gabe mit Medikamenten, die die Krampfschwelle senken, wie bestimmte Antipsychotika, Antidepressiva, Antimalariamittel, Tramadol, Theophyllin, systemische Steroide, Chinolon-Antibiotika und sedierende Antihistaminika.[17]
Wirkung von Bupropion auf andere Medikamente
Bupropion und seine Stoffwechselprodukte hemmen den CYP450-2D6-Stoffwechselweg und führen darüber zu einem Anstieg des Blutspiegels aller Trizyklika außer Doxepin (sehr stark: Desipramin, Nortriptylin, stark: Clomipramin) und vieler SSRI, des Schmerzmittels Tramadol, von Antipsychotika wie Risperidon und Thioridazin, Betablockern wie Metoprolol, Klasse-1C-Antiarrhythmika wie Propafenon und Flecainid. Auch der Citalopram-Spiegel steigt trotz anderem Stoffwechselweg bei gleichzeitiger Einnahme. Die sedierende Wirkung von Diazepam wird vermindert. Bei gleichzeitiger Gabe mit Nikotinpflastern kann es zu Blutdruckanstieg kommen.[17]
Wirkung anderer Medikamente auf Bupropion
Bupropion selber wird über das Cytochrom P450-2B6 zu seinem aktiven Metaboliten Hydroxybupropion verstoffwechselt. Medikamente, die diesen Stoffwechselweg beeinflussen (wie Cyclophosphamid, Isofosfamid, Orphenadrin, Ticlopidin, Clopidogrel), verschieben das Verhältnis von Bupropion zu Hydroxybupropion mit ungeklärter Auswirkung. Bei gemeinsamer Anwendung mit anderen Medikamenten wie Carbamazepin, Phenytoin und Valproinsäure, die bekanntermaßen stark in Stoffwechselwege eingreifen, wird zur Vorsicht geraten. Bupropion sollte nur mit Vorsicht zusammen mit Levodopa und Amantadin angewendet werden, da vermehrt Nebenwirkungen auftreten.[17]
Nebenwirkungen
Bupropion unterscheidet sich in seinem Nebenwirkungsprofil sehr von den gewöhnlich verwendeten Antidepressiva, weil vor allem die typischen Nebenwirkungen von Psychostimulanzien vorkommen. Häufigste Nebenwirkungen sind Mundtrockenheit und Schlaflosigkeit, wobei letztere durch Vermeidung der Medikamenteneinnahme zur Schlafenszeit vermindert werden kann. Weitere Nebenwirkungen können u. a. sein: Kopfschmerzen, Benommenheit, Appetitlosigkeit, Gelenk- und Muskelschmerzen, Zittern, Angst, Konzentrationsstörungen, Verwirrtheit. Außerdem kann Bupropion (den medizinischen Notfall) Priapismus auslösen oder einen Anstieg von Blutdruck und Herzfrequenz bewirken.[44][45]
Bupropion kann sowohl Krampfanfälle bei Menschen auslösen, die keine diesbezügliche Vorgeschichte aufweisen, als auch die Krampfschwelle von Menschen mit Epilepsie senken. Insgesamt sind Krampfanfälle jedoch auch bei diesem Medikament eine seltene und dosisabhängige Nebenwirkung.[46] Die Häufigkeit wird mit 0,1 % im Dosisbereich bis 450 mg angegeben.[17] Erst bei Dosen ab 600 mg/Tag steigt das statistische Risiko für Krampfanfälle plötzlich rasch an.
Bei längerer oder häufiger Anwendung kann ein Suchtverhalten nicht ausgeschlossen werden. In einer Studie der Innsbrucker Universitätsklinik wurde herausgefunden, dass etwa sechs Prozent aller Probanden ein „high“-Gefühl durch Bupropion bekommen haben. Koffein in einer Menge, die zwei Tassen starken Kaffees entspricht, produzierte bei der getesteten Rauchergruppe jedoch deutlich stärkere „angenehme Effekte“ und „high-Gefühle“ als 150 mg retardiertes Bupropion.[47][48]
Besondere Vorsicht ist geboten bei zu Psychosen neigenden Patienten, denn Bupropion kann in seltenen Fällen eine psychotische Phase auslösen. Dies gilt auch bei manisch-depressiven Menschen, denn dieser Wirkstoff kann eine sog. Sekundär-Manie auslösen. Auch bei Menschen mit Anorexia nervosa (Magersucht) muss Vorsicht geboten sein, denn Bupropion kann durch die gelegentlich vorkommende Nebenwirkung der Gewichtsabnahme die Magersucht verschlimmern.
Bupropion kann das Brugada-Syndrom demaskieren. Bei diesem handelt es sich um eine seltene Erbkrankheit des Herzens, die zu Herzstillstand und plötzlichem Herztod führen kann. Bei Personen mit Brugada-Syndrom oder einer familiären Vorgeschichte für Herzstillstand oder plötzlichen Herztod ist daher Vorsicht geboten.[49]
Im Gegensatz zu vielen anderen Antidepressiva – insbesondere SSRI – wirkt sich Bupropion viel weniger bis gar nicht einschränkend auf die sexuelle Funktion aus. Dies zeigte sich in Vergleichsstudien vor allem bei Männern, da Frauen weit weniger zu durch Antidepressiva ausgelösten sexuellen Dysfunktionen neigen. Namentlich in Studien bezüglich Venlafaxin,[50] Paroxetin,[51] Sertralin,[52][53][54] Escitalopram[55] und Fluoxetin[56] wurde festgestellt, dass Bupropion im Gegensatz zu den Vergleichsarzneien weitgehend frei von Nebenwirkungen auf die sexuelle Funktion ist.
Schwangerschaft und Stillzeit
Die Sicherheit von Bupropion während der Schwangerschaft beim Menschen ist nicht nachgewiesen. Das potenzielle Risiko für den Menschen ist unbekannt. Bupropion sollte deswegen in der Schwangerschaft nur dann eingenommen werden, wenn es unbedingt erforderlich ist. Bupropion und seine Metaboliten treten in die Muttermilch über. Mütter sollten bei Einnahme von Bupropion nicht stillen.[57]
Handelsnamen
Elontril (D, A),[8] Wellbutrin (A, CH, L, USA), Zyban Retard (D, A, CH),[58] Forfivo XL (USA, 450 mg) und Generika[59][60][61][62]
Mysimba (D) (mit Naltrexon)
Literatur
- Josef Schöpf: Moderne Antidepressiva – Wechseln, Kombinieren und Augmentieren. Steinkopf Verlag, Darmstadt 2003, ISBN 3-7985-1426-7.
- Brigitte Woggon: Behandlung mit Psychopharmaka. 2., vollständig überarbeitete und erweiterte Auflage. Verlag Hans Huber, Hogrefe, Bern 2005, ISBN 3-456-83538-8.
Weblinks
- Bupropion bei Drugs.com – Drug Information Online (englisch)
- Bupropion: What Mechanism of Action? (englisch) bei www.Preskorn.com
- Kritische Bewertung im Arznei-Telegramm (2007)
- Gefährliche Diätpille: Pharmakologie-Experte rät von Mysimba ab
Einzelnachweise
- ↑ a b c d The Merck Index: An Encyclopaedia of Chemicals, Drugs and Biologicals. 14. Auflage. 2006, ISBN 0-911910-00-X, S. 246.
- ↑ a b Datenblatt Bupropionhydrochlorid bei Sigma-Aldrich, abgerufen am 14. März 2011 (PDF).
- ↑ Eintrag zu Bupropion in der ChemIDplus-Datenbank der United States National Library of Medicine (NLM) (Seite nicht mehr abrufbar)
- ↑ a b c Linda P. Dwoskin: Emerging Targets & Therapeutics in the Treatment of Psychostimulant Abuse, Elsevier Science, ISBN 978-0-12-420177-4, S. 177–216
- ↑ a b Thomas L. Lemke, David A. Williams: Foye’s Principles of Medicinal Chemistry. Lippincott Williams & Wilkins, 2012, ISBN 978-1-60913-345-0, S. 611–613 (google.com).
- ↑ a b Hugo R. Arias, Abel Santamaría, Syed Ali: Pharmacological and Neurotoxicological Actions Mediated By Bupropion and Diethylpropion. Academic Press, 1. Januar 2009, Chapter 9, S. 223–255, doi:10.1016/s0074-7742(09)88009-4.
- ↑ Mittel gegen Nikotinsucht "unverzichtbar" (Quelle nicht mehr online)
- ↑ a b Beipackzettel Elontril. In: Apotheken-Umschau. Abgerufen am 28. Juni 2022.
- ↑ IQWiG Vorbericht A05-20C Bupropion, Mirtazapin und Reboxetin bei der Behandlung der Depression. (PDF) Abgerufen am 15. Januar 2020.
- ↑ a b Edith Holsboer-Trachsler, Florian Holsboer: Antidepressiva. In: Florian Holsboer, Gerhard Gründer, Otto Benkert (Hrsg.): Handbuch der Psychopharmakotherapie. Springer Verlag, Heidelberg 2008, ISBN 978-3-540-20475-6, S. 525–527.
- ↑ Maurizio Fava, George I. Papakostas: Antidepressants. In: Theodore A. Stern, Jerrold F. Rosenbaum, Maurizio Fava u. a. (Hrsg.): Comprehensive Clinical Psychiatry. Mosby Elsevier, Philadelphia, 2008, ISBN 978-0-323-04743-2, S. 605.
- ↑ Papakostas u. a.: Efficacy of bupropion and the selective serotonin reuptake inhibitors in the treatment of major depressive disorder with high levels of anxiety (anxious depression): a pooled analysis of 10 studies. In: J Clin Psychiatry. 69(8), Aug 2008, S. 1287–1292. PMID 18605812.
- ↑ M. Fava, A. J. Rush, M. E. Thase, A. Clayton, S. M. Stahl, J. F. Pradko, J. A. Johnston: 15 years of clinical experience with bupropion HCl: from bupropion to bupropion SR to bupropion XL. In: Prim Care Companion J Clin Psychiatry. Band 7, Nr. 3, 2005, S. 106–113, PMID 16027765, PMC 1163271 (freier Volltext).
- ↑ siehe dazu: Erstlinientherapie
- ↑ Webseite der STAR*D-Studie (englisch).
- ↑ E. H. Turner, A. M. Matthews u. a.: Selective publication of antidepressant trials and its influence on apparent efficacy. In: N Engl J Med. 358(3), 17 Jan 2008, S. 252–260. PMID 18199864.
- ↑ a b c d e f Fachinformation Elontril ( vom 6. Dezember 2013 im Internet Archive), GSK 02/2007.
- ↑ P. S. Masand, A. K. Ashton, S. Gupta, B. Frank: Sustained-release bupropion for selective serotonin reuptake inhibitor-induced sexual dysfunction: a randomized, double-blind, placebo-controlled, parallel-group study. In: Am J Psychiatry. 158(5), May 2001, S. 805–807. PMID 11329407.
- ↑ A. H. Clayton, J. K. Warnock, S. G. Kornstein, R. Pinkerton, A. Sheldon-Keller, E. L. McGarvey: A placebo-controlled trial of bupropion SR as an antidote for selective serotonin reuptake inhibitor-induced sexual dysfunction. In: J Clin Psychiatry. 65(1), Jan 2004, S. 62–67. PMID 14744170.
- ↑ P. S. Masand, A. K. Ashton, S. Gupta, B. Frank: Sustained-release bupropion for selective serotonin reuptake inhibitor-induced sexual dysfunction: a randomized, double-blind, placebo-controlled, parallel-group study. In: The American Journal of Psychiatry. Band 158, Nummer 5, Mai 2001, S. 805–807, doi:10.1176/appi.ajp.158.5.805, PMID 11329407.
- ↑ A. H. Clayton, J. K. Warnock, S. G. Kornstein, R. Pinkerton, A. Sheldon-Keller, E. L. McGarvey: A placebo-controlled trial of bupropion SR as an antidote for selective serotonin reuptake inhibitor-induced sexual dysfunction. In: The Journal of Clinical Psychiatry. Band 65, Nummer 1, Januar 2004, S. 62–67, PMID 14744170.
- ↑ J. Schöpf: Moderne Antidepressiva – Wechseln, Kombinieren und Augmentieren. Steinkopf Verlag, Darmstadt 2003, ISBN 3-7985-1426-7.
- ↑ Brigitte Woggon: Behandlung mit Psychopharmaka. 2., vollständig überarbeitete und erweiterte Auflage. Verlag Hans Huber, Hogrefe, Bern 2005, ISBN 3-456-83538-8.
- ↑ J. R. Hughes, L. F. Stead, T. Lancaster: Antidepressants for smoking cessation. In: Cochrane Database of Systematic Reviews. Nr. 1, 2007, Art. No.: CD000031.
- ↑ K. Cahill, L. F. Stead, T. Lancaster: Nicotine receptor partial agonists for smoking cessation. In: Cochrane Database of Systematic Reviews. Nr. 1, 2007, Art. No.: CD006103. doi:10.1002/14651858.CD006103.pub2.
- ↑ A. M. Lee, C. Jepson, E. Hoffmann, L. Epstein, L. W. Hawk, C. Lerman, R. F. Tyndale: CYP2B6 genotype alters abstinence rates in a bupropion smoking cessation trial. In: Biological psychiatry. Band 62, Nr. 6, September 2007, S. 635–641, doi:10.1016/j.biopsych.2006.10.005. PMID 17223085.
- ↑ aerzteblatt-studieren.de: Raucher-Stopp: Gen verbessert Wirkung von Bupropion ( vom 21. August 2009 im Internet Archive) vom 11. September 2007.
- ↑ Friedrich Linderkamp, Gerhard Lauth: Zur Wirksamkeit pharmakologischer und psychotherapeutischer Therapien bei Aufmerksamkeitsdefizit-/Hyperaktivitätsstörung (ADHS) im Erwachsenenalter. In: Verhaltenstherapie. Band 21, Nr. 4, 2011, S. 229–238, doi:10.1159/000332429 (karger.com [PDF]).
- ↑ t-nation.com: Bloodhound Scientist – Sniffing out the latest research at Nutrition Week 2002 ( vom 27. September 2007 im Internet Archive)
- ↑ J. W. Anderson, F. L. Greenway, K. Fujioka, K. M. Gadde, J. McKenney, P. M. O'Neil: Bupropion SR enhances weight loss: a 48-week double-blind, placebo- controlled trial. In: Obesity research. Band 10, Nr. 7, Juli 2002, S. 633–641, doi:10.1038/oby.2002.86. PMID 12105285.
- ↑ Kishore M Gadde, Glen L Xiong: Bupropion for weight reduction. In: Expert Review of Neurotherapeutics. 7, 2007, S. 17, doi:10.1586/14737175.7.1.17.
- ↑ professional.diabetes.org: Bupropion and Naltrexone for the Treatment of Obesity ( vom 4. Mai 2009 im Internet Archive; PDF; 93 kB, englisch)
- ↑ Gefährliche Diätpille: Pharmakologie-Experte rät von Mysimba ab in: Deutsche Apothekerzeitung online, 27. Februar 2018, abgerufen am 7. August 2020.
- ↑ Susan M Learned-Coughlin et al.: In vivo activity of bupropion at the human dopamine transporter as measured by positron emission tomography. In: Elsevier (Hrsg.): Biological Psychiatry. Band 54, Nr. 8, 15. Oktober 2003, S. 800–805, doi:10.1016/s0006-3223(02)01834-6.
- ↑ Jeffrey H. Meyer et al.: Bupropion occupancy of the dopamine transporter is low during clinical treatment. In: Psychopharmacology. Band 163, Nr. 1, 13. Juli 2002, S. 102–105, doi:10.1007/s00213-002-1166-3.
- ↑ Allan Tasman u. a.: Psychiatry, John Wiley & Sons, ISBN 978-1-119-96540-4.
- ↑ W. D. Horst, S. H. Preskorn: Mechanisms of action and clinical characteristics of three atypical antidepressants: venlafaxine, nefazodone, bupropion. In: J. Affect. Disord. 51, 1998, S. 237–254, doi:10.1016/S0165-0327(98)00222-5.
- ↑ Otto Benkert, Hanns Hippius: Kompendium der Psychiatrischen Pharmakotherapie. 12., vollständig überarbeitete und aktualisierte Auflage. Springer, Berlin / Heidelberg 2019, ISBN 978-3-662-57334-1.
- ↑ a b P. M. O’Byrne, R. Williams, J. J. Walsh, J. F. Gilmer: The aqueous stability of bupropion. In: J. Pharm. Biomed. Anal. 53, 2010, S. 376–381. doi:10.1016/j.jpba.2010.04.024.
- ↑ S. C. Laizure, C. L. DeVane: Stability of bupropion and its major metabolites in human plasma. In: Ther Drug Monit. 7, 1985, S. 447–450.
- ↑ a b c d E. Maccaroni, L. Malpezzi, A. Famulari, N. Masciocchi: Structural and energetic aspects of a new bupropion hydrochloride polymorph. In: J. Pharm. Biomed. Anal. 60, 2012, S. 65–70. doi:10.1016/j.jpba.2011.10.031.
- ↑ Patent US3819706A: Meta chloro substituted-α-butylamino-propiophenones. Angemeldet am 30. November 1970, veröffentlicht am 25. Juni 1974, Anmelder: Burroughs Wellcome Co, Erfinder: Nariman B. Metha.
- ↑ D. M. Perrine, J. T. Ross, S. J. Nervi, R. H. Zimmerman: A Short, One-Pot Synthesis of Bupropion. In: J. Chem. Ed. 77, 2000, S. 1479. doi:10.1021/ed077p1479.
- ↑ Wellbutrin (bupropion) ( vom 8. November 2014 im Internet Archive) (englisch) bei NAMI.
- ↑ Zyban – Side Effects (englisch) bei RxList.
- ↑ Gelbe Liste: Präparateinformation Elontril®, April 2007.
- ↑ Gerald Zernig, Harriet De Wit u. a.: Subjective Effects of Slow-Release Bupropion versus Caffeine as Determined in a Quasi-Naturalistic Setting. In: Pharmacology. 70, 2004, S. 206, doi:10.1159/000075550.
- ↑ Rauchen: Süchtig durch Entwöhnungsmittel? In: diepresse.com. Abgerufen am 28. Mai 2015.
- ↑ Beschluss der Koordinierungsgruppe CMDh vom 15.09.2022; Wirkstoff: Bupropion. Bundesinstitut für Arzneimittel und Medizinprodukte, 15. September 2022, abgerufen am 26. April 2023.
- ↑ M. E. Thase, A. H. Clayton, B. R. Haight, A. H. Thompson, J. G. Modell, J. A. Johnston: A double-blind comparison between bupropion XL and venlafaxine XR: sexual functioning, antidepressant efficacy, and tolerability. In: J Clin Psychopharmacol. 26(5), Oct 2006, S. 482–488. PMID 16974189.
- ↑ S. H. Kennedy, K. A. Fulton, R. M. Bagby, A. L. Greene, N. L. Cohen, S. Rafi-Tari: Sexual function during bupropion or paroxetine treatment of major depressive disorder. In: Can J Psychiatry. 51(4), Mar 2006, S. 234–242. PMID 16629348.
- ↑ H. Croft, E. Settle Jr, T. Houser, S. R. Batey, R. M. Donahue, J. A. Ascher: A placebo-controlled comparison of the antidepressant efficacy and effects on sexual functioning of sustained-release bupropion and sertraline. In: Clin Ther. 21(4), Apr 1999, S. 643–658. PMID 10363731.
- ↑ C. C. Coleman, L. A. Cunningham, V. J. Foster, S. R. Batey, R. M. Donahue, T. L. Houser, J. A. Ascher: Sexual dysfunction associated with the treatment of depression: a placebo-controlled comparison of bupropion sustained release and sertraline treatment. In: Ann Clin Psychiatry. 11(4), Dec 1999, S. 205–215. PMID 10596735.
- ↑ R. T. Segraves, R. Kavoussi, A. R. Hughes, S. R. Batey, J. A. Johnston, R. Donahue, J. A. Ascher: Evaluation of sexual functioning in depressed outpatients: a double-blind comparison of sustained-release bupropion and sertraline treatment. In: J Clin Psychopharmacol. 20(2), Apr 2000, S. 122–128. PMID 10770448.
- ↑ A. H. Clayton, H. A. Croft, J. P. Horrigan, D. S. Wightman, A. Krishen, N. E. Richard, J. G. Modell: Bupropion extended release compared with escitalopram: effects on sexual functioning and antidepressant efficacy in 2 randomized, double-blind, placebo-controlled studies. In: J Clin Psychiatry. 67(5), May 2006, S. 736–746. PMID 16841623.
- ↑ C. C. Coleman, B. R. King, C. Bolden-Watson, M. J. Book, R. T. Segraves, N. Richard, J. Ascher, S. Batey, B. Jamerson, A. Metz: A placebo-controlled comparison of the effects on sexual functioning of bupropion sustained release and fluoxetine. In: Clin Ther. 23(7), Jul 2001, S. 1040–1058. PMID 11519769.
- ↑ Fachinformation des Arzneimittel-Kompendium der Schweiz: Wellbutrin® XR; Stand: April 2007.
- ↑ Beipackzettel ZYBAN Retard. In: Apotheken-Umschau. Abgerufen am 28. Juni 2022.
- ↑ Rote Liste, 08/2009.
- ↑ AM-Komp. d. Schweiz, 08/2009.
- ↑ AGES-PharmMed, 08/2009.
- ↑ IntelGenX.
